Ингибиторы углекислотной коррозии: современное состояние исследований и разработок
- 1 — канд. хим. наук Старший научный сотрудник ПАО «Газпром нефть» ▪ Orcid
- 2 — канд. хим. наук Докторант Российский университет дружбы народов имени Патриса Лумумбы ▪ Orcid
- 3 — Начальник отдела ПАО «Газпром нефть» ▪ Orcid
- 4 — канд. хим. наук Руководитель центра Газпромнефть НТЦ ▪ Orcid
- 5 — канд. хим. наук Подрядчик ООО «ГЦСС «Нефтепромхим» ▪ Orcid
- 6 — д-р техн. наук Директор Институт «ТатНИПИнефть» ПАО «Татнефть» им. В.Д.Шашина ▪ Orcid
- 7 — д-р хим. наук Член-корреспондент РАН Институт нефтехимического синтеза им. А.В.Топчиева РАН ▪ Orcid
Аннотация
Среди методов борьбы с коррозией в нефтегазодобывающей промышленности ведущее место принадлежит ингибиторной защите, поскольку отсутствует необходимость технологических и технических изменений существующего оборудования. Сочетание высокой вариативности состава ингибитора с изменением условий применения и низких капитальных вложений делает его незаменимым реагентом на нефтяных и газовых месторождениях. Описаны основные классы соединений, которые используются в качестве активных основ ингибиторов углекислотной коррозии для защиты нефтегазового оборудования. Рассмотрены классические органические активные основы, содержащие гетероатомы (кислород, сера, азот). Особое внимание уделено алкилимидазолинам и другим азотсодержащим соединениям как наиболее часто используемым в качестве активных основ ингибиторов углекислотной коррозии в России и за рубежом. Продемонстрированы широкие возможности достижения требуемых свойств ингибиторов коррозии путем варьирования заместителей. В настоящее время помимо традиционных требований к ингибиторам коррозии не менее важной является их безопасность для окружающей среды. Приведены сведения о перспективных исследованиях и разработках, направленных на улучшение экологических характеристик используемых реагентов. Рассмотрены растительные экстракты, синтетические и биологические полимеры, вовлекаемые в состав традиционных ингибиторов коррозии или используемые в качестве новых самостоятельных составов. Показано, что эффективность ингибиторов коррозии значительно зависит от рН среды, температуры, парциального давления СО2, скорости потока и других факторов.
Отсутствует
Введение
Оборудование нефтегазовой промышленности подвержено агрессивному влиянию внешней среды. Одним из основных факторов аварий (до 80 %) и выхода нефтепромыслового оборудования из строя является коррозия наружных и внутренних стенок труб. При контакте поверхности металла со средой (смесью жидких и газообразных углеводородов) процесс коррозии значительно ускоряется при наличии сероводорода, углекислого газа, воды, кислорода и механических примесей [1].
Факторы, оказывающие максимальное влияние на механизм и интенсивность коррозии промысловых нефтегазопроводов [2, 3]: высокая обводненность транспортируемой продукции; высокое содержание коррозионно-агрессивных газов (углекислого газа и/или сероводорода); высокая температура транспортируемой продукции; большое содержание механических примесей.
Ранее углекислый газ не рассматривался как активный коррозионный агент, значительную угрозу представляли сероводород и кислород. Однако ситуация кардинально поменялась с разработкой глубоко залегающих пластов. Одновременное присутствие в водной фазе бикарбонат- и карбонат-ионов обуславливает протекание углекислотной коррозии, которая приводит к выходу из строя нефтегазопромыслового оборудования [4]. В настоящее время большинство месторождений РФ находятся на поздней стадии разработки, для которой характерно применение интенсивных методов воздействия на нефтяные пласты для повышения нефтеотдачи, что приводит к серьезным коррозионным проблемам [2]. При 25-35 %-ном содержании водной фазы в смеси «нефть – вода» поверхность стального оборудования смачивается водой, что вызывает коррозию, стимулируемую растворенным в смеси СО2 [5]. Скорость коррозионного разрушения составляет 3-4 мм/год, а в отдельных случаях достигает 6-8 мм/год. При прогнозировании скорости коррозии следует исходить из того, что содержание диоксида углерода в водной фазе тесно связано с парциальным давлением диоксида углерода (pCO2 > 0,2 MПa – серьезная коррозия, pCO2 = 0,02-0,2 MПa – умеренная, pCO2 < 0,02 MПa – незначительная [6]), а парциальное давление зависит от температуры [7].
