Подать статью
Стать рецензентом
Том 276 Вып. 2
Страницы:
157-169
Скачать том:
RUS ENG

О необходимости совершенствования методов трехосных испытаний при исследовании механического поведения соляных пород и геоматериалов

Авторы:
Е. Я. Козловский1
М. А. Журавков2
С. И. Богдан3
Об авторах
Дата отправки:
2024-08-26
Дата принятия:
2025-07-16
Дата публикации онлайн:
2025-12-03
Дата публикации:
2025-12-30

Аннотация

Рассматривается необходимость совершенствования стандартных методов трехосных испытаний для описания механического поведения соляных пород. Трехосные испытания являются важным инструментом для определения прочностных и деформационных характеристик горных пород, однако существующие стандарты часто не учитывают специфические особенности солей, такие как значительная пластичность, ползучесть, чувствительность к температурным изменениям, способность залечивания дефектов. В работе подчеркивается критическая важность учета больших деформаций и изменений объема образцов в ходе испытаний, что позволяет более точно моделировать поведение соляных пород. Предлагается введение в стандарты известных коррекционных уравнений для учета объемных деформаций и использования меры деформации Генки. Результаты экспериментальных исследований образцов природных соляных пород и техногенных геоматериалов на их основе демонстрируют существенные погрешности в определении напряженно-деформированного состояния при применении традиционных методов обработки данных без учета специфики солей. Выводы работы предполагают необходимость пересмотра существующих стандартов на трехосные испытания с учетом предложенных подходов, что позволит повысить точность и воспроизводимость данных, критически важных для математического моделирования геомеханических процессов и проектирования в целом.

Область исследования:
Геотехнология и инженерная геология
Ключевые слова:
лабораторные испытания трехосные испытания соляные породы механика горных пород стандарты
Перейти к тому 276

Введение

Для выполнения корректного механико-математического моделирования важным представляется наличие качественных и репрезентативных исходных данных относительно физико-механических характеристик материалов, а также их корректная интерпретация для определения характеристик исследуемого объекта в целом. Не являются исключением и геоматериалы – необходимость изучения механизмов деформирования подобных сред актуальна для широких интервалов напряжений и видов напряженных состояний [1, 2]. В число основных видов механических испытаний в сложном напряженно-деформированном состоянии (НДС) входят осесимметричные трехосные испытания по схемам T. von Kármán и R.Böker [3, 4], согласно которым на подготовленные образцы сначала воздействуют всесторонним давлением σ1 = σ2 = σ3 в гидравлической камере. После этого увеличивают девиатор напряжений, приводя образец в состояние обобщенного сжатия или растяжения путем изменения нагрузки вдоль оси образца или давления жидкости в камере. Соответствие напряженного состояния при основных стандартных испытаниях параметру Надаи – Лоде μσ и девиаторному полярному углу Лоде θ: при трехосном сжатии по схеме НДС σ1 = σ2 γσ3, μσ = 1, θ = π/6; при трехосном растяжении по схеме НДС σ1 γ σ23, μσ = –1, θ = –π/6. Наибольший интерес при этом составляет широко стандартизированный метод трехосного сжатия.

Как правило, методики испытания на трехосное сжатие разделяются и устанавливаются в соответствии с группой природных геоматериалов:

  • мерзлые – с криогенными структурными связями;
  • скальные – с преобладанием структурных связей химической природы прочностью более 5 МПа;
  • дисперсные – с преобладанием механических, физических и физико-химических структурных связей;
  • полускальные – с промежуточными свойствами между скальными и дисперсными грунтами, часто представляют собой рыхлые или слабосцементированные породы прочностью менее 5 МПа.

Соляные породы занимают при этом особое место, так как их прочности могут достигать и даже превышать 40 МПа, в то же время для них характерно пластическое поведение, связанное с ярко выраженной ползучестью, что обычно объясняется совокупностью различных механизмов [5]. Среди данных механизмов в интервалах напряжений и температур, характерных для большинства горно-строительных работ, в настоящее время принято выделять основные:

  • дислокационная ползучесть, вызываемая дефектами внутри зерен (кристаллов) и сопровождаемая динамической рекристаллизацией [6, 7];
  • диффузионная ползучесть, реализующаяся за счет массопереноса в твердой фазе [6];
  • рекристаллизационная (solution-precipitation) ползучесть [6] характеризующаяся растворением нагруженных контактов, диффузией вещества в тонких пленках раствора и осаждением на разгруженных гранях [8, 9] в рамках сложного и до конца не исследованного физико-химического процесса [5, 10]. Феноменологически, как правило, описывается совместно с диффузионной ползучестью;
  • накопление повреждений, в рамках которого подразумевается, что микротрещины и поры вследствие деформирования могут увеличиваться и развиваться вплоть до раскрытия межзерновых контактов или разрушения зерен [7, 11, 12].

Подобное механическое поведение наблюдается задолго до достижения предела прочности и при трехосных испытаниях демонстрирует выраженную пластичность [13, 14] и дилатансию. Увеличение объема образца при испытаниях на сжатие в этом случае наблюдается вплоть до высоких напряжений обжатия, а его начало обычно характеризуется границей дилатансии [11]. Механизмы ползучести также подразумевают, что образцами могут быть достигнуты большие деформации не только при высоких интенсивностях напряжений, но при достаточной продолжительности с малыми интенсивностями напряжений.

Необходимо отметить важность температурного режима при испытаниях. Температура горных пород в природном состоянии или при эксплуатации сооружения может существенно отличаться от комнатной в лаборатории. Известно, что с увеличением глубины температуры природной среды могут значительно повышаться. Даже в проектах, реализующих шахтный способ добычи с учетом современных глубин ведения горных работ, температуры в массиве могут достигать in situ 35-60 °С [15-17]. При этом рассматриваемые породы являются весьма чувствительными к изменениям температуры [18]. В частности, процессы, происходящие при ползучести, существенно ускоряются, а скорости деформирования при подобных различиях условий могут отличаться в несколько раз [19, 20]. Влияние оказывается также и на условно-мгновенные характеристики – как деформационные, так и прочностные [21].

