Подать статью
Стать рецензентом
Том 277
Страницы:
94-106
Скачать том:
RUS ENG

Оценка влияния суточных колебаний термодинамических параметров атмосферного воздуха на распределение его температуры в воздухоподающих стволах калийных рудников

Авторы:
М. А. Семин1
Е. В. Колесов2
Р. Р. Газизуллин3
С. В. Мальцев4
Об авторах
  • 1 — д-р техн. наук заведующий лабораторией Горный институт УрО РАН ▪ Orcid ▪ Scopus ▪ ResearcherID
  • 2 — канд. техн. наук научный сотрудник Горный институт УрО РАН ▪ Orcid
  • 3 — ведущий инженер Горный институт УрО РАН ▪ Orcid
  • 4 — канд. техн. наук заведующий сектором Горный институт УрО РАН ▪ Orcid
Дата отправки:
2024-08-12
Дата принятия:
2025-12-09
Дата публикации онлайн:
2026-02-11
Дата публикации:
2026-02-27

Аннотация

Амплитуда суточных колебаний температуры атмосферного воздуха в зависимости от климатической зоны и времени года может превышать 25 °С. Это приводит к развитию нестационарных теплообменных процессов в воздухоподающих стволах рудников и последующих горных выработках по тракту движения воздушной струи. Исследование направлено на изучение эффекта демпфирования амплитуды суточных колебаний термодинамических параметров атмосферного воздуха в воздухоподающих стволах калийных рудников. Суть эффекта теплового демпфирования заключается в нивелировании амплитуды колебаний температуры воздуха по мере продвижения воздушного потока по воздухоподающему стволу вследствие теплообмена с крепью ствола и массообменных процессов. Представлен теоретико-экспериментальный подход для прогнозирования микроклиматических параметров воздуха на сопряжении воздухоподающего ствола с подземным горизонтом с помощью модели сопряженного конвективно-диффузионного тепломассопереноса в пространстве ствола, крепи и окружающем породном массиве. Описана методика проведения натурных измерений на объекте исследования, приведены необходимые сведения для проведения экспериментов и расчетов, представлены данные натурных исследований для двух воздухоподающих стволов калийных рудников различной глубины. Данные экспериментальных измерений использованы для валидации предложенной модели. Полученное соответствие измеренных и расчетных данных подтвердило корректность выбранной модели для прогнозирования температуры на сопряжении ствола с подземным горизонтом. Определены эффективные коэффициенты теплоотдачи между воздушным потоком и стенкой для обоих воздухоподающих стволов, а также эффективные температуропроводности горных пород, окружающих стволы. Установлена эмпирическая зависимость температуры в околоствольном дворе подземного горизонта как функция среднесуточной температуры, амплитуды колебаний температуры на поверхности и сопряжении ствола с подземным горизонтом.

Область исследования:
Геотехнология и инженерная геология
Ключевые слова:
рудничная вентиляция суточные колебания температуры тепловой режим горных выработок воздухоподающий ствол моделирование эффект теплового демпфирования сопряженный тепломассоперенос коэффициенттеплоотдачи температуропроводность пород
Финансирование:

Исследование выполнено при финансовой поддержке Министерства науки и высшего образования РФ в рамках Государственного задания «Мониторинг, моделирование и управление аэрологическими и теплофизическими процессами в сложных горно-технических системах».

Перейти к тому 277

Введение

Поступающий в шахтный ствол атмосферный воздух подвержен суточным и сезонным вариациям температуры. Сезонные колебания температуры активно исследовались еще с середины ХХ в. применительно к рудникам Севера с естественным тепловым режимом [1]. Сезонные колебания температуры оказывают существенное влияние на тепловой режим горных выработок вплоть до удаленных рабочих зон [2-4]. Суточные колебания температуры влияют на тепловой режим горных выработок в сравнительно меньшей степени [5], а особый интерес к ним возник только в последние десятилетия, когда развитие технологий нормализации микроклимата и математические методы анализа их эффективности достигли достаточно высокого уровня, при котором для точного расчета параметров систем вентиляции и кондиционирования [6-8] требуется учитывать дополнительные тепловые факторы, имеющие нестационарный характер [9-11].

Амплитуда суточных колебаний температуры атмосферного воздуха зависит от климатической зоны и времени года и может превышать 25 °С [12]. Это приводит к развитию нестационарных теплообменных процессов в воздухоподающих стволах и последующих горных выработках по тракту движения воздушной струи [13]. Большая часть амплитуды колебаний температуры демпфируется воздухподающими стволами [14]. По мнению исследователей [15], амплитуда колебаний температуры у сопряжения воздухоподающего ствола с подземными горизонтами весьма незначительна. Однако другие исследования [12, 16] указывают на то, что эта амплитуда может быть значительна и порой превышать 10 °С. Как справедливо отмечено в статье [17], выраженность данного явления зависит от параметров ствола. В этой же работе выделены основные параметры, которые влияют на вариацию температуры воздушного потока на сопряжении воздухоподающего ствола и выработок околоствольного двора (табл.1). По нашему мнению, данная классификация является несовершенной, поскольку представленные факторы порой взаимосвязаны или зависимы друг от друга.

