Подать статью
Стать рецензентом
Том 277
Страницы:
3-12
Скачать том:
RUS ENG

Разработка состава и оценка эффективности биопрепарата для очистки нефтезагрязненных почв

Авторы:
А. С. Данилов1
И. Д. Соснина2
Е. А. Сердюкова3
Об авторах
  • 1 — канд. техн. наук доцент Санкт-Петербургский горный университет императрицы Екатерины II ▪ Orcid
  • 2 — инженер-эколог АО «Ленгипроречтранс» ▪ Orcid
  • 3 — стажер-исследователь Санкт-Петербургский горный университет императрицы Екатерины II ▪ Orcid
Дата отправки:
2025-03-03
Дата принятия:
2025-07-16
Дата публикации онлайн:
2026-01-21
Дата публикации:
2026-02-27

Аннотация

Загрязнение почв нефтью и нефтепродуктами – серьезная экологическая проблема, особенно актуальная для промышленно развитых регионов. Перспективным методом восстановления загрязненных почв является микробиологическая ремедиация, основанная на использовании нефтеокисляющих микроорганизмов. Цели исследования – разработка состава и оценка эффективности специализированного биопрепарата, адаптированного к климатическим условиям северо-запада России. Осуществлены подбор и культивирование штаммов бактерий, способных утилизировать нефтепродукты в качестве единственного источника углерода. На основе лабораторных испытаний подобран консорциум микроорганизмов, включающий штаммы Acinetobacter sp. (ВКМ B-3202), Rhodococcus erythropolis (ВКМ Ac-858 T) и Pseudomonas alcaligenes (ВКМ B-1295), проведена оценка их ростовой активности. Разработаны три состава биопрепарата, отличающиеся пропорциями внесения бактериальных суспензий по объему, определена технология их внесения в нефтезагрязненные почвы. В лабораторных условиях изучена эффективность очистки почв, загрязненных нефтью и нефтепродуктами (бензин, дизельное топливо, нефтепродукт с разлива на железнодорожной станции Таммисуо (Выборг), при температурах 10-20 °C, характерных для климата региона. При температурном режиме 20±1 °C и естественной влажности почв спустя 60 сут эксперимента максимальные показатели снижения концентрации достигли 75,59 % для сырой нефти, 71,97 % для нефтепродукта с разлива, 90,53 % для дизельного топлива, 75,81 % для бензина. При температурном режиме 10±1 °C – 40,62 % для сырой нефти, 49,58 % для нефтепродукта с разлива, 69,06 % для дизельного топлива, 68,10 % для бензина. Результаты исследования подтверждают эффективность применения разработанного биопрепарата для очистки нефтезагрязненных почв в климатических условиях северо-запада России.

Область исследования:
Геотехнология и инженерная геология
Ключевые слова:
микробиологическая ремедиация нефтепродукты загрязнение углеводородокисляющие микроорганизмы рекультивация бактерии
Финансирование:

Работа выполнена в рамках Государственного задания Министерства науки и высшего образования Российской Федерации (FSRW-2024-0005).

Перейти к тому 277

Введение

Нефтедобывающая отрасль является лидирующей отраслью промышленности России, при этом значительные объемы добычи связаны с большой долей отходов, образующихся в результате деятельности нефтяных компаний [1, 2]. Нефтепродукты попадают в окружающую среду по различным причинам – аварии на трубопроводах, разливы от транспортирующих судов, нарушения техники ведения буровых работ и др. [3, 4]. Загрязнению подвержены почвы, вода, растительный покров и атмосферный воздух за счет летучести компонентов нефтепродуктов [5].

На 2023 г. в России зафиксировано 14 аварий на пресноводных объектах, 12 из которых произошли в результате разлива с судов и из мазутопровода. В декабре 2024 г. в Керченском проливе Черного моря произошла крупнейшая авария, в результате которой, по разным оценкам, в морскую среду попало от 3700 до 5000 т нефти. В той же мере подвержены загрязнению нефтепродуктами почвенные ресурсы. По данным Росприроднадзора, площадь нарушенных земель вследствие утечек при транзите нефти, газа, продуктов переработки нефти в 2023 г. составила 122 га. Согласно данным нефтегазодобывающих компаний, в сравнении с 2022 г. площадь всех нарушенных земель увеличилась на 4,6 %.

Негативное влияние на почвенный покров от попадания нефтепродуктов связано с сокращением биоразнообразия, гибелью животных и растений, поступлением токсичных химических веществ в почвы и атмосферный воздух [6], деградацией плодородия [7] и другими опасными для окружающей среды последствиями [8]. Для Северо-Западного федерального округа проблема загрязнения почв нефтепродуктами актуальна в связи с большой протяженностью трубопроводного, судоходного и автомобильного транспорта на территории региона, а также наличием крупнейших нефтеналивных терминалов [9].