Важно отметить и другую особенность соляных пород вследствие диффузионной и рекристаллизационной ползучести [22, 23] – способность к восстановлению своей структуры и залечиванию накопленных дефектов [20, 24], которые могут появиться в том числе во время бурения и оказать существенное влияние на результаты испытаний [25, 26]. Использование эффекта восстановления породы может применяться в лаборатории и рекомендуется многими исследователями в качестве дополнительной стадии испытания – процедуры реконсолидации [22, 27] путем предварительного обжатия образца в камере некоторым, не всегда изотропным, давлением и выдерживанием под нагрузкой некоторое время до достижения выбранного критерия окончания процедуры, после чего можно приступить к стандартной стадии девиаторного нагружения. Подобные вспомогательные этапы реконсолидации образца обычно проводят при природном уровне напряжений и температур, они могут длиться весьма продолжительное время. Некоторые исследователи рекомендуют процедуру, ограничивающуюся несколькими часами [28], другие выдерживают образцы до 10 сут для испытаний с уровнем девиаторных напряжений выше 10 МПа и рекомендуют еще более длительную реконсолидацию для изучения ползучести в более низком диапазоне напряжений [22]. Иногда реконсолидация состоит из нескольких подстадий [29]. Для ускорения таких продолжительных процессов иногда прибегают к повышению средних напряжений либо температур выше природного уровня [30].

Отмеченные аспекты существенно отличают большинство соляных пород от группы скальных, результаты испытания которых даже при высоких обжатиях, как правило, позволяют работать с допущениями о малости деформаций и отсутствии формоизменения [4]. При этом очевидно, что названные допущения могут существенно завышать уровень напряжений в образце и приводить в последующем к искажению оценок поведения массива и чрезмерно оптимистичным инженерным решениям. Таким образом становится актуальным аргументированное обоснование необходимости внесения дополнений в методы обработки и интерпретации данных, а также необходимости дополнений самих испытаний специальными процедурами с позиций требования сохранения физической репрезентативности.

Методы

Согласно основным распространенным стандартам на осесимметричное трехосное сжатие, к которым можно отнести ASTM, ГОСТ, рекомендации ISRM [31, 32] и т.д., проведение и обработка испытаний предполагается с определением деформаций как относительных:

ε= L L 0 L 0 ,(1)

где L0, L – начальная длина и длина деформированного образца соответственно.

Единственными широко распространенными стандартами-исключениями являются ASTM. Несмотря на использование начальной конфигурации образца в качестве основной, они допускают (но не обязуют и не рекомендуют как лучшую практику) учет больших деформаций и формоизменения. Подобная исключительность этого стандарта вызвана его распространением в том числе на трехосные испытания при высоких температурах, т.е. случаев, когда дополнительно стимулируется переход механизма деформирования горных пород из хрупкого в пластический. При этом стандарт не дает рекомендаций по обработке измерений, способам учета больших деформаций и формоизменения, достаточных для независимого воспроизведения в различных лабораториях.

Таким образом, традиционно форма образцов для прочных горных пород (не дисперсных и не полускальных) лабораториями принимается постоянной. Одновременно с этим для дисперсных грунтов при больших деформациях предложены и повсеместно разными системами нормирования рекомендуются подходы коррекции размера сечения образца [33, 34] прямыми измерениями либо введением поправки на площадь поперечного сечения следующего вида:

A 1 = A 0 1 1+b ε a ;(2) A 2 = A 0 1+ ε v 1+b ε a ,(3)

где А0, А1, А2 – начальная и конечные (при предположениях неизменности и изменения объема) площади образца поперечного сечения соответственно; εа – осевая деформация образца; εv – объемная деформация образца; b – коэффициент неравномерности расширения образца.

Допущение о малости деформаций и неизменности формы для прочных пород используется в силу удобства, исходя из того, что подавляющее большинство горных пород достигает предела прочности при весьма низких деформациях – нередко в абсолютной величине менее 1 % даже при весьма высоких обжатиях, а при высоких обжатиях начинают деформироваться пластично и могут не достигнуть предела прочности в принципе [4].

Однако даже прочные, достигающие предела прочности на одноосное сжатие в 40 МПа и выше соляные породы в своем большинстве проявляют яркие пластические свойства уже при малых обжатиях. При этом прочность может достигаться в интервалах абсолютных величин сжимающих деформаций от 5 до 30 % [35] либо вовсе не достигаться с характерным графиком упрочнения [36]. Очевидно, подобные результаты испытаний требуют учета больших деформаций.

За пределами исследований горных пород в области высоких давлений и температур одними из первых работ, специально затронувших вопрос учета больших деформаций при испытаниях стали публикации исследователей из Германии [27], которые в дальнейшем легли в основу рекомендуемых методик с акцентом на необходимости учета «истинных» деформаций и их скоростей. Тем не менее в них сохранялось допущение о неизменности объема образцов при испытаниях с использованием функции коррекции, аналогичной формуле (2) [22, 27]. Подобные выводы были получены и при изучении поведения образцов солей, отобранных в провинциях Jiangsu и Jianghan Китая [37]. Некоторыми исследователями было предложено вести расчет не только в логарифмических деформациях, но также проводить коррекцию образца согласно формулам [38, 39]:

A= A 0 1 1+ ε ¯ a ; σ ¯ а = F A ,(4)

где ε¯a – осевые деформации Генки; σ¯a – «истинные» напряжения; F – сила на штоке прибора.

Авторы данной работы, аналогично многим предшествующим исследователям, предлагают при интерпретации данных принять меру деформаций Генки:

d ε ¯ = dL L ; ε ¯ = L 0 L dL L =ln L L 0 ;(5) ε ¯ =lnλ i ,

где ε¯i – главные деформации; λi – главные удлинения (кратности).

Объемные деформации определяются таким образом:

ε v ¯ =ln(λ 1 λ 2 λ 3 )= ε ¯ 1 + ε ¯ 2 + ε ¯ 3 .