Одним из решений экологической проблемы выброса диоксида углерода и декарбонизации промышленной отрасли является использование технологии улавливания, использования и хранения углерода (CCUS). Однако углекислотная коррозия представляет собой серьезную проблему, которая препятствует широкомасштабной разработке и применению этой технологии [8, 9].
В процессе углекислотной коррозии можно выделить три температурные области [10]:
- область низкой температуры (ниже 60 °С) – в основном коррозия равномерна и ее скорость увеличивается с повышением температуры; на металлической поверхности образуется небольшое количество FeCO3;
- область средней температуры (около 100 °С) – образующаяся пленка карбоната железа неравномерна по толщине; интенсифицируется локальная коррозия, скорость которой достигает максимума;
- область высокой температуры (выше 150 °С) – скорость коррозии снижается (на порядок или более) из-за образования плотного покрытия из оксида железа (Fe3O4) с высокой адгезией.
Углекислый газ может вызывать как равномерную, так и более опасную локальную (мохообразную и мезоподобную точечную) коррозию стали. В процессе локальной коррозии на поверхности металла образуется неравномерная и/или нестойкая защитная пленка из продуктов коррозии (FeCO3, Fe3O4 и т.д.).
Способы борьбы с коррозией в нефтедобывающей промышленности:
- технологические методы защиты, т.е. создание и поддержание коррозионно-безопасных условий эксплуатации оборудования;
- использование коррозионно-стойких/неметаллических материалов [11];
- применение ингибиторов коррозии (ИК);
- применение защитных покрытий.
Среди перечисленных методов борьбы с коррозией в нефтегазодобывающей промышленности в РФ и за рубежом ведущее место в настоящее время занимает ингибиторная защита, как не требующая значительных капитальных вложений и серьезной перестройки технологии добычи, сбора и подготовки нефти [10]. ИК быстро действуют, их применение экономически эффективно, поэтому ни одно месторождение, содержащее агрессивные компоненты, не эксплуатируется без применения ингибиторной защиты от коррозии. Достоинством этого метода является простота и экономичность, возможность использования как на новых, так и на эксплуатируемых скважинах, что позволяет в процессе освоения месторождений легко заменять существующий ингибитор на более эффективный, не нарушая при этом технологию добычи на промыслах. В РФ при разработке нефтяных и газовых месторождений применяют ингибиторы коррозии по предписанию Госгортехнадзора [2].
Подача ингибиторов в трубопроводные системы осуществляется с периодическим или постоянным дозированием. При периодическом дозировании организуют контакт поверхности металла трубопровода с товарной формой ингибитора или ее концентрированным раствором. При этом ингибиторы должны обладать эффектом последействия, т.е. образующийся при их применении защитный слой должен сохранять свою целостность в течение долгого времени. При постоянном дозировании формирование и поддержание защитного слоя осуществляется за счет диффузии активного компонента ингибитора из объема жидкости на поверхность металла стенки трубопровода. Эффективность защиты трубопроводов с помощью ингибиторов коррозии зависит от химического состава, адсорбционной способности и количества вводимого ингибитора [12-14].
Ингибиторы углекислотной коррозии
Ингибиторы коррозии – химические соединения, уменьшающие скорость коррозии без значительного изменения концентрации любого коррозионного реагента. Способность ингибиторов замедлять коррозию связана в основном со следующими свойствами: адсорбция ИК на поверхности металла; изменение скорости анодных/катодных реакций; замедление скорости диффузии ИК на поверхность металла; уменьшение электрического сопротивления поверхности металла.
Ингибитор коррозии действует на границе раздела фаз металл/раствор, образуя пленку различных типов – пассивирующую, осаждающую и адсорбционную.
Наиболее широкое применение пассиваторов наблюдается для борьбы с коррозией в нейтральных или близких к ним по уровню рН средах. Химический состав и строение ингибиторов во многом определяет механизм их действия. Среди ингибиторов можно найти неорганические вещества с окислительными свойствами (нитриты, молибдаты, вольфраматы, хроматы), которые способны создавать защитные оксидные пленки на поверхности корродирующего металла. В настоящее время от применения ингибиторов такого типа отказались из-за токсичности, они используются только в авиационной промышленности и строительстве.