Для устранения последствий попадания нефти и нефтепродуктов в почвы разработаны различные методы восстановления нарушенных земель: механические, физико-химические, биологические, термические, электрические и др. [10]. Наиболее перспективным методом с точки зрения степени очистки и экономических затрат считается микробиологическая ремедиация, основанная на способности микроорганизмов усваивать загрязняющие вещества [11, 12]. В число микроорганизмов, обладающих нефтедеструктивной способностью, входят бактерии (Pseudomonas, Flavobacterium, Acinetobacter и др.) [13, 14], грибы (Alternaria, Aspergillus, Candida и др.) [15, 16] и водоросли (Chlorella vulgaris) [17]. Микроорганизмы используют преимущественно для удаления нефтяных загрязнений почв и некоторых видов сточных вод. Метод осуществляется как непосредственно на месте загрязнения (insitи) [18], так и с выемкой почвы для помещения в биореакторы (exsitи) [19], в некоторых случаях данные способы сочетают [20].

Для внесения микроорганизмов в загрязненную среду используют биопрепараты из трех компонентов, необходимых для их функционирования:

  • штаммов микроорганизмов, адаптированных к конкретным условиям среды и способствующих деградации углеводородов (основной компонент);
  • сорбента-носителя как природного (торф, цеолит), так и синтетического (полимеры) происхождения [21, 22];
  • комплекса питательных веществ (азот, фосфор, калий, сера), создающего благоприятную среду для развития микроорганизмов [23, 24].

Природные сорбенты, помимо своей основной функции, способствуют улучшению физико-механических и физико-химических свойств почв [25, 26]. Разработан ряд различных по составу и свойствам биопрепаратов [27-29], однако их применение ограничено климатическими условиями среды [30]. Для Ленинградской обл. характерны умеренные температуры в летний период, в среднем не превышающие 20 °С, что не подходит для развития большинства видов микроорганизмов [31]. В связи с этим значительная часть запатентованных биопрепаратов не может быть применена на территории Северо-Западного федерального округа, а большинство разработок, адаптированных для данного региона, не внедрены в практику [32].

Целями исследования являются разработка состава и оценка эффективности биопрепарата для очистки нефтезагрязненных почв, адаптированного к природно-климатическим условиям Северо-Западного региона России.

Задачи работы: научный обзор по теме исследования, подбор и культивирование психрофильных бактериальных штаммов, оценка активности роста штаммов в условиях наличия в качестве единственного источника углерода нефтепродуктов, разработка вариантов состава биопрепарата и технологии внесения биопрепарата в нефтезагрязненные почвы, оценка эффективности очистки нефтезагрязненных почв предложенными составами в лабораторных условиях.

Методы

Для исследования выбран участок в районе железнодорожной станции Таммисуо (Выборг, Ленинградская обл.), где в результате нарушения герметичности транспортных цистерн, расположенных под землей, произошел массовый разлив нефтепродуктов. Характерными особенностями территории являются подзолистые аллювиальные малогумусовые почвы и растительный покров, представленный кустарничковыми растениями, сорной травянистой растительностью и мохообразными. В ходе рекогносцировочного обследования участка разлива и прилегающих территорий зафиксированы признаки негативного воздействия на компоненты природной среды – угнетение травянистых растительных сообществ, гибель представителей животного мира, почернение листьев кустарников.

Отбор проб нефтезагрязненной почвы осуществлен методом конверта на пяти пробных площадках вблизи разлива (рис.1). С каждой площадки пробы отбирали из двух слоев, с глубин 0-0,05 и 0,05-0,2 м, после чего объединяли в одну общую пробу для последующего анализа. Выбор пробных площадок обусловлен однородностью растительного покрова и разным уровнем загрязнения (рис.2). Мощность нефтезагрязненного слоя почвы варьировалась в пределах 5-20 см. Также для моделирования загрязнения в лабораторных условиях с места разлива по ГОСТ 2517-2012 «Нефть и нефтепродукты. Методы отбора проб» взяты пробы чистого нефтепродукта (без примесей воды и почвы) и чистой почвы (без загрязнения нефтепродуктами).

Рис.1. Карта-схема отбора проб почвы. Синий контур – локализация разлива; Т.1-Т.5 – пробные площадки

Рис.2. Пробоотборные площадки: а – № 1; б – № 3; в – № 4

Дальнейшая пробоподготовка и экспериментальные исследования проводились в лаборатории НЦ «Экосистема» Горного университета, куда отобранные образцы транспортировались в маркированной герметично закрытой таре из темного стекла. Для подготовки почвы на анализ из проб убирали включения, образцы измельчали в ступке, высушивали до воздушно-сухого состояния и просеивали через сито с диаметром отверстий 1 мм. Хранение проб осуществлялось при температуре 4±2 °С. Приготовление водных вытяжек для определения pH проводилось посредством добавления 150 см3 дистиллированной воды к предварительно высушенным и измельченным образцам почвы массой 30 г. Для проведения рентгенофлуоресцентного анализа (РФА) рабочие образцы, полученные квартованием исходной пробы, измельчались до состояния пудры.