Вместе с тем предлагается в общем случае учитывать изменение поперечного сечения по экспериментальным измерениям в поперечном направлении или совместным измерениям в осевом направлении и объема образца в камере с введением соответствующих поправок из предположения

A= A 0 λ r 2 = A 0 J λ а ,(6)

согласно

A max = A 0 λ r,е 2 = A 0 exp 2 ε ¯ r ; A mean = A 0 J e λ a,e = A 0 exp ε ¯ v exp ε ¯ a , (7)

где Amaх, Amean – наибольшая и средняя по высоте площади поперечного сечения образца соответственно; A0 и А – начальная и конечная площадь поперечного сечения образца; λr, λa, λr,e, λa,e – главные удлинения в радиальном и осевом направлениях и их экспериментально полученные величины; J – якобиан, относительное изменение объема, J = det(F) = λ1 λ2 λ3; ε¯r – поперечные деформации; ε¯a – осевые деформации; ε¯v – объемные деформации.

Оба подхода в случае формы, близкой к идеальному цилиндру, будут давать близкие величины напряжений

σ ¯ a = F A

либо в зависимости от конструкции прибора

σ ¯ a = F p h A s A A ,

где F – нагрузка на шток; ph – гидростатическое давление в камере; As – полная площадь штока.

При необходимости следует использовать дополнительные известные коэффициенты по корректировке, исходя из наблюдаемых дефектных форм деформирования. Вопрос коррекции напряжений в образцах неправильной формы рассматривался начиная с классических работ 40-х годов, различные аспекты этой проблемы изучались многими исследователями [33, 34, 40], они в различном виде широко отражены в рекомендациях по испытаниям дисперсных грунтов.

Уравнения (7) приведены исключительно для удобства работы в одной мере деформации. Если используются εr или εa и εv, полученные прямыми измерениями, то конечные величины, согласно равенству (6), будут полностью аналогичны используемой для грунтов функции (3), так как они эквивалентны, в отличие от формулы (4).

Значения будут полностью совпадать и с расчетными величинами, если учесть формоизменение вследствие больших перемещений:

ε v,max = ε a +2 ε r +2 ε a ε r + ε r 2 + ε a ε r 2 ;(8) ε r ,mean = 1+ ε v 1+ ε a 1,(9)

где εv, max – максимальная (в случае «бочкования») относительная объемная деформация, полученная по прямым измерениям εa и εr; εr, mean – средняя относительная поперечная деформация по высоте образца по прямым измерениям εa и εv.

Различие в формуле (7) между использованием прямых измерений ε¯r и прямых измерений ε¯a и ε¯v будет, как правило, только при отклонении конечной формы от цилиндра, так как расчет через изменение объема в камере приводит к средней площади по всей длине образца, а через прямые изменения поперечного сечения – к более пессимистичным оценкам в случае «бочкования» образца. Основное отличие от стандартных подходов интерпретации данных с датчиков будет заключаться в следующих факторах:

  • представление результатов с использованием меры деформации Генки при построении диаграмм «напряжения – деформации» и определении характерных точек на них (деформации, соответствующие переходу к дилатансии, пиковая прочность, достижение остаточной прочности и т.д.);
  • учет формоизменения, что является распространенным для соляных пород в мировой практике, но не широко стандартизированным;
  • учет изменения объема, что в установившейся мировой практике является нехарактерным для горных пород, в том числе для соляных.

Типовые результаты стандартных испытаний соляных пород на трехосное сжатие, выполненные в трех различных лабораториях, объединены в четыре группы:

  • группа 1 – условно-мгновенные трехосные испытания каменной соли с предварительной реконсолидацией образцов, отобранных в глубоких скважинах;
  • группа 2 – условно-мгновенные трехосные испытания каменной соли без предварительной реконсолидации образцов, отобранных в глубоких скважинах;
  • группа 3 – условно-мгновенные трехосные испытания техногенного геоматериала, искусственно сформованного и представляющего собой смесь соляных отходов [41] и цементов [42-44];
  • группа 4 – длительные трехосные испытания каменной соли и сильвинита без предварительной реконсолидации.

Представление результатов основано на сопоставлении основных для испытания исходных диаграмм с диаграммами после дополнительной постобработки результатов со сравнением трех подходов:

  • подход 1 – мера деформаций (1) без корректировки напряжений;
  • подход 2 – мера деформаций (5) и корректировка напряжений (7) с допущением ε¯v = 0;
  • подход 3 – мера деформаций (5) и корректировка напряжений (7) с учетом фактических величин ε¯v.

Обсуждение результатов

Из-за невозможности графического представления полных результатов испытаний и их интерпретации, а также для воспроизведения исходные данные εa, εr, σ1, σ3 для групп 1-3, в том числе t, εa, εr, σ1, σ3 для группы 4 в электронном виде доступны по ссылке: Приложение: 1 (csv).

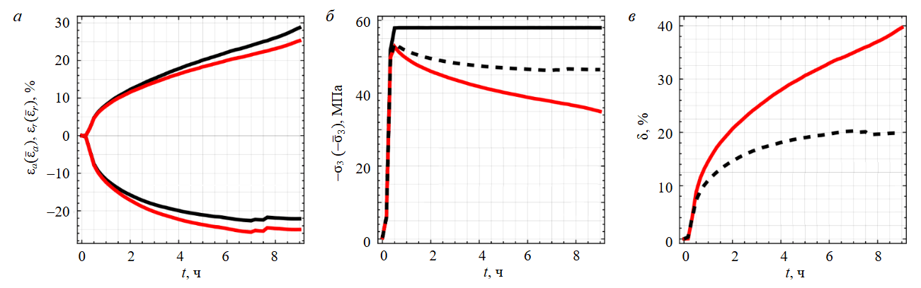
Группа 1. Испытания образцов каменной соли, отобранных в глубокой скважине, были выполнены при величинах обжатия (ph = –σ1 = –σ2), равных 0, 2, 3, 7 и 15 МПа соответственно. Напряжения в природном состоянии превышают величины обжатия на стадии девиаторного нагружения. Перед основной стадией увеличения девиатора напряжений в образце производилась реконсолидация [22, 23, 27]. Для рассматриваемых образцов была проведена экспресс-консолидация продолжительностью 2 ч при повышенном уровне средних напряжений 60 МПа (природный уровень – 25 МПа). Изменение объема для образцов данной группы учитывалось посредством измерения продольного перемещения штока по главной оси и объема масла в камере.