Ингибиторы осаждающего пленочного типа представляют собой химические вещества, которые образуют нерастворимые защитные пленки в результате реакции с растворимыми веществами в окружающей среде (например, фосфонаты и полифосфаты, образующие защитные пленки с ионами кальция в растворе) или с защищаемой средой – ионы металлов (например, солевая пленка меди-бензотриазола (БТА) [1].
Ингибиторами, образующими адсорбционные защитные пленки, являются в основном органические вещества (ПАВ), которые часто имеют молекулярную структуру поверхностно-активного вещества с гидрофильной группой, способной связываться с поверхностью металла, и гидрофобной частью молекулы, выступающей в сторону объем раствора. Молекулы адсорбированного ингибитора ограничивают диффузию кислорода и доступ воды к поверхности металла, что снижает скорость коррозии.
Современные ингибиторы коррозии адсорбционного типа, как правило, представляют собой раствор одного или нескольких органических соединений, обладающих высокими ингибирующими свойствами (активная основа) в углеводородном или водно-спиртовом растворителях.
К ингибиторам коррозии, используемым в нефтяной промышленности, предъявляется ряд требований:
- проявление защитного действия в широком диапазоне температур и давлений (от нормальных до высоких), а также в условиях высоких скоростей потока и наличия в нем абразивных частиц;
- низкая температура застывания (не менее –50 °С);
- хорошая растворимость и/или диспергируемость в рабочих средах (водорастворимые, углеводородорастворимые, углеводородорастворимые-вододиспергируемые, нерастворимые ни в воде, ни в углеводородах);
- отсутствие влияния на стабильность водонефтяных эмульсий;
- пожаровзрывобезопасность, соответствие требованиям санитарных норм;
- совместимость с другими реагентами, применяемыми в технологическом процессе, и отсутствие влияния на качество и процессы последующей нефтепереработки и др.
Также при разработке эффективных ингибиторов коррозии стоит учитывать экологическое воздействие, возможность использования при малых концентрациях (100-200 мг/л), химическую устойчивость в коррозионных средах.
Все товарные ингибиторы коррозии имеют оптимальную область применения в зависимости от сегмента промышленности, состава коррозионно-активных сред и технологических особенностей защищаемых объектов [15]. В табл.1 представлен наиболее распространенный состав применяемых в различных областях ингибиторов коррозии.
Таблица 1
Состав ингибиторов, применяемых в различных сегментах нефтегазовой промышленности
|
Сегмент |
Ингибиторы |
Состав |
Среда |
|
Нефтепромысел |
Ингибиторы коррозии |
Линейные амины и имидазолины в различных растворителях (керосин, метанол, неонол и т.д.) |
Нефтяная эмульсия |
|
Химико-технологическая защита оборудования |
Ингибиторы коррозии |
Оксиэтилированные жирные амины и имидазолины |
Нефтепродукты с различными примесями |
|
Водоподготовка |
Ингибиторы комплексного действия |
Фосфорорганические вещества |
Вода |
|
Водоподготовка оборотных вод промышленных предприятий |
Ингибиторы комплексного действия |
Фосфорсодержащие компоненты, полифосфаты натрия. Сульфаты цинка и др. |
Вода с различными примесями |
Рис.1. Использование ингибиторов коррозии в различных сегментах нефтегазовой промышленности
Основной объем реагентов используется в процессах добычи (для защиты напорных, нефтесборных, внутрипромысловых трубопроводов и водоводов) и транспорта сырой нефти (рис.1). Поэтому наиболее актуальной является разработка новых и усовершенствование используемых в настоящее время ингибиторов коррозии, в том числе углекислотной, применяемых в нефтедобывающей отрасли.
Органические ингибиторы коррозии
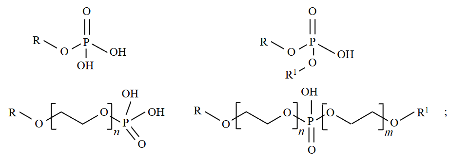
Органические соединения, содержащие гетероатомы (O, P, N, S), активно изучаются в качестве ингибиторов коррозии [16, 17]. Структуры основных фосфор-, кислород- и серосодержащих соединений, используемых в промышленности в качестве активных основ ингибиторов углекислотной коррозии:
- эфиры фосфорной кислоты [16]