Концентрация нефтепродуктов определялась методом флуориметрического анализа с использованием анализатора жидкости «Флюорат-02-3М» для образцов почвы с разлива в начале исследования и впоследствии – для оценки эффективности разработанного биопрепарата [33]. Перед исследованием произведена проверка чистоты гексана, приготовлены градуировочные растворы, проведена градуировка анализатора. После экстракции нефтепродуктов из почв измерена интенсивность флуоресценции очищенного экстракта на указанном анализаторе жидкости. Концентрация нефтепродуктов в пробе определялась отношением массовой концентрации нефтепродукта в гексановом растворе Сизм, конечного объема гексанового раствора и коэффициента разбавления экстракта K к массе навески почвы m. Результат Х представлен в табл.1.

Таблица 1

Концентрация нефтепродуктов в почве по результатам флуориметрического анализа

Проба

m, г

K

Сизм

Х, мг/кг

1

0,206

5

5,24

3180±800

2

0,201

40

5,96

>25000 (29652)*

3

0,202

5

5,72

3540±885

4

0,200

1

3,94

492±120

5

0,223

1

1,43

160±64

* Полученное значение превышает предел измерения.

По результатам определения pH водных вытяжек из почв pH-метром рН-150МИ принято решение исключить влияние кислотности образцов почв на нефтеокисляющую активность бактерий и полученные в ходе дальнейшего исследования показатели эффективности очистки почв по причине незначительных различий в полученных значениях pH.

Для определения содержания в пробах тяжелых металлов, способных повлиять на активность нефтеокисляющих микроорганизмов, проведен химический анализ состава почв методом рентгенофлуоресцентного анализа с помощью портативного рентгенофлуоресцентного спектрометра NITON XLt. Элементный состав пробы № 2, полученный по результатам РФА, представлен в табл.2. По результатам полуколичественного анализа выявлены превышения ПДК, установленные СанПиН 1.2.3685-21, для циркония, цинка, хрома, ванадия.

Таблица 2

Элементный состав пробы № 2 по результатам РФА

Элемент

Концентрация, мг/кг

ПДК, мг/кг*

Класс опасности

Mo

32,1±3,2

50

3

Zr

37,2±4,3

6

3

Sr

12,6±2,0

200

2

Zn

102,4±10,9

55

1

Fe

169,4±27,6

4

Cr

175,8±65,8

100

1

V

343,0±117,6

150

3

Ca

2021±403

 

K

1651±428

 

* Санитарные правила и нормы СанПиН 1.2.3685-21 «Гигиенические нормативы и требования к обеспечению безопасности и (или) безвредности для человека факторов среды обитания».

Определение элементного состава чистого нефтепродукта с разлива проведено методом газовой хромато-масс-спектрометрии (ГХМС), сочетающим в себе функции газовой хроматографии и масс-спектрометрии [34]. Исследование выполнено на газовом хромато-масс-спектрометре Shimadzu GCMS-QP2010 SE с газом-носителем гелием. Для анализа взята навеска нефтепродукта массой 1 г, из которой микрошприцем в испаритель хроматографа введен образец в количестве 1 мкл. По результатам ГХМС получена хроматограмма и идентифицированы углеводородные компоненты нефтепродукта, большинство из которых имеют от 15 до 26 атомов углерода, линейное строение и являются типичными компонентами тяжелых топлив, таких как мазут, дизельное топливо и др.

Экспериментальное исследование по созданию биопрепарата для очистки почв от нефти и нефтепродуктов включало пять этапов:

  • подбор и культивирование бактериальных штаммов;
  • определение количества клеток в бактериальных суспензиях;
  • оценка ростовой активности бактериальных штаммов на питательных средах с добавлением нефтепродуктов;
  • разработка состава биопрепарата;
  • оценка эффективности очистки нефтезагрязненных почв.

В качестве основы биопрепарата выбраны штаммы из Всероссийской коллекции микроорганизмов (ВКМ ИБФМ РАН, Пущино, Россия) – Acinetobacter sp. (номер в каталоге B-3202, далее – 3202), Rhodococcuserythropolis (Ac-858 T, далее – 858), Pseudomonasalcaligenes (B-1295, далее – 1295).