Результаты обработки представлены на рис.1, относительная погрешность определялась согласно следующей формуле, в которой за эталонную величину принималось значение подхода 3:

δ= σ 3 σ 3,ref σ 3,ref ,

где σ3 – величина наименьшего главного напряжения согласно подходу; σ3, ref – эталонная величина наименьшего главного напряжения.

Во всех испытаниях наблюдался выраженный переход к дилатансии при всех величинах обжатия, что является типичным для деформирования подобных геоматериалов [11, 45, 46]. Величина относительной погрешности по отношению к эталонному методу для подхода 1 составила 24,8 %, а для подхода 2 – 2,5 %.

Группа 2. Испытания образцов каменной соли, отобранных в глубоких скважинах, были выполнены при величинах обжатия (ph = –σ1 = –σ2), равных 5, 10 и 15 МПа. Напряжения в природном состоянии превышают величины обжатия. Реконсолидацию при этих испытаниях лаборатория не выполняла. Изменение объема учитывалось по данным систем измерения продольных и окружных деформаций на полномостовых тензометрических датчиках.

Результаты обработки представлены на рис.2 в форме, аналогичной группе 1. Образцы данной группы даже при низких обжатиях на всем интервале деформирования испытывали контракцию (уменьшались в объеме), что обычно нехарактерно для каменной соли, но фиксировалось на большом объеме испытаний. В таком случае учет ε¯v приводит к менее консервативным величинам по сравнению с коррекцией при ε¯v = 0. Предположительно, подобное поведение вызвано технологической нарушенностью образцов.

Также во время испытаний происходил срыв датчиков поперечных деформаций, а изменение объема жидкости в камере не протоколировалось, что не позволяет произвести коррекцию напряжений во всем диапазоне деформирования. В связи с этим величины относительной погрешности и график рис.2, д представлен для момента, предшествующего срыву датчика. При этом, очевидно, величины погрешности будут существенно занижены.

Рис.1. Результаты обработки трехосных испытаний группы 1: кривые деформирования для различных величин обжатия (а-г); графики прочности в главных напряжениях (д) и относительной погрешности подходов (е)

1 – подход 1 (исходная кривая); 2 – подход 2 (коррекция при ε¯v = 0); 3 – подход 3 (при ε¯v ≠ 0)

Рис.2. Результаты обработки трехосных испытаний группы 2: кривые деформирования для различных величин обжатия (а-г); графики прочности в главных напряжениях (д) и относительной погрешности подходов (е)

Условные обозначения см. на рис.1

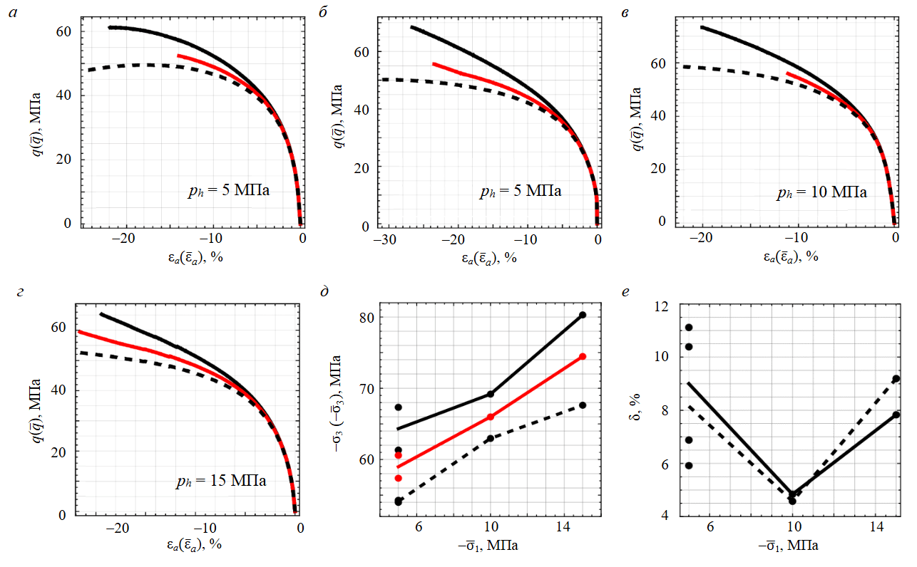
Группа 3. Испытания техногенного геоматериала, который представлял собой искусственно сформованную смесь соляных отходов и небольшого количества цементов и добавок на сроке твердения 28 сут. Испытания образцов были выполнены при величинах обжатия (ph = –σ1 = –σ2), равных 2, 6, 7 и 12 МПа. Изменение объема учитывалось по данным с систем измерения продольных и окружных деформаций на полномостовых тензометрических датчиках, а также объема масла в камере.

Так как образцы до исследования не испытывали никаких нагрузок, то наблюдалась затухающая объемная ползучесть образцов на стадии приложения всесторонней нагрузки. Для устранения влияния ползучести образцы перед испытанием стабилизировались путем консолидации в течение 15 мин при заданной для испытания величине обжатия. Поскольку образцы в данной группе состояли из различных смесей с некоторым отличием механического поведения, результаты приведены обобщенно, что соответствует целям и задачам статьи.

Результаты обработки представлены на рис.3 в форме, аналогичной группе 1. Интервалы деформаций схожи и с исследованиями других составов солесодержащих техногенных материалов [47], а также могут идеализированно отражать механическое поведение природных смешанных горных пород со скелетом из хрупких и прочных пород с высоким содержанием включений соляных пород.