- бис(2-этилгексил)фосфат [18]

- карбоновые кислоты [19]

- аминокислоты и их производные [20]

- роданин и производные [21]

где

- ω-меркаптоспирты [22]

Фосфорсодержащие соединения
Механизм адсорбции молекул ингибитора на поверхности металла можно рассматривать как донорно-акцепторный: гетероатомы, содержащие π-электроны, выступают в роли доноров, а свободные d-орбитали металлических поверхностей – в роли акцептора [16]. Такое взаимодействие приводит к образованию защитного слоя на поверхности металла. Способность атомов фосфора образовывать адсорбционные связи за счет π-электронов и вакантных d-орбиталей переходных металлов определяет хемосорбционные и ингибирующие свойства фосфорсодержащих соединений, которые используются в качестве ингибиторов коррозии индивидуально или в смеси.
Моно- и диэфиры фосфорной кислоты образуют с ионами Fe2+ и Ca2+ малорастворимые соли, которые формируют на металлической поверхности защитный слой, тем самым снижая скорость коррозии.
Высокую степень защиты от локальной коррозии проявили ингибиторы коррозии на основе органических соединений фосфора, например, N-гетероциклическая алкилфосфоновая кислота HtC(R1R2)P(O)(OH)2, где Ht – гетероциклический фрагмент с атомом азота в кольце – пирролидин или морфолин; R1, R2 – атомы водорода (алкильные радикалы СН3 либо СН3 и C2H5) [23]. Наличие в молекуле кислотного остатка Р(O)(ОН)2 обеспечивает формирование наноразмерного самоорганизующегося слоя на поверхности металла при концентрации ингибитора в водном растворе от 30 до 60 мг/л.
В работе [18] сообщается о возможности использования бис(2-этилгексил)фосфата для ингибирования углекислотной коррозии. Показано, что на металлической поверхности происходит образование связей P–O–Fe и P–Fe, благодаря чему ингибитор коррозии проявляет высокую эффективность – 93 % при концентрации 500 ppm.
Кислородсодержащие соединения
Карбоновые кислоты проявляют высокую защитную способность (выше 90 %) в условиях углекислотной коррозии [19], при этом эффективность ингибирования в первую очередь связана с адсорбцией карбонильных групп –C=O на поверхности металла и значительно повышается с увеличением их количества. Трикарбоновые кислоты проявляют максимальную эффективность даже при низких концентрациях ингибитора. Наличие и количество гидроскильных групп в структуре молекулы ингибитора оказывает значительное влияние на его эффективность – янтарная и малеиновые кислоты, не имеющие в своем составе гидроксильных групп, продемонстрировали лучшую эффективность ингибирования, чем яблочная и винные кислоты.
Аминокислоты, в частности глутаминовая, являются эффективными ингибиторами коррозии, однако необходимо тщательно подбирать концентрацию в зависимости от условий среды, поскольку можно достичь обратного эффекта [20]. Аминокислоты являются экологически безопасными соединениями, полностью растворимыми в водных средах, нетоксичными и дешевыми, поэтому все больше исследований направлены на синтез аминокислот и их более сложных производных для повышения эффективности ингибиторов коррозии [24].
В работе [25] была изучена реакция этерификации природных нефтяных кислот с аллиловым спиртом в присутствии ионной жидкости – N-метилпирролидон гидросульфата. На основе полученного аллилового спирта нефтяной кислоты синтезированы нитропроизводные, получены их соли и комплексы и исследовано влияние растворов этих соединений на кинетику коррозионного процесса. Установлено, что природа солей и комплексов влияет на эффективность ингибиторов СО2-коррозии и изменяется в ряду: калиевая соль > моноэтаноламинный комплекс > диэтаноламинный комплекс. Наибольшую антикоррозионную эффективность при концентрации 300 ppm проявили калиевая соль и моноэтаноламинный комплекс, полученные на основе нитропродукта природных нефтяных кислот, которая составила 98,4 и 98,9 % соответственно.
Серосодержащие соединения
Авторы источника [21] предлагают использовать в качестве ингибитора коррозии роданин и его 3- или 5-производные общей формулы I или II. Установлено, что ингибиторы проявляют высокие защитные свойства (до 99 %) при углекислотной коррозии железа в очень низких концентрациях (0,1-2,5 мг/л).
Декантиол может быть эффективным ингибитором локальной коррозии в карбонатных средах за счет формирования адсорбционного монослоя [26] и уменьшения процессов адсорбции/десорбции промежуточных соединений на поверхности металла, возникающих в результате замедления катодных и анодных реакций. Установлено, что введение 10-400 ppm декантиола позволяет уменьшить локальную коррозию углеродистой стали. Исследования металлической поверхности физико-химическими методами позволило установить, что антикоррозийная защита обеспечивается за счет физической адсорбции ингибитора на поверхности металла, а не хемосорбцией, поскольку связей Fe–S обнаружено не было.
Взаимосвязь структуры ряда меркаптоспиртов и их антикоррозионной эффективности в качестве ингибиторов коррозии была изучена в [22]. С использованием молекулярно-динамического моделирования установлено, что высокая эффективность меркаптоспиртов обусловлена их способностью адсорбироваться на поверхности Fe (110) как –SH-, так и –OH-группами. С удлинением углеродной цепи антикоррозионные свойства улучшаются и оптимальной длиной цепи является С11.
При введении в меркаптоспирты прямых, разветвленных, циклических или гетероциклических алкилен, арилен, алкиларилен, арилалкилен или углеводородных фрагментов, содержащих от 1 до 30 атомов углерода углеродсодержащих радикалов с общей формулой (HS)n–R–(OH)m (n, m = 1-3), антикоррозионная эффективность увеличивается [27]. Наилучшие показатели снижения скорости как равномерной, так и локальной коррозии достигнуты в присутствии 2-меркаптоэтанола, 2-меркаптопропанола, 1-меркапто-2-пропанола и 2-меркаптобутанола.
Азотсодержащие соединения
Из всех органических соединений, содержащих гетероатомы, наиболее широкое распространение получили ингибиторы на основе азотсодержащих соединений [17, 28].
Структуры основных азотсодержащих соединений, используемых в качестве активных основ ингибиторов углекислотной коррозии:
- имидазолины