Выбранные штаммы микроорганизмов – представители психрофильных аэробных бактерий, обладают способностью к окислению углеводородов нефти и других органических веществ, что является важным критерием выбора штаммов для эффективной биоремедиации нефтезагрязненных почв [35]. Бактериальные штаммы получены в виде культуры на скошенном агаре. Для пересева культуры в чашках Петри подготовлена питательная среда – ГМС-агар, на поверхность которой зигзагообразными движениями (посев «штрихом») внесен посевной материал, после чего чашки Петри в перевернутом виде помещены в термостат при 28±2 °С на трое суток. Таким образом было получено достаточное количество культуры для дальнейшего исследования.

Для определения количества клеток приготовлены бактериальные суспензии методом смыва их с поверхности питательной среды и 10 разведений исходной бактериальной суспензии, для которых на спектрофотометре Hach-Lange DR 5000 определена оптическая плотность. Количество пробирок для приготовления исходной суспензии клеток подобрано экспериментально для каждого бактериального штамма. Концентрация клеток в исходной суспензии выбрана с условием ненулевой оптической плотности суспензий последних разведений с учетом нелинейной зависимости между оптической плотностью суспензии и количеством бактериальных клеток в ней. Посев осуществлен по методу Дригальского. По истечении трех суток произведен подсчет количества колоний в чашках Петри для каждого штамма. На основании полученных данных построены калибровочные кривые, с помощью которых определено количество клеток в бактериальных суспензиях (рис.3).

Рис.3. Зависимости оптической плотности суспензии штаммов 3202 (а), 1295 (б), 858 (в) от количества клеток

Для установления пропорций внесения культуры штаммов в почвы предварительно определена ростовая активность штаммов на минеральных питательных средах при наличии в качестве единственного источника углерода нефти и нефтепродуктов, включая сырую нефть, дизельное топливо, бензин и нефтепродукт с разлива [36]. В контрольном образце источником углерода служила глюкоза. Поверхностное культивирование штаммов осуществлялось при температуре 26±2 °С в течение семи суток. Оценка ростовой активности штаммов проводилась как визуально, так и методом микроскопирования фиксированных препаратов (рис.4).

Рис.4. Микроскопические картины клеток штамма 3202 на питательной среде Ворошиловой – Диановой с добавлением источника углерода (а); штамма 858 (увеличение ×400) (б); штамма 1295 на питательной среде с добавлением глюкозы (увеличение ×400) (в)

Оценка роста культуры штамма 3202 проведена визуально ввиду хорошей различимости колоний на питательной среде: мелкие колонии имеют вид сплошного мутного налета, более крупные – выпуклые, круглые, белые, блестящие (рис.4, а).

Колонии штамма 858 на всех питательных средах имели вид сплошного мутновато-белого налета. Для идентификации роста культуры приготовлены фиксированные препараты клеток колоний, выросших на питательной среде в чашках Петри. Наличие большого количества бактериальных клеток в мазках с поверхности питательной среды для штамма 858 зафиксировано при увеличении в 400 раз (рис.4, б).

Несмотря на отсутствие визуальных отличий культуральных свойств, на микроскопической картине выявлен полиморфизм клеток штамма 1295. При росте на питательной среде с добавлением глюкозы (богатый субстрат) наблюдается значительно большее количество клеток бактерий, они укороченные, выстроены в цепочки (рис.4, в). На питательной среде с добавлением нефтепродукта (бедный субстрат) отмечено значительно меньшее количество клеток в поле зрения, они соединены в звездчатые структуры, имеют разную длину.

Результаты оценки ростовой активности штаммов на питательных средах с нефтепродуктами и глюкозой представлены в табл.3.

Таблица 3

Ростовая активность штаммов на питательных средах с добавлением нефтепродуктов

Штамм

Глюкоза

Нефть

Нефтепродукт

Бензин

Дизельное топливо

3202

++

+

++

858

++

+

+

+

+

1295

+

+

+

+

++

Примечание. + низкая активность роста; ++ высокая активность роста; – отсутствие роста.

Как видно из табл.3, практически для всех опытов по результатам оценки зафиксирована ростовая активность штаммов. Исключение составил опыт с добавлением нефтепродукта и дизельного топлива для штамма 3202, где рост отсутствовал.

На основании полученных данных предложены варианты состава биопрепарата с различными по объему пропорциями внесения бактериальных суспензий (табл.4).

Таблица 4

Варианты составов биопрепарата

Компонент

Состав 1

Состав 2

Состав 3

Пропорции внесения бактериальных суспензий

3202

1

1

1

858

1

2

2

1295

2

1

2

Для оценки эффективности очистки нефтезагрязненных почв разработанными составами подготовлены следующие образцы:

  • почва с внесением сырой нефти (Н) 5 мас.%;
  • почва с внесением дизельного топлива (ДТ) 5 мас.%;
  • почва с внесением бензина (Б) 5 мас.%;
  • почва с внесением нефтепродукта (НП) с разлива.