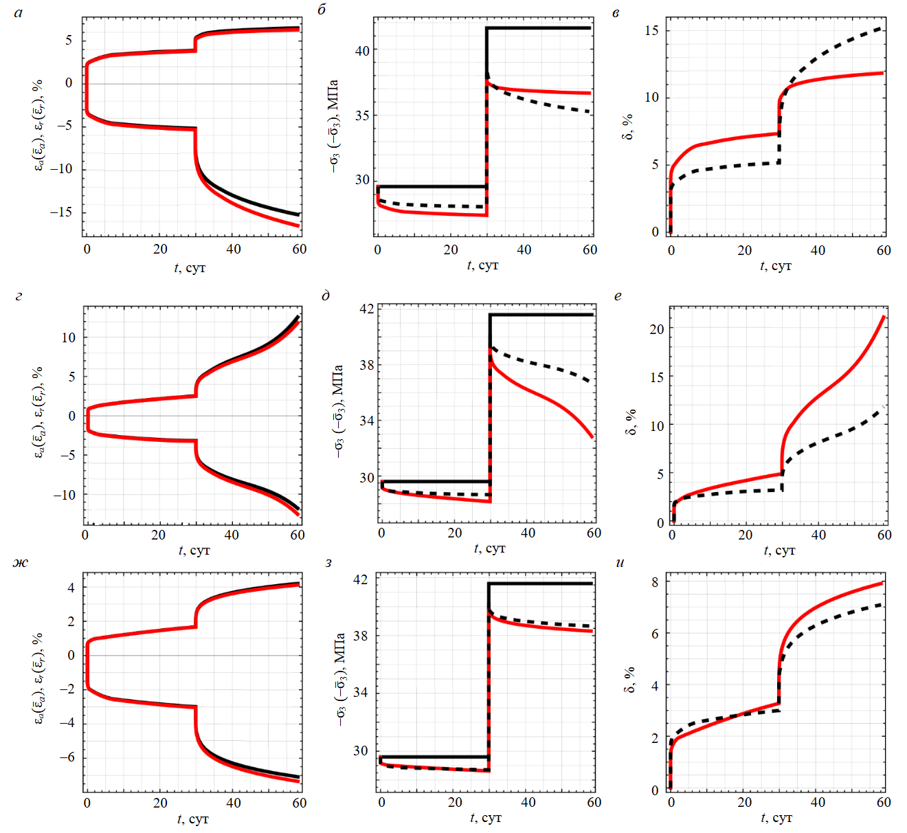
Группа 4. Длительные трехосные испытания образцов соляных пород, выполненные при величинах обжатия (ph = –σ1 = –σ2), равных 2 МПа для каменной соли и 6 МПа для сильвинита. Дополнительная стадия реконсолидации в образцах не проводилась. Изменение объема учитывалось по данным систем измерения продольных и окружных деформаций на полномостовых тензометрических датчиках.

Результаты обработки представлены на рис.4 для каменной соли и рис.5 – для сильвинита. Относительная погрешность определялась для действующих осевых напряжений, а эталонным принимались значения подхода 1, так как они характеризуют целевые величины напряжений (схема испытания подразумевала поддержание постоянного уровня напряжений). Таким образом графики рис.4, в, е, и и рис.5, в следует интерпретировать как величины относительных потерь наименьшего главного напряжения σ3 по отношению к требуемому заданному уровню напряжений из-за отсутствия коррекции в процессе испытания.

Рис.3. Результаты обработки трехосных испытаний группы 3: кривые деформирования для различных величин обжатия (а-г); графики прочности в главных напряжениях (д) и относительной погрешности подходов (е)

Условные обозначения см. на рис.1

Рис.4. Результаты обработки трехосных испытаний группы 5 (каменная соль): кривые деформирования (а, г, ж), соответствующие им действующие осевые напряжения (б, д, з), относительные потери напряжений (в, е, и) при ph= 2 МПа

Условные обозначения см. на рис.1

Рис.5. Результаты обработки трехосных испытаний группы 5 (сильвинит): кривые деформирования (а), соответствующие им действующие осевые напряжения (б) и относительные потери напряжений (в) при ph= 6 МПа

Условные обозначения см. на рис.1

Выводы

Точка зрения авторов на основании использования исходных данных базируется на следующих положениях:

  • Трехосные испытания соляных пород по методикам основных стандартов без дополнений и/или отступлений могут приводить к нефизическим величинам в протоколах испытаний. Использование подобных конечных результатов, полученных без учета рассмотренных особенностей соляных пород, могут приводить к существенным рискам при реализации инженерных проектов.
  • Нестандартизированность подобных отступлений и дополнений приводит к увеличению вариаций результатов (при работе с различными лабораториями) вплоть до их полной несопоставимости.
  • При определении механического поведения соляных пород необходимо учитывать формоизменение образцов в процессе деформации. Этого можно достичь путем введения уравнений коррекции. В мировой практике для соляных пород наиболее часто применяется уравнение, использующее подход неизменности объема образца. Пренебрежение объемными деформациями может давать высокие погрешности, что не позволяет игнорировать их во всех случаях.
  • В уравнения коррекции должны вводиться известные коэффициенты для учета дефектных форм («бочкование» всего образца или его участка) при их реализации.
  • Нехарактерная контракция образцов при испытаниях (группа 2) связана с техногенными дефектами и разуплотнением по сравнению с природным состоянием. Так как соляные породы в некоторой степени позволяют залечивать подобные дефекты, в нормативных документах должны приводиться рекомендации к проведению стадии реконсолидации и критериям ее окончания. Разработка таких рекомендаций требует дополнительных экспериментальных и теоретических исследований.
  • Так как трехосные испытания соляных пород нередко связаны с деформациями уровня 20-30 % [48], применение меры деформаций Генки при протоколировании испытаний несколько упрощает анализ и интерпретацию результатов, их дальнейшее использование при математическом моделировании [49-51]. При сохранении в стандартах исключительно одного подхода с использованием номинальной относительной деформации (1) требуется учитывать эффекты формоизменения при больших деформациях, рассмотренных в формулах (1), (8) и (9). Предлагается рекомендовать протоколирование результатов с мерой деформаций на выбор заказчика – при указании принятой меры в протоколе.
  • Температура соляных массивов в природных условиях и при эксплуатации сооружений способна существенно отличаться от температуры в лаборатории, что может оказать значительное влияние на результаты испытаний, особенно длительных. Температура испытания должна обязательно указываться в протоколах, а также при необходимости в составе задания для лаборатории. Учитывая значимость данного фактора, проведение дополнительных исследований для его количественных оценок представляется актуальным, особенно в контексте повсеместного увеличения глубин освоения подземного пространства.
  • Важной частью результатов испытаний соляных пород являются не только характеристики прочности, но и деформируемости. Это обуславливается современными техническими вызовами, требующими применения весьма продвинутых математических моделей. Кроме того, предельная нагрузка не всегда может быть достигнута в физически обоснованном диапазоне деформаций, что не делает результаты испытания менее ценными.
  • Обновленные стандарты на трехосное сжатие должны описывать методы определения не только условно-мгновенных характеристик прочности и деформируемости, а также дополняться методическими требованиями к длительным испытаниям.
  • В настоящее время активно развивается нормирование в области методов испытаний [52, 53]. Тем не менее действующий межгосударственный стандарт на трехосное сжатие серии «Породы горные» не соответствует современной и уже установившейся инженерной практике. Современный национальный стандарт серии «Грунты», несмотря на существенные дополнения, не отражает некоторые особенности, связанные с соляными или смешанными с ними породами. Ввиду широкой распространенности подобных пород видится необходимым учет указанных положений при доработке стандарта в области трехосного сжатия и утверждения его в статусе межгосударственного.