- первичные амины R–NH2;
- диамины

- амидоамины

- димеризованные амидоамины

- четвертичные аммониевые основания (ЧАС)

- оксиэтилированные первичные амины

- полиэтоксиалкилдиамины

- алкилпиридины

В качестве активной основы ингибиторов коррозии используются амины, амиды, имидазолины и их производные. Анализ ингибиторов коррозии, применяемых на территории РФ и производимых отечественными компаниями, показывает, что в качестве активной основы преимущественно используются сложные смеси азотсодержащих соединений. Эффективность активных основ ингибиторов углекислотной коррозии отечественных производителей: смесь азотсодержащих ПАВ – 90 %; продукт реакции таллового масла с тетраэтиленпентамином – 90 %; смесь алкилимидазолинов – 91 %; амидо-имидозолин жирных кислот – 90 %; продукт конденсации жирных кислот талловых масел аминоэтил-этаноамином – 91 %; смесь алкилимидазолинов жирных кислот С8-С12 – 90 %; алкилдиметилбензиламмоний хлорид – 92 %.
Амины и ЧАС
В качестве ингибиторов коррозии применяются первичные, вторичные, третичные амины и производные третичных, содержащие положительно заряженный атом азота, ковалентно связанный с четырьмя органическими радикалами, и ионно – с анионом. В качестве радикалов обычно используются остатки жирных кислот, алкил (С8-С30), фенил, окси- и полиоксиалкил.
ЧАС являются ПАВ катионного типа. Это означает, что в водных растворах ЧАС диссоциируют на положительно заряженный радикал и анион кислоты. ЧАС давно и широко применяются в нефте- и газодобывающей промышленности. Их используют как индивидуальные активные основы, так и в смеси с другими классами соединений. Примером ИК на основе ЧАС может служить диметилдодецилбензиламмоний хлорид. N-алкильные четвертичные аммониевые соединения с различными анионами имеют структуру амфифильных катионных ПАВ и поэтому являются потенциальными ингибиторами коррозии металлов.
В работе [29] был синтезирован ряд солей четвертичного аммония на основе пирролидина, содержащий гидрофобные алкильные фрагменты C12-C16 и гидрофильные кислородсодержащие заместители (пропаргиловый, додециловый и их сочетание). Высокие ингибирующие свойства исследованных аммониевых соединений обусловлены прежде всего наличием нескольких адсорбционных центров. Гидрофильные фрагменты хемосорбируются на поверхности металла с образованием защитной пленки (покрытия), а гидрофобные заместители вытесняют слой адсорбированной воды, образуя защитный слой на поверхности металла. С увеличением длины алкильной цепи эффективность ингибирования повышается. Алифатические углеводородные радикалы, содержащиеся в аммониевых катионах, а также в анионах органических кислот обеспечивают адсорбционное взаимодействие с поверхностью металла. Кроме того, известно, что одновременное наличие в водных растворах смеси ингибиторов, проявляющих свойства как катионного (содержащего аммонийный катион), так и анионного (содержащего углеводородный анион) ПАВ, может обеспечить особые свойства, позволяющие значительно повысить эффективность антикоррозионного действия.
Рис.2. Структура О,О-диэфиров дитиофосфорных кислот
R – изо-С9Н19С6Н4, изо-С9Н19С6Н4(ОСН2СН2)6, изо-С4Н9, изо-С8Н17; R1 – Н, С2Н5, С12Н25, СН2СН2ОН; R2 – Н, СН3, С2Н5, С12Н25, СН2СН2ОН
Рис.3. Структура алкилимидазолина
R – гидрофобный, R1 – гидрофильный