Для внесения в почву биоремедиационных составов приготовлены бактериальные суспензии методом смыва. Оптическая плотность бактериальных суспензий и концентрация бактериальных клеток в суспензиях (КОЕ/мл) определены спектрофотометрическим методом по полученным калибровочным зависимостям, и во всех бактериальных суспензиях концентрация клеток находилась в пределах 107-1012 КОЕ/мл. Далее образцы почвы расфасовывались в изолированные кюветы по 200 г в соответствии с пропорциями внесения бактериальных суспензий (табл.4) в количестве 20 мл для каждого образца почвы. В качестве контрольных использовались образцы почвы без внесения бактериальных суспензий (табл.5).

Таблица 5

Матрица образцов

Загрязняющее вещество

Температура

20±1 °C

10±1 °C

Состав 1

Состав 2

Состав 3

К

Состав 1

Состав 2

Состав 3

К

Б

Б/1

Б/2

Б/3

Б/К

Б/1

Б/2

Б/3

Б/К

Н

Н/1

Н/2

Н/3

Н/К

Н/1

Н/2

Н/3

Н/К

ДТ

ДТ/1

ДТ/2

ДТ/3

ДТ/К

ДТ/1

ДТ/2

ДТ/3

ДТ/К

НП

НП/1

НП/2

НП/3

НП/К

НП/1

НП/2

НП/3

НП/К

Моделирование климатических условий теплого периода года, характерных для Ленинградской обл., проводилось при температурных режимах 20±1 и 10±1 °C в течение 60 сут с использованием оборудования «Климатостат Р-2». Исследуемые образцы почвы периодически увлажняли и перемешивали стерильным шпателем. Далее на протяжении 60 сут проводился отбор проб почвы для определения концентрации нефти и нефтепродуктов флуориметрическим методом.

Обсуждение результатов

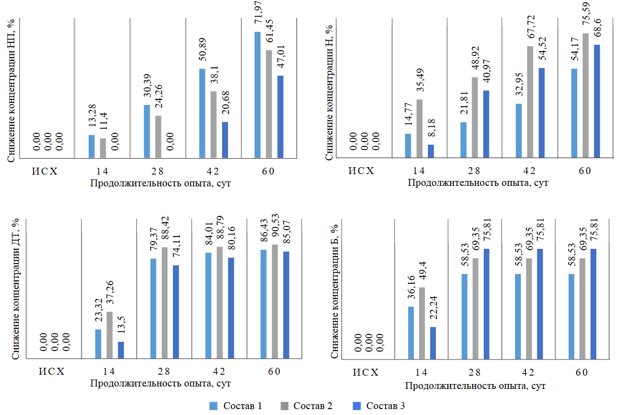
Оценка эффективности очистки почв от нефтепродуктов с помощью разработанного биопрепарата проведена посредством математической обработки полученных данных. Диаграммы, отражающие динамику снижения концентрации нефтепродуктов под действием составов биопрепарата относительно исходных значений (ИСХ), представлены на рис.5, 6.

Результаты оценки эффективности очистки почв различными составами разработанного биопрепарата за 60 сут при температурах 20±1 и 10±1 °C представлены в табл.6.

Таблица 6

Эффективность очистки почв от нефтепродуктов

Загрязняющее вещество

Состав с наибольшей эффективностью

Пропорция внесения бактериальной суспензии

Снижение концентрации загрязняющего вещества за 60 сут, %

20±1 °C

НП

1

1:1:2

71,97

Н

2

1:2:1

75,59

ДТ

2

1:2:1

90,53

Б

3

1:2:2

75,81

10±1 °C

НП

3

1:2:2

49,58

Н

1

1:1:2

40,62

ДТ

1

1:1:2

69,06

Б

1

1:1:2

68,10

Рис.5. Динамика концентрации нефти и нефтепродуктов при 20±1 °C

Рис.6. Динамика концентрации нефти и нефтепродуктов при 10±1 °C

Заключение

Загрязнение почв нефтью и нефтепродуктами остается актуальной экологической проблемой, требующей всестороннего изучения и разработки новых эффективных технологий очистки. Среди многочисленных методов удаления загрязняющих веществ из почв наиболее перспективна микробиологическая ремедиация, к преимуществам которой относятся безотходность, высокая эффективность, низкая себестоимость и возможность восстановления плодородных свойств почвы.