Таблица 1

Основные факторы, определяющие влияние суточной вариации температуры на подземном горизонте [17]

Атмосферные факторы

Физические факторы

Динамические факторы

Температура атмосферного воздуха

Диаметр ствола

Расход воздуха

Относительная влажность атмосферного воздуха

Форма ствола

Время движения воздуха

Барометрическое давление

Шероховатость стенок ствола

Время контакта с поверхностью

Наличие водопроявлений в стволе

Увлажненность стенок ствола

Плотность воздуха

Оборудование ствола

Важно отметить, что при современных производственных мощностях возрастает потребность рудников в свежем воздухе [18]. Эта задача еще больше усложняется при освоении глубокозалегающих горизонтов [19-21]. Вследствие этого увеличиваются характерный размер проектируемых стволов и отношение площади поперечного сечения ствола к его периметру, что уменьшает влияние теплообмена со стенками ствола [22, 23] и усиливает эффект теплового демпфирования [24, 25]. По этой причине указанный феномен требует дальнейшего изучения.

С практической стороны исследование эффекта теплового демпфирования важно по ряду причин. Во-первых, точное прогнозирование температуры по сухому и влажному термометрам на сопряжении воздухоподающего ствола с подземным горизонтом имеет решающее значение при оценке микроклиматических условий в рудничной вентиляционной сети и принятии решения о том, необходима ли система охлаждения для обеспечения комфортных условий труда в руднике [26-28]. Во-вторых, для расчета естественной тяги в нормальном и реверсивном режимах проветривания рудников, поскольку указанная суточная вариация температуры способна дать суточную вариацию естественной тяги для ствола глубиной 1 км более 500 Па. В-третьих, для повышения точности расчета аварийных режимов проветривания рудников [29]. Как известно, воздухораспределение в реверсивном режиме проветривания меняется в том числе и по причине изменения эффекта естественной тяги. Из-за смены направления движения воздушного потока температура воздуха в стволах меняется, что приводит к развитию процессов нестационарного теплообмена [11].

Первые натурные измерения, подтверждающие явление сглаживания амплитуды температурных колебаний в воздухоподающих стволах, выполнены в работе [16]. Введено понятие эффекта теплового демпфирования и сделано предположение о том, что он будет по-разному влиять на тепловой режим горных выработок околоствольного двора для разных стволов [26]. Разработаны аналитические решения по учету влияния температурного демпфирования на основе нестационарных процессов тепломассопереноса, которые в настоящее время внедрены в симулятор шахтной вентиляции. Представлены результаты экспериментальных наблюдений за эффектом теплового демпфирования на полиметаллических рудниках Канады и показано, что в течение лета и зимы меняется фаза периодических изменений температуры воздуха. В исследовании [30] получены и проанализированы данные непрерывного мониторинга температуры в различных точках золотомедного рудника в течение недели с целью выявления и количественной оценки поведения эффекта теплового маховика. Показана невозможность корректного описания данного эффекта с помощью стационарных тепловых моделей.

В работах [12, 17] теоретическая интерпретация измерений суточной вариации температуры в воздухоподающих стволах осуществлена с использованием нейросетевых подходов. В [12, 17] для прогнозирования температуры в околоствольном дворе использован нейросетевой алгоритм NARX. В [31, 32] для прогнозирования направления теплового потока предложена модель на основе множественной логистической регрессии. Несмотря на эффективность указанных нейросетевых методов, они обладают основным недостатком, заключающимся в непрозрачности расчета с точки зрения физических законов.

В настоящей работе предлагается другой подход, основанный на прогнозировании микроклиматических параметров воздуха на сопряжении воздухоподающих стволов с подземными горизонтами с помощью конвективно-диффузионной модели тепломассопереноса в атмосфере ствола, крепи и окружающем породном массиве. Предлагается посредством физического анализа выделить основные безразмерные комплексы задачи и определить параметры, от которых зависит уменьшение амплитуды суточных колебаний температуры по тракту движения воздуха.

Методология. Экспериментальные измерения

Для исследования эффекта теплового демпфирования проведен ряд натурных экспериментов в условиях калийных рудников. В качестве объектов исследования выбраны воздухоподающий ствол рудника, разрабатывающего Верхнекамское месторождение калийно-магниевых солей (ствол № 1), и воздухоподающий ствол рудника, разрабатывающего Гремячинское месторождение калийных солей (ствол № 2). На обоих рудниках применяется центральная схема проветривания, при которой свежий воздух подается в рудник по воздухоподающим стволам и удаляется через вентиляционные стволы под действием депрессии, создаваемой главной вентиляторной установкой, размещенной на поверхности. На формирование и поддержание требуемой температуры воздуха в воздухоподающих стволах в холодный период годасущественное влияние оказывают системы воздухоподготовки, которые определяют тепловой режим эксплуатации шахтных стволов [33]. В теплый период года системы воздухоподготовки отключены.

В ходе натурных исследований в теплый период года измерены суточные колебания температуры и влажности поступающей в рудник по воздухоподающему стволу воздушной массы. Для этого в узле летнего воздухозабора воздухоподающего ствола и в подземной части на сопряжении воздухоподающего ствола с транспортным горизонтом были установлены портативные метеорегистраторы Kestrel Drop D3, регистрирующие показания температуры и относительной влажности поступающего в рудник воздуха. Метеорегистраторы имеют возможность записывать данные в память в течение длительного времени с заданным интервалом. При проведении наблюдений показания температуры и относительной влажности измерялись с интервалом 5 мин. Точность измерений метеорегистраторов составляет по каналам регистрации температуры ±0,9 °C, относительной влажности ±2 %. Схема установки метеорегистраторов в воздухоподающем стволе представлена на рис.1.