Заключение

В статье показана критическая важность пересмотра существующих стандартов в части испытаний соляных и солесодержащих пород и геоматериалов, обладающих аналогичными механическими особенностям. Анализ типовых результатов испытаний различных лабораторий выявил значительные недостатки существующих методик трехосных испытаний соляных горных пород. Установлено, что использование традиционных подходов, не учитывающих формоизменение, значительные пластические деформации, изменения объема, фактических температурных условий эксплуатации и возможности применения специфических свойств подобных материалов для залечивания техногенных дефектов образцов может приводить к значительным ошибкам. Представлены экспериментальные данные с переинтерпретацией и сравнением результатов, которые показывают численно высокие величины относительной ошибки и подтверждают необходимость внедрения усовершенствованных методик для обеспечения более точных и надежных данных.

Доступ к данным

Материалы результатов испытаний (исходные данные εa, εr, σ1, σ3 для групп 1-3, а также t, εa, εr, σ1, σ3 для группы 4) для интерпретации и воспроизведения доступны по ссылке: Приложение: 1 (csv)

Литература

  1. Карев В.И., Химуля В.В., Шевцов Н.И. Экспериментальные исследования процессов деформирования, разрушения и фильтрации в горных породах // Известия Российской академии наук. Механика твердого тела. 2021. № 5. С. 3-26. DOI: 10.31857/S0572329921050056
  2. Hunsche U., Albrecht H. Results of true triaxial strength tests on rock salt // Engineering Fracture Mechanics. 1990. Vol. 35. Iss. 4-5. P. 867-877. DOI: 10.1016/0013-7944(90)90171-C
  3. Ильинов М.Д., Петров Д.Н., Карманский Д.А., Селихов А.А. Аспекты физического моделирования процессов структурных изменений образцов горных пород при термобарических условиях больших глубин // Горные науки и технологии. 2023. Т. 8. № 4. С. 290-302. DOI: 10.17073/2500-0632-2023-09-150
  4. Ставрогин А.Н., Тарасов Б.Г. Экспериментальная физика и механика горных пород. СПб: Наука, 2001. 343 с.
  5. Shi-Yuan Li, Urai J.L. Rheology of rock salt for salt tectonics modeling // Petroleum Science. 2016. Vol. 13. Iss. 4. P. 712-724. DOI: 10.1007/s12182-016-0121-6
  6. Константинова С.А., Аптуков В.Н. Некоторые задачи механики деформирования и разрушения соляных пород. Новосибирск: Наука, 2013. 191 с.
  7. Зильбершмидт В.Г., Зильбершмидт В.В., Наймарк О.Б. Разрушение соляных пород. М.: Наука, 1992. 142 с.
  8. Schléder Z., Burliga S., Urai J.L. Dynamic and static recrystallization-related microstructures in halite samples from the Klodawa salt wall (central Poland) as revealed by gamma-irradiation // Neues Jahrbuch für Mineralogie. 2007. Vol. 184. Iss. 1. P. 17-28. DOI: 10.1127/0077-7757/2007/0079
  9. Urai J.L., Spiers C.J. The effect of grain boundary water on deformation mechanisms and rheology of rocksalt during long-term deformation // The Mechanical Behavior of Salt – Understanding of THMC Processes in Salt. CRC Press, 2007. P. 149-158. DOI: 10.1201/9781315106502
  10. Скворцова З.Н. Рекристаллизационная ползучесть как форма адсорбционного пластифицирования // Физикохимия поверхности и защита материалов. 2013. Т. 49. № 5. С. 471-478. DOI: 10.7868/S0044185613050082
  11. van Oosterhout B.G.A., Hangx S.J.T, Spiers C.J. Mechanisms of dilatancy in rock salt at the grain-scale and implications for the dilatancy boundary // The Mechanical Behavior of Salt X. CRC Press, 2022. P. 25-37. DOI: 10.1201/9781003295808-03
  12. Vandeginste V., Yukun Ji, Buysschaert F., Anoyatis G. Mineralogy, microstructures and geomechanics of rock salt for underground gas storage // Deep Underground Science and Engineering. 2023. Vol. 2. Iss. 2. P. 129-147. DOI: 10.1002/dug2.12039
  13. Fan Yang, Jinyang Fan, Zhenyu Yang et al. Plasticity analysis and constitutive model of salt rock under different loading speeds // Journal of Energy Storage. 2023. Vol. 67. № 107583. DOI: 10.1016/j.est.2023.107583
  14. Lu Wang, Jianfeng Liu, Huining Xu, Yangmengdi Xu. Research on Confining Pressure Effect on Mesoscopic Damage of Rock Salt Based on CT Scanning // Proceedings of GeoShanghai 2018 International Conference: Rock Mechanics and Rock Engineering. Springer, 2018. P. 254-262. DOI: 10.1007/978-981-13-0113-1_28
  15. Holländer R., Schröter U.-C., Wilke F.H. Experiences with slim Solution Mining Caverns for ventilation purposes in a potash mine // Kali und Steinsalz. Verband der Kali- und Salzindustrie, 2012. Iss. 1. P. 32-37.
  16. Woods P.J.E. The geology of Boulby Mine // Economic Geology. 1979. Vol. 74. № 2. P. 409-418. DOI: 10.2113/gsecongeo.74.2.409
  17. Барях А.А., Смирнов Э.В., Квиткин С.Ю., Тенисон Л.О. Калийная промышленность России: проблемы рационального и безопасного недропользования // Горная промышленность. 2022. № 1. С. 41-50. DOI: 10.30686/1609-9192-2022-1-41-50
  18. Кравченко О.С., Филимонов Ю.Л. Особенности деформирования каменной соли при повышенных температурах // Горный информационно-аналитический бюллетень. 2019. № 1. С. 69-76. DOI: 10.25018/0236-1493-2019-01-0-69-76
  19. Шкуратник В.Л., Кравченко О.С., Филимонов Ю.Л. Экспериментальное исследование зависимостей акустико-эмиссионных и реологических характеристик каменной соли от напряжений и температуры // Физико-технические проблемы разработки полезных ископаемых. 2019. № 4. С. 20-26. DOI: 10.15372/FTPRPI20190403
  20. Salzer K., Günther R.-M., Minkley W. et al. Joint project III on the comparison of constitutive models for the mechanical behavior of rock salt II. Extensive laboratory test program with clean salt from WIPP // Mechanical Behaviour of Salt VIII. CRC Press, 2015. P. 3-12. DOI: 10.1201/b18393
  21. Sriapai T., Walsri C., Fuenkajorn K. Effect of temperature on compressive and tensile strengths of salt // ScienceAsia. 2012. Vol. 38. P. 166-174. DOI: 10.2306/scienceasia1513-1874.2012.38.166
  22. Günther R.-M., Salzer K., Popp T., Lüdeling C. Steady-State Creep of Rock Salt: Improved Approaches for Lab Determination and Modelling // Rock Mechanics and Rock Engineering. 2015. Vol. 48. Iss. 6. P. 2603-2613. DOI: 10.1007/s00603-015-0839-2
  23. Hansen F., Popp T., Wieczorek K., Stührenberg D. Salt reconsolidation applied to repository seals // Mechanical Behaviour of Salt VIII. CRC Press, 2015. P. 179-189. DOI: 10.1201/b18393
  24. Fuenkajorn K., Phueakphum D. Laboratory assessment of healing of fractures in rock salt // Bulletin of Engineering Geology and the Environment. 2011. Vol. 70. Iss. 4. P. 665-672. DOI: 10.1007/s10064-011-0370-y