В рамках исследования разработан новый биопрепарат, в состав которого входит бактериальный консорциум Acinetobacter sp. (ВКМ B-3202), Rhodococcuserythropolis (ВКМ Ac-858 T), Pseudomonasalcaligenes (ВКМ B-1295), обладающий утилизирующей активностью в отношении углеводородов нефти. Подготовлены три варианта состава данного биопрепарата, отличающиеся объемным соотношением внесения бактериальных суспензий (1:1:2, 1:2:1, 1:2:2 для составов 1, 2, 3). Установлено, что все бактериальные штаммы проявляют высокую ростовую активность в условиях наличия в качестве единственного источника углерода в питательных средах нефти, бензина, дизельного топлива и нефтепродукта с разлива, за исключением штамма B-3202 – в вариантах опыта с дизельным топливом и нефтепродуктом рост бактерий на питательных средах не зафиксирован.

По результатам оценки эффективности очистки нефтезагрязненных почв с внесением разработанного биопрепарата при температурном режиме 20±1 °C и естественной влажности почв спустя 60 сут эксперимента получены следующие максимальные показатели снижения концентрации: для сырой нефти – 75,59 %; для нефтепродукта с разлива – 71,97 %; для дизельного топлива – 90,53 %; для бензина – 75,81 %. При температурном режиме 10±1 °C: для сырой нефти – 40,62 %; для нефтепродукта с разлива – 49,58 %; для дизельного топлива – 69,06 %; для бензина – 68,10 %.

Разработанный биопрепарат может быть использован для очистки нефтезагрязненных почв на территории Северо-Западного федерального округа, в том числе в районе железнодорожной станции Таммисуо (Выборг, Ленинградская обл.) или в регионах со схожими почвенно-климатическими условиями.

Направлением дальнейших исследований является оценка эффективности применения разработанной технологии для рекультивации почв, загрязненных нефтью, в полевых условиях.

Результаты, представленные в настоящем исследовании, защищены патентом [37].