Рис.1. Схема установки метеорегистраторов в воздухоподающем стволе

1 – узел летнего воздухозабора калориферной установки; 2 – воздухоподающий канал; 3 – надшахтное здание; 4 – воздухоподающий ствол; 5 – транспортный горизонт

Расход воздуха определен на основании прямых измерений скорости воздушного потока и площади поперечного сечения выработки в вентиляционных выработках околоствольного двора. Скорость воздушного потока измерена с помощью анемометра АПР-2 с точностью измерений ±0,10 + 0,05V м/с, где V – измеренная скорость. Площадь поперечного сечения выработки установлена путем прямых измерений отдельных участков сечения выработки и дальнейшего вычисления площади сечения на основании измеренных параметров лазерным дальномером Leica Disto X3 с точностью ±2 (1,0 + 0,1·10–3Х) мм, где Х – измеренное расстояние.

Воздухоподающий ствол № 1 имеет диаметр 7 м в свету, оборудован скипо-клетевым подъе-мом, длина от воздухоприемника до сопряжения с транспортным горизонтом составляет 381 м. Объемный расход воздуха, проходящий по стволу, достигает 9500 м3/мин, при этом средняя скорость движения воздушной массы по стволу – 4,1 м/с.

Воздухоподающий ствол № 2 имеет диаметр 8 м в свету, оборудован скиповым подъемом. Глубина залегания сопряжения с транспортным горизонтом составляет 1094 м. Объемный расход воздуха, проходящий по стволу, 19000 м3/мин, при этом средняя скорость движения воздушного потока по стволу составляет 6,3 м/с.

В качестве крепления на обоих стволах применяется чугунная тюбинговая крепь с толщиной спинки тюбингов 30-70 мм с затюбинговым бетоном толщиной 600-750 мм.

Математическая модель

Процесс нестационарного сопряженного теплообмена между воздушным потоком, крепью ствола и породным массивом с учетом переноса влаги описывается системой дифференциальных уравнений конвективного теплопереноса в воздушном пространстве ствола

ρ a c v dT dx = P ρ a d ρ a dx ρ a L dm dx + 4 D α V T m t,D/2,x T (1)

и переноса теплоты в крепи ствола и окружающем ствол породном массиве

T m t,r,x t = a m 1 r r r T m t,r,x r .(2)

Уравнение (1) дополняется уравнениями состояния влажного воздуха:

ρ a = 29P0,11φ 479+ 11,52+1,62T 2 8,314 T+273 ;(3) φ= Pm 611 0,622+m exp 17,5T T+241,5 ;(4) P= P 0 + ρ 0 gx.(5)

Граничное условие для температуры воздушного потока на входе в ствол задается на основе экспериментальных измерений:

T t,0 = T 0 t .(6)

В начальный момент температура массива на глубине x принимается однородной вдоль радиальной координаты r:

T m 0,r,x = T m0 x .(7)

Граничные условия для уравнения (2) вдали от контура ствола представляют собой температуру непотревоженного массива на данной глубине:

T m t, R out ,x = T m0 x .(8)

Внешний радиус теплового влияния выработкииз равенства (8) можно оценить согласно источнику [34]:

R out = 4 a m τLn sΔ T 0 4π a m τδ .(9)

На контуре ствола для уравнения (2) задается граничное условие согласно закону Ньютона – Рихмана:

λ T m r rD/2 = α T T m rD/2 .(10)

Эффективный коэффициент теплоотдачи между воздушным потоком и крепью шахтного ствола определен следующим образом [11]:

α=k3,6 V 0,8 D 0,2 .(11)

В системе уравнений (1)-(11) введены следующие обозначения: ρa – плотность воздуха в стволе, кг/м3; cv – удельная изохорная теплоемкость воздуха, Дж/(кг·°C); T – температура воздуха в стволе, °C; P – барометрическое давление воздуха на глубине x, Па; L – скрытая теплота конденсации воды, Дж/кг; m – влагосодержание воздуха, заданное в модели на основе экспериментальных измерений, кг/кг; D – диаметр ствола, м; V – скорость воздушной струи в стволе, м/с; s – площадь поверхности теплообмена, м2; τ – общее время процесса теплообмена, с; ΔТ0 – начальное рассогласование температуры воздушной струи и крепи ствола, °C; δ – температурное возмущение на границе тепловыравнивающего слоя, принимается равным 0,1 °С; α – эффективный коэффициент теплоотдачи, Вт/(м2·°C); k – безразмерный эмпирический коэффициент, учитывающий шероховатость и увлажненность стенок ствола; Тm(t, r, x) – температура стенки ствола, °C; am – эффективный коэффициент температуропроводности системы «крепь ствола – массив», м2/с [35].

Введем безразмерные переменные в следующем виде:

x ^ = x H ; T ^ = T Δ T А ; P ^ = P P 0 ; T ^ m = T m Δ T А ; t ^ = t Δ t сут ; ρ ^ = ρ ρ 0 ; r ^ = r D ,

где H – глубина ствола, м; ΔТА – перепад температуры атмосферного воздуха на поверхности, °С; Δtcут = 24 ч = 86400 c – период изменения температуры атмосферного воздуха.