  25. Ильинов М.Д., Карташов Ю.М., Карманский А.Т., Козлов В.А. Влияние нарушенности горных пород на их реологические свойства // Записки Горного института. 2010. Т. 185. С. 31-36.
  26. Аптуков В.Н., Волегов С.В. Моделирование процесса формирования остаточных напряжений и поврежденности в образцах соляных пород, полученных из керна // Физико-технические проблемы разработки полезных ископаемых. 2020. № 3. С. 3-11. DOI: 10.15372/FTPRPI20200301
  27. Hunsche U. Uniaxial and Triaxial Creep and Failure Tests on Rock: Experimental Technique and Interpretation // Visco-Plastic Behaviour of Geomaterials. Springer, 1994. P. 1-53. DOI: 10.1007/978-3-7091-2710-0_1
  28. Тавостин М.Н., Кошелев А.Е., Осипов Ю.В. Исследование физико-механических свойств каменной соли с учетом предварительного всестороннего нагружения // Горный информационно-аналитический бюллетень. 2015. № 2. С. 89-96.
  29. Wolters R., Sun-Kurczinski J.Q., Düsterloh U. et al. WEIMOS: Laboratory investigation and numerical simulation of damage reduction in rock salt // The Mechanical Behavior of Salt X. CRC Press, 2022. P. 190-199. DOI: 10.1201/9781003295808-18
  30. Lüdeling C., Günther R.-M., Hampel A. et al. WEIMOS: Creep of rock salt at low deviatoric stresses // The Mechanical Behavior of Salt X. CRC Press, 2022. P. 130-140. DOI: 10.1201/9781003295808-13
  31. Suggested methods for determining the strength of rock materials in triaxial compression: Revised version // International Journal of Rock Mechanics and Mining Sciences & Geomechanics Abstracts. 1983. Vol. 20. Iss. 6. P. 285-290. DOI: 10.1016/0148-9062(83)90598-3
  32. Aydan Ö., Ito T., Özbay U. et al. ISRM Suggested Methods for Determining the Creep Characteristics of Rock // Rock Mechanics and Rock Engineering. 2014. Vol. 47. Iss. 1. P. 275-290. DOI: 10.1007/s00603-013-0520-6
  33. La Rochelle P., Leroueil S., Trak B. et al. Observational Approach to Membrane and Area Corrections in Triaxial Tests // Advanced Triaxial Testing of Soil and Rock. ASTM International, 1988. P. 715-731. DOI: 10.1520/STP29110S
  34. Lade P.V. Triaxial Testing of Soils. Wiley-Blackwell, 2016. 432 p. DOI: 10.1002/9781119106616
  35. Паньков И.Л., Морозов И.А. Деформирование соляных пород при объемном многоступенчатом нагружении // Записки Горного института. 2019. Т. 239. С. 510-519. DOI: 10.31897/PMI.2019.5.510
  36. Асанов В.А., Барях А.А., Жигалкин В.М. и др. Лабораторное исследование деформирования соляных пород // Физическая мезомеханика. 2008. Т. 11. № 1. С. 14-18.
  37. Guan Wang, Wei Xing, Jianfeng Liu, Lingzhi Xie. Comparison of Triaxial Compression Short-Term Strength Tests and Data Processing Methods for Rock Salt // Clean Energy Systems in the Subsurface: Production, Storage and Conversion. Springer, 2013. P. 305-315. DOI: 10.1007/978-3-642-37849-2_25
  38. Renbo Gao, Fei Wu, Jie Chen et al. Accurate characterization of triaxial deformation and strength properties of salt rock based on logarithmic strain // Journal of Energy Storage. 2022. Vol. 51. № 104484. DOI: 10.1016/j.est.2022.104484
  39. Yu Bian, Jianfeng Liu, Guosheng Ding et al. Different Methods to Evaluate Strength from Compression Tests for Rock Salt // Clean Energy Systems in the Subsurface: Production, Storage and Conversion. Springer, 2013. P. 281-291. DOI: 10.1007/978-3-642-37849-2_23
  40. Rouabhi A., Labaune P., Tijani M. et al. Phenomenological behavior of rock salt: On the influence of laboratory conditions on the dilatancy onset // Journal of Rock Mechanics and Geotechnical Engineering. 2019. Vol. 11. Iss. 4. P. 723-738. DOI: 10.1016/j.jrmge.2018.12.011
  41. Карасев М.А., Селихов А.А., Бычин А.К. Лабораторные исследования и анализ математических моделей деформирования раздробленных соляных пород // Известия Уральского государственного горного университета. 2023. Вып. 4 (72). С. 94-105. DOI: 10.21440/2307-2091-2023-4-94-105
  42. Hinze M., Sinan Xiao, Schmidt A., Nowak W. Experimental evaluation and uncertainty quantification for a fractional viscoelastic model of salt concrete // Mechanics of Time-Dependent Materials. 2023. Vol. 27. Iss. 1. P. 139-162. DOI: 10.1007/s11043-021-09534-9
  43. Sturm P., Moye J., Gluth G.J.G. et al. Properties of alkali-activated mortars with salt aggregate for sealing structures in evaporite rock // Open Ceramics. 2021. Vol. 5. № 100041. DOI: 10.1016/j.oceram.2020.100041
  44. Jantschik K., Czaikowski O., Moog H.C., Wieczorek K. Investigating the sealing capacity of a seal system in rock salt (DOPAS project) // Kerntechnik. 2016. Vol. 81. Iss. 5. P. 571-585. DOI: 10.3139/124.110721
  45. Барях А.А., Константинова С.А., Асанов В.А. Деформирование соляных пород. Екатеринбург: УрО РАН, 1996. 204 с.
  46. Хлопцов В.Г., Семёнова М.В., Хлопцов Д.В. Механические свойства каменной соли. Москва; Ижевск: Институт компьютерных исследований, 2022. 104 с.
  47. Карасев М.А., Селихов А.А., Бычин А.К. Лабораторное исследование закладочного материала на основе галитовых отходов // Транспортное, горное и строительное машиностроение: наука и производство. 2023. № 23. С. 180-188. DOI: 10.26160/2658-3305-2023-23-180-188
  48. Осипов Ю.В., Вознесенский А.С. Определение реологических свойств бишофита по данным трехосных испытаний // Физико-технические проблемы разработки полезных ископаемых. 2022. № 6. С. 15-26. DOI: 10.15372/FTPRPI20220602
  49. Козловский Е.Я., Журавков М.А. Исследование напряженно-деформированного состояния различных типов крепи шахтного ствола в массиве карналлитовых пород // Механика машин, механизмов и материалов. 2023. № 2 (63). С. 53-60. DOI: 10.46864/1995-0470-2023-2-63-53-60
  50. Аптуков В.Н., Волегов С.В. Моделирование процесса деформирования и разрушения образцов соляных пород при сжатии // Вестник Пермского университета. Математика. Механика. Информатика. 2017. Вып. 3 (38). С. 49-54. DOI: 10.17072/1993-0550-2017-3-49-54
  51. Karasev M.A., Protosenya A.G., Katerov A.M., Petrushin V.V. Analysis of shaft lining stress state in anhydrite-rock salt transition zone // Rudarsko-geološko-naftni zbornik. 2022. Vol. 37. № 1. P. 151-162. DOI: 10.17794/rgn.2022.1.13
  52. Труфанов А.Н., Ростовцев А.В. Актуальные изменения в области стандартов по определению механических характеристик грунтов // Международный строительный конгресс. Наука. Инновации. Цели. Строительство: Сборник тезисов докладов. М.: НИЦ «Строительство», 2023. С. 118-119. DOI: 10.37538/2949-219Х-2023-118-119
  53. Ильинов М.Д., Коршунов В.А., Поспехов Г.Б., Шоков А.Н. Комплексные экспериментальные исследования механических свойств горных пород: проблемы и пути их решения // Горный журнал. 2023. № 5. С. 11-18. DOI: 10.17580/gzh.2023.05.02