Литература

  1. Пономаренко Т.В., Горбатюк И.Г., Череповицын А.Е. Промышленные кластеры как организационная форма развития нефтегазохимической отрасли России // Записки Горного института. 2024. Т. 270. С. 1024-1037.
  2. Strizhenok A.V., Korelskiy D.S., Choi Y. Assessment of the Efficiency of Using Organic Waste from the Brewing Industry for Bioremediation of Oil-Contaminated Soils // Journal of Ecological Engineering. 2021. Vol. 22. Iss. 4. P. 66-77. DOI: 10.12911/22998993/133966
  3. Батукова Д.В. Геоэкологические проблемы, связанные с обслуживанием и эксплуатацией объектов добычи нефти // Трешниковские чтения – 2022. Современная географическая картина мира и технологии географического образования: Материалы Всероссийской научно-практической конференции с международным участием, посвященной памяти знаменитого российского океанолога, исследователя Арктики и Антарктики, академика Алексея Федоровича Трешникова и 90-летию ФГБОУ ВО «УлГПУ им. И.Н.Ульянова», 14-15 апреля 2022, Ульяновск, Россия. Ульяновск: Ульяновский государственный педагогический университет имени И.Н.Ульянова, 2022. С. 23-24. DOI: 10.33065/978-5-907216-88-4-2022-23-24
  4. Chukaeva M.A., Zaytseva T.A., Matveeva V.A., Sverchkov I.P. Purification of Oil-Contaminated Wastewater with a Modified Natural Adsorbent // Ecological Engineering and Environmental Technology. 2021. Vol. 22. № 2. P. 46-51. DOI: 10.12912/27197050/133331
  5. Strizhenok A.V., Ivanov A.V. Monitoring of Air Pollution in the Area Affected by the Storage of Primary Oil Refining Waste // Journal of Ecological Engineering. 2021. Vol. 22. Iss. 1. P. 60-67. DOI: 10.12911/22998993/128873
  6. Шулаев Н.С., Кадыров Р.Р., Пряничникова В.В. Комбинированный метод фиторемедиации и электрообработки для очистки загрязненных территорий нефтяного комплекса // Записки Горного института. 2024. Т. 265. С. 147-155.
  7. Волосникова Г.А., Соколов А.С. Идентификация источника загрязнения территории нефтепродуктами и обоснование выбора технологии ее экологической реабилитации // Экономика строительства. 2024. № 6. С. 240-245.
  8. Минникова Т.В., Колесников С.И. Экологическая оценка применения биочара для ремедиации нефтезагрязненных почв при различном хозяйственном использовании // Записки Горного института. 2025. Т. 271. С. 84-94.
  9. Тишин А.С., Тишина Ю.Р. Сравнение зарубежного и отечественного опыта в очистке почв и грунтов, загрязненных нефтепродуктами // Международный научно-исследовательский журнал. 2021. № 10 (112). С. 106-112. DOI: 10.23670/IRJ.2021.112.10.018
  10. Поляк Ю.М., Бакина Л.Г., Чугунова М.В., Герасимов А.О. Диагностика эффективности методов ремедиации нефтезагрязненной агродерново-подзолистой почвы по комплексу агрохимических и биологических показателей // Проблемы агрохимии и экологии. 2024. № 3. С. 47-52. DOI: 10.26178/AE.2024.83.31.007
  11. Мередов Э.Н., Велджанова А.Н., Хатамова М.Ч. Использование биотехнологий для восстановления деградированных земель, подверженных опустыниванию и засолению: методы фиторемедиации и микробиологической ремедиации // Международный журнал гуманитарных и естественных наук. 2024. № 10-3 (97). С. 153-155. DOI: 10.24412/2500-1000-2024-10-3-153-155
  12. Сотникова Ю.М., Григориади А.С., Федяев В.В. и др. Применение микробиологических препаратов и растений люцерны для фиторемедиационных мероприятий на нефтезагрязненных почвах // Journal of Agriculture and Environment. 2022. № 5 (25). 6 с. (in English). DOI: 10.23649/jae.2022.5.25.02
  13. Коршунова Т.Ю., Кузина Е.В., Шарипов Д.А., Рафикова Г.Ф. Бактерии родов Acinetobacter и Ochrobactrum в процессах биоремедиации нефтезагрязненных объектов (обзор) // Теоретическая и прикладная экология. 2021. № 3. С. 13-20. DOI: 10.25750/1995-4301-2021-3-013-020
  14. Yang H., Kim G., Cho K.-S. Bioaugmentation of diesel-contaminated soil with Pseudomonas sp. DTF1 // International Journal of Environmental Science and Technology. 2023. Vol. 20. Iss. 11. P. 12499-12510. DOI: 10.1007/s13762-023-04846-4
  15. Куликова Н.А., Кляйн О.И., Ландесман Е.О. Влияние гуминовых веществ на деградацию ароматических углеводородов нефти базидиальными грибами в почве и торфе при низкой температуре // Проблемы агрохимии и экологии. 2024. № 3. С. 37-46. DOI: 10.26178/AE.2024.73.22.006
  16. Kuyukina M.S., Glebov G.G., Osipenko M.A., Elkin A.A. Interspecies Interactions of Rhodococcus Beneficial for Bioremediation as Revealed by Ecological Modeling // Science and Global Challenges of the 21st Century – Science and Technology. P. 427-433. DOI: 10.1007/978-3-030-89477-1_43
  17. Патент № 2764305 РФ. Способ очистки почв от нефтяных загрязнений методом гидропосева биосмеси с применением микроводорослей Chlorella vulgaris globosa IPPAS C-2024 / Ю.С.Корчагина, Т.Н.Щемелинина. Опубл. 17.01.2022. Бюл. № 2.
  18. Haque S., Srivastava N., Pal D.B. et al. Functional microbiome strategies for the bioremediation of petroleum-hydrocarbon and heavy metal contaminated soils: A review // Science of The Total Environment. 2022. Vol. 833. № 155222. DOI: 10.1016/j.scitotenv.2022.155222
  19. Decesaro A., Rempel A., Machado T.S. et al. Bacterial biosurfactant increases ex situ biodiesel bioremediation in clayey soil // Biodegradation. 2021. Vol. 32. Iss. 4. P. 389-401. DOI: 10.1007/s10532-021-09944-z