Приведем уравнения (1) и (2) к безразмерной форме:

ρ ^ T ^ x ^ = K c P ^ ρ ^ ρ ^ x ^ 1 Ste ρ ^ m x ^ + K h T ^ m T ^ ; T ^ m t ^ =Fo 1 r ^ r ^ r ^ T ^ m r ^ ;

граничное условие (10) в безразмерной форме будет иметь следующий вид:

T ^ m t ^ =Bi T ^ T ^ m r ^ 1/2 ;
Bi= αD λ , Fo= a m Δ t сут D 2 ;Ste= c v Δ T А L ; K c = P 0 ρ 0 c v Δ T А ; K h = 4αH ρ 0 c v DV ,

где Bi, Fo, Ste – безразмерные комплексы, представляющие собой числа (критерии) подобия Био, Фурье, Стефана соответственно; Kc, Kh – безразмерные комплексы.

В случае моделирования окружающего массива как многослойной структуры «тюбинг – бетонная крепь – породы» в модели будут присутствовать дополнительные безразмерные комплексы – отношения температуропроводностей различных слоев.

Число Био характеризует отношение теплопередачи внутри массива к теплопередаче на границе с воздухом. Число Фурье характеризует соотношение между скоростью изменения тепловых условий в окружающей воздушной среде и скоростью перестройки поля температуры внутри системы «крепь – массив». Число Стефана определяется как отношение характерного изменения явной теплоты воздушного потока к изменению скрытой теплоты вследствие фазовых переходов влаги в воздушном потоке. Числа Kc и Kh характеризуют соответственно интенсивность нагрева воздуха вследствие его опускания вниз по стволу и вследствие его взаимодействия со стенками ствола.

Результаты и дискуссия

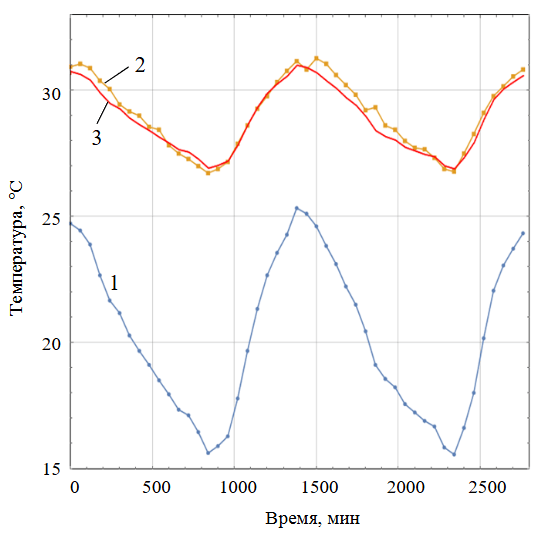
В результате проведения экспериментов получены графики изменения температуры и относительной влажности воздуха на поверхности рудников, а также на сопряжении воздухоподающих стволов с транспортными горизонтами. На графиках рис.2 представлены результаты наблюдения в стволе № 1, измерения проводились в течение 78 ч. Из графика на рис.2, а видно, что на глубине транспортного горизонта происходит сдвиг фазы суточных колебаний (суточное «отставание») температуры на 20-65 мин относительно суточных колебаний температуры на поверхности рудника. При этом средняя вариация суточных колебаний температуры воздуха на поверхности составила 5,8 °C за исследуемый период, а на подземном горизонте 2,6 °C, что говорит о существенном проявлении эффекта теплового демпфирования. Влажность воздуха также испытывает суточные колебания (рис.2, б), при этом средняя вариация относительной влажности атмосферного воздуха за исследуемый период достигла 23 %, а на транспортном горизонте средняя вариация составила 17 %, что свидетельствует о нивелировании амплитуды колебаний не только температуры, но и относительной влажности воздушного потока при движении по воздухоподающему стволу.

Рис.2. Суточные изменения температуры (а) и относительной влажности (б) воздуха в стволе № 1

Рис.3. Суточные изменения температуры (а) и относительной влажности (б) воздуха в стволе № 2

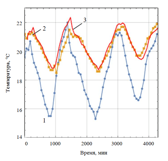
В стволе № 2 измерения проводились в течение 46 ч. На графике (рис.3, а) показан сдвиг фазы суточных колебаний температуры на глубине транспортного горизонта на 10-15 мин относительно суточных колебаний температуры на поверхности рудника. За этот временной промежуток воздушная масса, проходя по стволу, остывала с 31,3 до 25,6 °C в дневное время. В ночное (холодное) время суток за такой же интервал времени температура воздуха, проходящего по стволу, снижалась с 26,7 до 15,6 °C. Средняя вариация суточных колебаний температуры атмосферного воздуха составила 9,7 °C, при этом средняя вариация суточных колебаний температуры воздуха на сопряжении с подземным горизонтом составила 4,5 °C вследствие проявления эффекта теплового демпфирования.

Средняя вариация относительной влажности воздуха за исследуемый период достигла 32 % на поверхности рудника, 17 % на транспортном горизонте, что так же свидетельствует о нивелировании амплитуды колебаний относительной влажности воздушного потока при движении по воздухоподающему стволу.

При подстановке характерных для исследуемых шахтных стволов значений величин получим порядки чисел подобия: Bi ~101-102; Fo ~10–3-10–2; Ste ~10–3; Kc ~101; Kh ~100. Полученные значения чисел Bi и Fo говорят о том, что основное изменение температуры будет происходить вблизи поверхности ствола, при этом внутри массива температура изменится незначительно, так как теплопередача внутрь бетона происходит медленно. Малые значения числа Ste говорят о том, что для фазового перехода (конденсации или испарения влаги в воздушном потоке) требуется значительно больше теплоты по сравнению с теплотой, необходимой для изменения температуры. Порядки величин чисел Kc и Kh свидетельствуют о существенном влиянии на нагрев воздуха как его сжатия при движении по стволу, так и его взаимодействия со стенками ствола.