Похожие статьи

Ассоциация грейзенов (цвиттеров) и турмалинитов в гранитах плутона Северный (Чукотка, Россия)
2025 В. И. Алексеев, Ю. Б. Марин, И. А. Бакшеев
Полигенность алмазов из отложений карнийского яруса Булкурской антиклинали северо-востока Сибирской платформы
2025 А. М. Логвинова, С. С. Угапьева, Е. И. Николенко, А. О. Серебрянников, В. П. Афанасьев
Алмазоносный гранатовый лерцолит из кимберлитовой трубки им. В.Гриба: взаимосвязь субдукции, мантийного метасоматоза и образования алмаза
2025 Е. В. Агашева, Н. В. Губанов, Д. А. Зедгенизов
Результаты исследования петрофизических свойств, механических и прочностных характеристик калькаренитовых пород
2025 Дж. Ф. Андриани
Литолого-геохимическая специфика и особенности генезиса терригенно-карбонатных пород нижнеэвенкийской подсвиты (средний кембрий, запад Сибирской платформы)
2025 С. И. Меренкова, Е. В. Карпова, А. Ю. Пузик, В. А. Литвинский, Ю. В. Шувалова, М. А. Волкова, А. А. Медведков
Условия кристаллизации хлоридов при скважинной эксплуатации предельно насыщенных литиеносных рассолов на юге Сибирской платформы
2025 А. В. Сергеева, А. В. Кирюхин, А. Г. Вахромеев, С. Б. Коротков, М. А. Данилова, Е. В. Карташева, А. А. Кузьмина, М. А. Назарова