Длина алкильного заместителя диметилбензиламмония влияет на эффективность ингибитора коррозии на его основе [30]. Молекулярная структура модельных соединений включает одну и ту же полярную группу, диметилбензиламмоний и четыре различных гидрофобных фрагмента с различной длиной алкильных хвостов (бутил (–C4H9), октил (–C8H17), додецил (–C12H25) и гексадецил (–C16H33). Установлено, что чем больше длина алкильного фрагмента, обладающего хорошей адгезией с металлической поверхностью, тем выше эффективность снижения коррозии для оцениваемого гомологичного ряда. Основная роль головной группы модельных соединений четвертичного аммония заключается в образовании связей молекулы ингибитора с поверхностью металла, в то время как гидрофобность алкильного хвоста играет определяющую роль в процессе ингибирования, вытесняя молекулы воды с поверхности.
Аммониевые соли О, О-диалкилдитиофосфорных кислот (рис.2) являются эффективными ингибиторами углекислотной коррозии, в присутствии которых достигается защитный эффект до 99 % [31]. В случае углекислотной коррозии ингибирующая активность не зависит от природы амина и длины алкильного заместителя в эфирной группе. Важной особенностью является то, что с ростом температуры ингибирующий эффект данных соединений усиливается.
Имидазолины
Имидазолины и их производные (рис.3) широко используются в качестве органических ингибиторов коррозии в нефтяной и газовой промышленности по всему миру для эффективного подавления коррозии CO2.
Имидазолин может быть легко синтезирован из природных жирных кислот и этилендиаминов, а также из альдегидов и диаминов [20]. Использование натуральных жирных кислот делают имидазолины экологически чистыми. Имидазолины также могут быть получены на основе растительного сырья. Так, в [32] производное гидроксиэтил-имидазолина было синтезировано на основе кофейного масла и выявило высокую эффективность в снижении скорости углекислотной коррозии – 99,9 % при концентрации 10 ppm. В работе [33] новое ПАВ имидазолинового типа N-(3-(2-жирный-4,5-дигидро-1Н-имидазол-1-ил)пропил) – жирный амид – было получено из жирных кислот (С16-С18), содержащихся в семенах манго, и продемонстрировал высокую эффективность в условиях коррозии CO2. Ранее было установлено, что адсорбция олеинзамещенного имидазолина на стальных поверхностях создает полностью гидрофобную поверхность, образуя водонепроницаемый барьер между агрессивной водной фазой и стальной поверхностью, что обеспечивает эффективную защиту от коррозии. Для повышения эффективности ингибиторов коррозии авторами [34] был синтезирован ряд производных имидазолина из олеиновой кислоты и различных аминов (этилендиамин, диэтилентриамин, триэтилентетрамин, тетраэтиленпентамин, гидроксиэтилэтилендиамин и полиэтиленполиамин) и показано, что эффективность ИК на их основе составляет 97-98 %. Эффективность ингибирования имидазолинов, полученных конденсацией жирной кислоты соевого масла и различных аминов (ДЭТА, ТЭТА, ТЭПА), составила 50-90 % [35]. Производные имидазолина, полученные из полуочищенного масла рисовых отрубей, проявляют высокие ингибирующие свойства – до 99,69 % для углеродистой стали [36].
Таблица 2
Структуры основных имидазолиновых соединений, используемых в качестве активных основ ингибиторов углекислотной коррозии
|
Соединение |
Структура |
Заместители |
Ссылка |
|
Бис-имидазолин |
![]() |
R = С17Н33 |
[37] |
|
Алкилимидазолин |
![]() |
R = C17H33R1 = HC2H4NH2C3H6NH2C2H4NHС2H4NH2(C2H4NH)2С2H4NH2(C2H4NH)xС2H4NH2 (x ≥ 3)C2H4OH |
[34], [38] |
|
R = C2H5, C18H37R1 = C2H4OH |
[38] |
||
|
R = C17H33
|
[39] |
||
|
R = C17H33
|
[40] |