Для предварительной оценки вклада каждого из учтенных в уравнении (1) процессов тепломассопереноса в увеличение температуры воздуха на сопряжении с подземным горизонтом подставим характерные значения величин (табл.2). В качестве среднего барометрического давления, средней температуры и средней плотности воздуха в стволах принимались величины, равные среднему арифметическому соответствующих физических параметров воздуха в устье и на сопряжении ствола с подземным горизонтом.

Таблица 2

Свойства воздуха и параметры стволов

Параметр

Ствол № 1

Ствол № 2

Средняя плотность воздуха в стволе, кг/м3

1,235

1,26

Среднее барометрическое давление воздуха в стволе, Па

103570

107593

Средний прирост температуры воздуха в стволе, °С

1,6

9,0

Средний прирост влагосодержания в стволе, кг/кг

0,83

0,41

Средняя температура крепи, °С

20,1

27,3

Глубина ствола, м

381

1094

Диаметр ствола, м

7

8

Скорость воздуха в стволе, м/с

4,1

6,3

Удельная теплоемкость воздуха, Дж/(кг·°С)

1005

1005

Скрытая теплота конденсации воды, кДж/кг

2260

2260

Коэффициент теплоотдачи между воздушным потоком и стенкой ствола, Вт/(м2·°С)

16,6

13,5

В табл.3 представлены соотношения влияния различных процессов тепломассопереноса Ii, происходящих в исследуемых стволах, на формирование конечной температуры воздуха на сопряжении с подземным горизонтом. Влияние рассчитывалось как отношение теплоты, привносимой или отводимой от воздушного потока рассматриваемым фактором, к изменению внутренней энергии воздушного потока:

I i = W i ρ a c a ΔT 100%,

где Wi– теплота от i-го теплового фактора.

Суммарное влияние всех процессов тепломассопереноса для каждого из стволов составляет 100 %, т.е. изменение температуры воздуха в стволе полностью происходит за счет этих процессов.

Таблица 3

Соотношение влияния процессов тепломассопереноса на температуру воздуха на сопряжении ствола с подземным горизонтом, %

Фактор

Ствол № 1

Ствол № 2

Гидростатический нагрев воздуха за счет сжатия

+196,9

+84,8

Испарение влаги с поверхности ствола

–116,6

–10,2

Теплообмен с крепью ствола

+19,7

+25,4

Примечание. Плюс означает, что рассматриваемый фактор способствует повышению температуры воздуха с глубиной, минус означает, что фактор способствует охлаждению воздуха.

Из табл.3 следует, что для ствола № 1 ключевым фактором увеличения температуры воздуха является гидростатический нагрев за счет адиабатического сжатия (в 10 раз больше, чем влияние теплообмена с крепью ствола), при этом на испарение влаги с поверхности крепи тратится существенное количество энергии воздушного потока. Для ствола № 2 фактор гидростатического нагрева за счет адиабатического сжатия также превалирует над фактором теплообмена с крепью ствола (в 3,3 раза больше), однако за счет меньшего количества влаги в стволе потери энергии на испарение составляют незначительную часть.

Система уравнений (1)-(11) решалась методом конечных разностей согласно явной схеме по времени первого порядка и центральной схеме по пространству второго порядка. В результате получены временные зависимости температуры воздушного потока в околоствольном дворе подземного горизонта. В качестве варьируемых параметров принимались am и k, которые методом последовательных приближений подбирались так, чтобы результаты экспериментальных измерений температуры воздушного потока T(ti) были как можно ближе к соответствующим температурам, полученным в результате моделирования, т.е. чтобы выполнялось условие

i=1 n T ˜ t i T t i 2 n min.(12)

На рис.4 представлены контурные линии корня из средней квадратичной ошибки (12) в фазовой плоскости «коэффициент k – температуропроводность массива» для условий ствола № 2. Минимум функционала (12) достигается при значениях параметров k = 1,3; эффективная температуропроводность массива am = 2,2·10–7 м2/с. На рис.5 показан график временной динамики температуры воздушного потока на поверхности и на сопряжении с подземным горизонтом. Кривая 3 на рис.5 построена в результате решения системы уравнений (1)-(11) при значениях параметров k = 1,3; am = 2,2·10–7 м2/с.

Рис.4. Контурные линии корня из средней квадратичной ошибки (12) в фазовой плоскости «коэффициент k – температуропроводность массива am» в стволе № 2

Рис.5. Временная динамика температуры воздуха в стволе № 2

1 – данные натурных измерений в устье ствола; 2 – данные натурных измерений на сопряжении ствола с подземным горизонтом; 3 – рассчитанная динамика температуры на сопряжении ствола с подземным горизонтом

На рис.6 представлены контурные линии корня из средней квадратичной ошибки (12) в фазовой плоскости «коэффициент k – температуропроводность массива» для условий ствола № 1. Минимум функционала (12) достигается при значениях параметров k = 2,2; эффективная температуропроводность массива am = 150·10–7 м2/с. На рис.7 представлен график временной динамики температуры воздушного потока на поверхности и на сопряжении с подземным горизонтом. Кривая 3 на рис.7 построена в результате решения системы уравнений (1)-(11) при значениях параметров k = 2,2; am = 150·10–7 м2/с.