  20. Глязнецова Ю.С., Лифшиц С.Х., Зуева И.Н., Чалая О.Н. Проблемы рекультивации нефтезагрязненных территорий // Проблемы региональной экологии. 2021. № 5. С. 109-112. DOI: 10.24412/1728-323X-2021-5-109-112
  21. Патент № 2779935 РФ. Средство на основе глауконита для иммобилизации живых бактериальных клеток / В.Г.Сержантов, З.Ю.Хапцев. Опубл. 15.09.2022. Бюл. № 26.
  22. Qun Luo, Dengyong Hou, Dingwen Jiang, Wei Chen. Bioremediation of marine oil spills by immobilized oil-degrading bacteria and nutrition emulsion // Biodegradation. 2021. Vol. 32. Iss. 2. P. 165-177. DOI: 10.1007/s10532-021-09930-5
  23. Chao Zhang, Daoji Wu, Huixue Ren. Bioremediation of oil contaminated soil using agricultural wastes via microbial consortium // Scientific Reports. 2020. Vol. 10. № 9188. DOI: 10.1038/s41598-020-66169-5
  24. Минникова Т.В., Русева А.С., Ревина С.Ю. и др. Оценка эффективности биоремедиации нефтезагрязненной бурой полупустынной почвы Республики Калмыкия (модельный эксперимент) // Аридные экосистемы. 2023. Т. 29. № 4 (97). С. 166-176. DOI: 10.24412/1993-3916-2023-4-166-176
  25. Галиуллина Ю.Р., Кулагин А.А. Определение степени очистки воды после применения нефтепоглощающих сорбентов // Экология урбанизированных территорий. 2021. №. 1. С. 29-32. DOI: 10.24412/1816-1863-2021-1-29-32
  26. Петрова Т.А., Рудзиш Э. Рекультивация техногенно-нарушенных земель с применением осадков сточных вод в качестве мелиорантов // Записки Горного института. 2021. Т. 251. С. 767-776. DOI: 10.31897/PMI.2021.5.16
  27. Патент № 2568063 РФ. Биопрепарат для очистки почвы и шламов от нефти и нефтепродуктов / Е.А.Мазлова, Л.А.Херрера-Альварадо. Опубл. 10.11.2015. Бюл. № 31.
  28. Патент № 2705290 РФ. Микробный препарат для биоремедиации почвы, загрязненной нефтью и нефтепродуктами / М.С.Третьякова, Л.А.Беловежец, Ю.А.Маркова. Опубл. 06.11.2019. Бюл. № 31.
  29. Гамзаева Р.С. Применение биодеструктора Бак-Верад на дерново-подзолистой почве, загрязненной нефтепродуктами // Известия Санкт-Петербургского государственного аграрного университета. 2019. № 2 (55). С. 38-45. DOI: 10.24411/2078-1318-2019-12038
  30. Быкова М.В., Пашкевич М.А. Оценка нефтезагрязненности почв производственных объектов различных почвенно-климатических зон Российской Федерации // Известия Тульского государственного университета. Науки о Земле. 2020. Вып. 1. С. 46-59. DOI: 10.46689/2218-5194-2020-1-1-46-59
  31. Евсеева Е.А., Голов В.И., Захарова Е.Б., Панасюк А.Н. Влияние эффективных микроорганизмов на снижение патогенности почв в разных почвенно-климатических условиях // Дальневосточный аграрный вестник. 2023. Т. 17. № 4. С. 25-38. DOI: 10.22450/1999-6837-2023-17-4-25-38
  32. Созина И.Д., Данилов А.С. Микробиологическая ремедиация нефтезагрязненных почв // Записки Горного института. 2023. Т. 260. С. 297-312. DOI: 10.31897/PMI.2023.8
  33. Пашкевич М.А., Быкова М.В. Методология термодесорбционной очистки локальных загрязнений почв от нефтепродуктов на объектах минерально-сырьевого комплекса // Записки Горного института. 2022. Т. 253. С. 49-60. DOI: 10.31897/PMI.2022.6
  34. Темердашев З.А., Мусорина Т.Н., Киселева Н.В. и др. Хромато-масс-спектрометрическое определение полициклических ароматических углеводородов в поверхностных водах // Журнал аналитической химии. 2018. Т. 73, № 12. С. 897-905. DOI: 10.1134/S0044450218120101
  35. Чапоргина А.А., Корнейкова М.В. Оценка эффективности консорциумов микроорганизмов для очистки почв, загрязненных нефтепродуктами, в условиях Кольского Севера // Теорeтическая и прикладная экология. 2020. № 2. С. 136-142. DOI: 10.25750/1995-4301-2020-2-136-142
  36. Пашкевич М.А., Быкова М.В. Исследование возможности повышения точности измерений при установлении уровня загрязнения почв нефтепродуктами // Горный информационно-аналитический бюллетень. 2022. № 4. С. 67-86. DOI: 10.25018/0236_1493_2022_4_0_67
  37. Патент № 2808248 РФ. Состав для биоремедиации почвы, загрязненной нефтью и нефтепродуктами / А.С.Данилов, А.А.Дука, О.Б.Иванченко, И.Д.Созина. Опубл. 28.11.2023. Бюл. № 34.

Похожие статьи

Разработка инженерной методики определения норматива потребления электроэнергии аппаратами воздушного охлаждения
2026 Д. Е. Филимошина
Перспективы редкоземельной рудоносности кор выветривания по гранито-гнейсам Соуктальского плутонического комплекса (Северный Казахстан)
2026 М. А. Джунусов, К. Р. Регми, Е. В. Климова, А. В. Резник
Аккумуляция примесных элементов при гидротермальной кристаллизации пирита: селективность поверхностных фаз
2026 С. В. Липко, А. В. Николаев, Д. Н. Бабкин, В. Л. Таусон
Физические свойства палеозойско-мезозойских отложений из скважин Южно-Баренцевской впадины
2026 В. Л. Ильченко
Оценка влияния суточных колебаний термодинамических параметров атмосферного воздуха на распределение его температуры в воздухоподающих стволах калийных рудников
2026 М. А. Семин, Е. В. Колесов, Р. Р. Газизуллин, С. В. Мальцев
Плавающие биоплато Constructed Floating Wetlands – фитотехнология для очистки сточных вод: опыт применения и перспективы использования
2026 Л. А. Иванова, Е. А. Красавцева, Т. Т. Горбачева