Наличие нескольких атомов азота в структуре соединений повышает их антикоррозийную способность. Авторы [37] разработали способ получения ингибитора коррозии на основе окиси этилена и бис-имидазолина, полученного взаимодействием тетрапропиленпентамина и олеиновой кислоты, который продемонстрировал высокую эффективность снижения коррозии в карбонатной среде – 97-98 % при концентрации 30-50 мг/г.
Ряд исследований направлены на изучение адсорбционных и антикоррозийных свойств алкилимидазолинов в зависимости от природы заместителей R и R1 (табл.2). Заместители проявляют различные свойства и выполняют различные функции. Гидрофильная часть обеспечивает ориентацию и образование связи ингибитора коррозии с металлической поверхностью, тогда как гидрофобная часть дает образование защитного адсорбционного барьера между поверхностью металла и коррозионной средой. До сих пор ведутся споры, какой заместитель оказывает большее влияние на эффективность ингибиторов коррозии. Например, в работе [38] был синтезирован ряд алкилимидазолинов с варьированием природы как гидрофильных, так и гидрофобных заместителей, наиболее показательные примеры приведены в табл.2.
Установлено, что при одинаковом R (C17H33) замена водорода на аминоэтилен (C2H4NH2) в положении R1 значительно увеличивает эффективность ИК – с 77 до 92 %. Увеличение длины цепи аминового заместителя не так сильно сказывается на эффективности, а в некоторых случаях (C3H6NH2) и снижает ее. Введение гидроксиэтильной группы в кольцо имидазолина ослабляет ингибирующую способность имидазолина из-за повышения его гидрофильности, что приводит к увеличению растворимости в воде с уменьшением изолирующей способности ингибиторной пленки. Тогда как при одинаковом R1 (C2H4OH) замена алкильной цепи С17 на С2 резко снижает эффективность ИК с 90 до 13 %, что подтверждает важную роль длины гидрофобной части. Разветвление цепи незначительно изменяет эффективность ингибитора.
Авторы [34] синтезировали ряд имидазолинов с использованием олеиновой кислоты и различных азот- и кислородсодержащих групп в качестве заместителей (табл.2) и показали, что введение гидроксиэтильной группы увеличивает гидрофильность имидазолина, в то время как аминоэтилен повышает гидрофобность. Эффективность ингибитора коррозии напрямую зависит от сочетания его гидрофобных и гидрофильных свойств. Другим важным фактором, влияющим на свойства ингибиторов коррозии, являются условия эксплуатации, в частности скорость потока. Так, при малых скоростях (0,3-0,6 м/с) наиболее высокие показатели демонстрировали алкилимидазолины с боковыми заместителями –C2H4NH2 и –C2H4NHС2H4NH2, тогда как при более высокой скорости (5,5 м/с) наибольшей эффективностью обладал алкилимидазолин без бокового заместителя R1.
В работе [41] был выявлен синергетический эффект – при использовании олеинового имидазолина и меркаптоэтанола в соотношении 3:1 эффективность достигала 96,56 %.
В ранних работах было показано, что олеинзамещенный имидазолин является эффективной основой для ингибиторов коррозии, а для улучшения антикоррозионных свойств авторы [39] ввели в состав олеинзамещенного имидазолина сульфгидрильный заместитель (табл.2), что привело к повышению эффективности ингибирования до 95,58 %. Такое различие связано с наличием дополнительного активного адсорбционного центра.
В работе [42] предложен ингибитор углекислотной коррозии на основе имидазолина, полученного из полиамина (триэтанолтетрамина, полиэтиленполиамина) с карбоновой кислотой (олеиновой, стеариновой, уксусной). Важной особенностью данного ингибитора является добавление к полученному имидазолину медьсодержащих углеродных наноструктур, что позволяет снизить рабочую концентрацию ингибитора коррозии с 40 до 15 мг/л без потери эффективности.