Рис.6. Контурные линии корня из средней квадратичной ошибки (12) в фазовой плоскости «коэффициент k – температуропроводность массива am» в стволе № 1

Таким образом, математическая модель процесса нестационарного сопряженного теплообмена между воздушным потоком, крепью ствола и породным массивом с учетом переноса влаги, настроенная по данным экспериментальных измерений, может быть использована для прогнозирования динамики температуры воздушного потока на подземном горизонте с достаточной для инженерных расчетов точностью, при этом малые отклонения модельных кривых от экспериментальных точек связаны в основном с приборной погрешностью.

Полученные модели для обоих исследуемых стволов далее были использованы для определения функциональной зависимости температуры Тгор(t) на подземном горизонте от температуры на поверхности ТА(t) и глубины Н. Для этого в качестве граничного условия (6) задавалось гармоническое изменение температуры на поверхности:

T А (t)= T ¯ А + Δ T А 2 cos 2πt 1440 ,

где T ¯ A – среднее значение температуры на поверхности за сутки, °C; ΔТА – вариация суточных колебаний температуры атмосферного воздуха, °C; t – время, мин. Варьируемыми параметрами были T ¯ A , ΔТА, Н.

Результаты многопараметрического моделирования позволили определить зависимости температуры воздуха на подземном горизонте от варьируемых параметров. Зависимости подбирались в виде суперпозиции усредненной по времени температуры воздуха и нестационарной компоненты, характеризующей гармонические колебания около этого среднего значения с некоторыми фазовыми сдвигами, обусловленными инерционностью процесса теплопроводности. В результате многопараметрического моделирования получены следующие выражения для прогноза температуры на подземном горизонте для исследуемых стволов:

T гор (t) 1 = T ¯ А +0,0073H+ 18,3Δ T А H 0,6 cos 0,048+ 2πt 1440 ; T гор (t) 2 = T ¯ A +0,0056H+ 9,3Δ T А H 0,6 cos 0,109+ 2πt 1440 .

Вторые слагаемые в полученных выражениях характеризуют влияние температурного градиента вследствие совокупного воздействия гидростатического сжатия и усредненного по времени эффекта теплообмена с породным массивом.

Общий вид расчетных формул для определения средней температуры воздуха в околоствольном дворе воздухоподающего ствола Т¯гор, суточной вариации температуры ΔТгор и сдвига фазы колебаний температуры φ:

T ¯ гор = T ¯ А +aH; Δ T гор =b Δ T А H 0,6 ; φ=2π Δt 1440 ,

где Δt – суточное «отставание» колебаний температуры на сопряжении ствола с подземным горизонтом относительно суточных колебаний температуры на поверхности рудника, мин; a, b – эмпирические коэффициенты, в общем случае зависящие от чисел подобия Bi, Fo, Ste, а также Kc, Kh.

Рис.7. Временная динамика температуры воздуха в стволе № 1

1 – данные натурных измерений в устье ствола; 2 – данные натурных измерений на сопряжении ствола с подземным горизонтом; 3 – рассчитанная в модели динамика температуры на сопряжении ствола с подземным горизонтом

Заключение

Представлены результаты изучения эффекта демпфирования амплитуды суточных колебаний температуры и влажности атмосферного воздуха в воздухоподающих стволах калийных рудников на основе теоретико-экспериментального подхода, подразумевающего как проведение натурных измерений микроклиматических параметров воздуха в шахтных условиях, так и применение математической модели сопряженного конвективно-диффузионного тепломассопереноса в пространстве ствола, крепи и окружающем породном массиве, для прогнозирования температуры воздуха на сопряжении ствола с подземным горизонтом.

Описана методика проведения натурных измерений в шахтных условиях и представлены полученные данные для двух воздухоподающих стволов калийных рудников различной глубины, которые использовались далее для параметризации и валидации предложенной модели процесса нестационарного сопряженного теплообмена между воздушным потоком, крепью ствола и породным массивом.

Определены эффективные коэффициенты теплоотдачи α между воздушным потоком и стенкой для исследуемых стволов, а также эффективные температуропроводности породных массивов am, окружающих стволы: для ствола № 2 α = 4,68(V0,8/D0,2) Вт/(м2·°C), am = 2,2·10–7 м2/с; для ствола № 1 α = 7,92(V0,8/D0,2) Вт/(м2·°C), am = 150·10–7 м2/с.

Далее полученные модели для обоих исследуемых стволов использовались для многопараметрического моделирования с целью определения эмпирической зависимости температуры в околоствольном дворе подземного горизонта как функция среднесуточной температуры и амплитуды колебаний температуры на поверхности и в глубине ствола. В результате получены расчетные формулы для определения средней температуры воздуха в околоствольном дворе воздухоподающего ствола, суточной вариации температуры и сдвига фазы колебаний температуры. Показано, что амплитуда колебаний температуры воздуха в околоствольном дворе зависит от глубины его расположения по степенному закону с показателем –0,6.

Результаты работы будут полезны при количественной оценке микроклиматических условий в рудничной вентиляционной сети и принятии решения о необходимости системы охлаждения для обеспечения комфортных условий труда в руднике. Предложенный подход к оценке вариации суточной температуры воздуха на подземном горизонте позволит также уточнить расчет временной динамики естественной тяги как в нормальном, так и в реверсивном режимах проветривания рудников, что в свою очередь позволит повысить точность расчета аварийных режимов проветривания рудников.

Литература

  1. Галкин А.Ф. Тепловой режим рудников криолитозоны // Записки Горного института. 2016. Т. 219. С. 377-381. DOI: 10.18454/PMI.2016.3.377
  2. Зайцев А.В., Семин М.А., Паршаков О.С. Особенности формирования теплового режима в воздухоподающих стволах в холодный период года // Записки Горного института. 2021. Т. 250. С. 562-568. DOI: 10.31897/PMI.2021.4.9
  3. Habibi A., Kramer R.B., Gillies A.D.S. Investigating the effects of heat changes in an underground mine // Applied Thermal Engineering. 2015. Vol. 90. Р. 1164-1171. DOI: 10.1016/j.applthermaleng.2014.12.066
  4. Hongbin Zhao, Shihao Tu, Xun Liu et al. Study of energy-efficient heat resistance and cooling technology for high temperature working face with multiple heat sources in deep mine // International Journal of Coal Science & Technology. 2023. Vol. 10. № 35. DOI: 10.1007/s40789-023-00590-9
  5. Fair R., van Laar J.Н., Nell K. et al. Simulating the sensitivity of underground ventilation networks to fluctuating ambient conditions // South African Journal of Industrial Engineering. 2021. Vol. 32. № 3. P. 42-51. DOI: 10.7166/32-3-2616
  6. Зайцев А.В., Левин Л.Ю., Паршаков О.С. Особенности проектирования вентиляции и кондиционирования воздуха глубоких рудников // Горный журнал. 2023. № 11. С. 57-63. DOI: 10.17580/gzh.2023.11.09
  7. Левин Л.Ю., Зайцев А.В. Моделирование, расчет и управление тепловым режимом шахт и рудников при освоении месторождений полезных ископаемых на больших глубинах // Доклады Российской академии наук. Науки о Земле. 2022. Т. 507. № 2. С. 363-372. DOI: 10.31857/S2686739722601636
  8. Алабьев В.Р., Новиков В.В., Пашинян Л.А., Бажина Т.П. Нормализация теплового режима протяженных тупиковых выработок при высоких температурах пород на основе шахтных передвижных кондиционеров // Записки Горного института. 2019. Т. 237. С. 251-258. DOI: 10.31897/PMI.2019.3.251
  9. Maurya T., Karena K., Vardhan H. et al. Potential Sources of Heat in Underground Mines – A Review // Procedia Earth and Planetary Science. 2015. Vol. 11. P. 463-468. DOI: 10.1016/j.proeps.2015.06.046
  10. Zaitsev A., Shalimov A., Borodavkin D. Unsteady Coupled Heat Transfer in the Air and Surrounding Rock Mass for Mine Excavations with Distributed Heat Sources // Fluids. 2023. Vol. 8. Iss. 2. № 67. DOI: 10.3390/fluids8020067
  11. Колесов Е.В., Семин М.А., Казаков Б.П., Князев Н.А. Совершенствование метода расчета коэффициента теплоотдачи шахтного вентиляционного ствола по данным экспериментальных измерений в реверсивном режиме проветривания // Горный информационно-аналитический бюллетень. 2023. № 3. С. 57-71. DOI: 10.25018/0236_1493_2023_3_0_57
  12. Scalise K.A., Teixeira M.B., Kocsis K.C. Managing Heat in Underground Mines: the Importance of Incorporating the Thermal Flywheel Effect into Climatic Modeling // Mining, Metallurgy & Exploration. 2021. Vol. 38. Iss. 1. P. 575-579. DOI: 10.1007/s42461-020-00323-5
  13. Tu Q., Yu C., Li Z. et al. Computer simulation study on heat transfer of surrounding rock in mine roadway of coal mine enterprises // Thermal Science. 2020. Vol. 24. Iss. 5. Part B. P. 3049-3058. DOI: 10.2298/TSCI191020079T
  14. Pandey A., Sridharan S.J., Sastry B.S. A transient model for predicting psychrometric properties of air at an intake shaft bottom of shallow depth working // Arabian Journal of Geosciences. 2022. Vol. 15. Iss. 16. № 1396. DOI: 10.1007/s12517-022-10679-1
  15. Дуганов Г.В., Баратов Э.И. Тепловой режим рудников. М.: Госгортехиздат, 1963. 144 с.
  16. Stroh R.M. A Note on the Downcast Shaft as a Thermal Flywheel // Journal of the Mine Ventilation Society of South Africa. 1979. Vol. 32. Р. 77-80.
  17. Roghanchi P., Kocsis K.C. Quantifying the thermal damping effect in underground vertical shafts using the nonlinear autoregressive with external input (NARX) algorithm // International Journal of Mining Science and Technology. 2019. Vol. 29. Iss. 2. P. 255-262. DOI: 10.1016/j.ijmst.2018.06.002
  18. Кобылкин С.С. Системное проектирование вентиляции горных предприятий // Горный информационно-аналитический бюллетень. 2015. № S1. С. 150-156.
  19. Tingting Sun, Zhiwen Luo, Tim Chay. An analytical model to predict the temperature in subway-tunnels by coupling thermal mass and ventilation // Journal of Building Engineering. 2021. Vol. 44. № 102564. DOI: 10.1016/j.jobe.2021.102564
  20. Лискова М.Ю., Вишневская Н.Л., Плахова Л.В. Влияние микроклиматических условий на горнорабочих в выработках глубоких горизонтов калийных рудников // Горный информационно-аналитический бюллетень. 2019. № 9. С. 219-230. DOI: 10.25018/0236-1493-2019-09-0-219-230
  21. Вишневская Н.Л., Лискова М.Ю., Плахова Л.В. Современные физиолого-гигиенические проблемы работников глубоких шахт (рудников) и обоснование профилактических мероприятий в области охраны труда, способствующих их решению // Горный информационно-аналитический бюллетень. 2020. № 10. С. 163-176. DOI: 10.25018/0236-1493-2020-10-0-163-176
  22. Shuai Zhu, Jianwei Cheng, Zui Wang, Borowski M. Physical simulation experiment of factors affecting temperature field of heat adjustment circle in rock surrounding mine roadway // Energy Sources, Part A: Recovery, Utilization, and Environmental Effects. 2023. Vol. 45. Iss. 4. P. 11278-11295. DOI: 10.1080/15567036.2020.1760969
  23. Menglong Bian, Wencai Wang. Prediction model of vertical shaft air temperature and its application // IOP Conference Series: Earth and Environmental Science. 2019. Vol. 384. № 012016. DOI: 10.1088/1755-1315/384/1/012016
  24. Verbeke S., Audenaert A. Thermal inertia in buildings: A review of impacts across climate and building use // Renewable and Sustainable Energy Reviews. 2018. Vol. 82. Part 3. Р. 2300-2318. DOI: 10.1016/j.rser.2017.08.083
  25. Heier J., Bales C., Martin V. Combining thermal energy storage with buildings – a review // Renewable and Sustainable Energy Reviews. 2015. Vol. 42. Р. 1305-1325. DOI: 10.1016/j.rser.2014.11.031
  26. Бородавкин Д.А. Расчет и управление нестационарным тепловым режимом рабочих зон длинных очистных забоев (на примере Старобинского месторождения калийных солей): Автореф. дис. … канд. техн. наук. Пермь: Горный институт УрО РАН, 2024. 23 с.
  27. Рудаков М.Л., Степанов И.С. Оценка профессионального риска при воздействии нагревающего микроклимата при ведении подземных горных работ // Записки Горного института. 2017. Т. 225. С. 364-368.
  28. Паршаков О.С. Результаты исследования шахтной вентиляционной сети рудника Норильского промышленного района // Горное эхо. 2021. № 4 (85). С. 119-128. DOI: 10.7242/echo.2021.4.23
  29. Semin M., Levin L. Mathematical Modeling of Air Distribution in Mines Considering Different Ventilation Modes // Mathematics. 2023. Vol. 11. Iss. 4. № 989. DOI: 10.3390/math11040989
  30. Stewart C., Aminossadati S.M., Kizil M.S., Andreatidis T. Diurnal Thermal Flywheel Influence on Ventilation Temperatures in Large Underground Mines // Proceedings of the 16th North American Mine Ventilation Symposium, 17-22 June 2017, Golden, CO, USA. Colorado School of Mines, 2017. P. 9-1 – 9-8.
  31. Pandey A., Mondal C., Sastry B.S. Multiple logistic regression based prediction of heat flow direction in an intake incline of shallow depth by integrating thermal flywheel effect: A case study // Applied Thermal Engineering. 2022. Vol. 213. № 118765. DOI: 10.1016/j.applthermaleng.2022.118765
  32. Scalise K.A., Kocsis K. Utilizing Nonlinear Autoregressive with Exogenous Input Neural Networks to Evaluate the Thermal Flywheel Effect Along Intake Shafts at Nevada Mines // Mining, Metallurgy & Exploration. 2021. Vol. 38. Iss. 3. P. 1395-1410. DOI: 10.1007/s42461-021-00411-0
  33. Anderson R., De Souza E. Heat stress management in underground mines // International Journal of Mining Science and Technology. 2017. Vol. 27. Iss. 4. P. 651-655. DOI: 10.1016/j.ijmst.2017.05.020
  34. Зайцев А.В. Разработка способов нормализации микроклиматических условий в горных выработках глубоких рудников: Автореф. дис. … канд. техн. наук. Пермь: Горный институт УрО РАН, 2013. 20 с.
  35. Колесов Е.В. Разработка способов управления капельной влагой в вентиляционных стволах рудников: Автореф. дис. … канд. техн. наук. Пермь: Горный институт УрО РАН, 2023. 24 с.

Похожие статьи

Механизм формирования зон микротрещиноватости в образцах пород различных литологических типов при разрушении в условиях объемного напряженного состояния
2026 В. Л. Трушко, М. Д. Ильинов, А. О. Розанов, М. М. Саитгалеев, Д. Н. Петров, Д. А. Карманский, А. А. Селихов
Обоснование оптимальных технико-экономических параметров карьера при этапной разработке рудных крутопадающих месторождений
2026 С. И. Фомин, М. П. Овсянников
Плавающие биоплато Constructed Floating Wetlands – фитотехнология для очистки сточных вод: опыт применения и перспективы использования
2026 Л. А. Иванова, Е. А. Красавцева, Т. Т. Горбачева
Физические свойства палеозойско-мезозойских отложений из скважин Южно-Баренцевской впадины
2026 В. Л. Ильченко
Аккумуляция примесных элементов при гидротермальной кристаллизации пирита: селективность поверхностных фаз
2026 С. В. Липко, А. В. Николаев, Д. Н. Бабкин, В. Л. Таусон
Российско-китайское партнерство в Арктике: варианты совместной разработки месторождений редкоземельных металлов
2026 А. Е. Череповицын, И. П. Дорожкина, Коу Дзинна