При изучении эффективности имидазолинсодержащего ингибитора равномерной и локальной коррозии в среде CO2 [43] определены два основных фактора, влияющих на эффективность ингибирования, – адсорбция ингибитора/образование пленки и присутствие продуктов коррозии. Присутствие продуктов коррозии оказывало значительное влияние как на адсорбцию ингибитора, так и на глубину коррозионной ямы. Наиболее ярко данный эффект проявлялся при формировании слоя, состоящего преимущественно из FeCO3, когда ингибитор коррозии обеспечивал только ~25 % общей защиты.
Имидазолин тиоуреидоолеиновой кислоты широко используется в нефтегазовой промышленности в качестве основы эффективного ингибитора углекислотной коррозии углеродистой стали, однако в связи с увеличением глубины нефтяных месторождений требуется улучшение его антикоррозионных характеристик. Одним из способов усовершенствования является модификация имидазолина тиоуреидоолеиновой кислоты. Например, в [40] путем реакции с формальдегидом и пропаргиловым спиртом с был получен модифицированный имидазолин тиоуреидоолеиновой кислоты (табл.2), который проявил улучшенные антикоррозийные свойства.
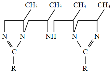
Установлено, что благодаря дополнительному центру адсорбции и большей гидрофобности модифицированный имидазолин формирует более стабильную и эффективную адсорбционную пленку, повышая эффективность ингибитора коррозии на его основе. В работе [44] были синтезированы разветвленные производные тетраимидазолина (рис.4), которые содержат четыре центра адсорбции.
Рис.4. Структура разветвленного производного тетраимидазолина
Установлено, что эффективность ингибитора коррозии на основе синтезированного соединения увеличивается с повышение концентрации и температуры и достигает 98,29 %. Данные сканирующей электронной микроскопии подтверждают образование плотных дендримероподобных защитных пленок, обеспечивающих отсутствие контакта между агрессивной средой и поверхностью металла.
Производные пиридинового основания Шиффа, а именно 3-пиридинкарбоксальдегид-4-фенилтиосемикарбазид (3-ПКФК) и 4-пиридинкарбоксальдегид-4-фенилтиосемикарбазид (4-ПКФК) (рис.5) проявили эффективность в качестве ингибиторов углекислотной коррозии [45]. При одинаковой концентрации эффективность ингибирования 3-ПКФК выше, чем у 4-ПКФК, при этом резко возрастает с увеличением концентрации и остается неизменной при различных температурах. По результатам молекулярно-динамического моделирования как протонированные, так и непротонированные 3-ПКФК и 4-ПКФК адсорбируются на Fe (110) почти параллельно поверхности, образуя адсорбционный слой.
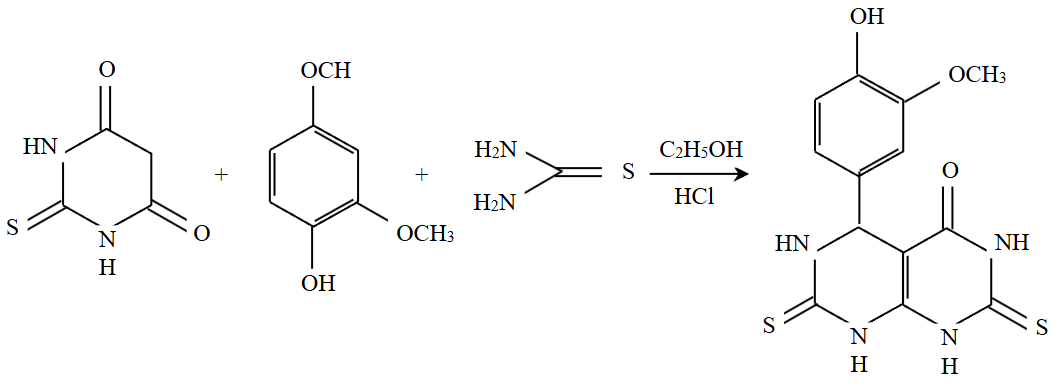
Соединения на основе пиримидина могут проявлять высокую антикоррозионную активность. Так, в [46] был синтезирован 5-(4-гидрокси-3-метоксифенил)-2,7-дитиоксо-2,3,5,6,7,8-гексагидропиримидо[4,5-d]пиримидин-4(1Н)-он (рис.6) и использован в качестве ингибитора углекислотной коррозии.
Рис.5. Структура 3- и 4-пиридинкарбоксальдегид-4-фенилтиосемикарбазидов
Рис.6. Схема синтеза 5-(4-гидрокси-3-метоксифенил)-2,7-дитиоксо-2,3,5,6,7,8-гексагидропиримидо[4,5-d]пиримидин-4(1Н)-она
Установлено, что высокая эффективность (до 90 % при концентрации 20 ppm) обусловлена в основном двумя факторами – большим числом адсорбционных центров (N, S и O, а также π-электроны в ароматическом кольце) и селективностью адсорбции на поверхности Fe (110), что значительно снижает скорость локальной коррозии на поверхности стали во время сладкой коррозии. Это согласуется с более ранними исследованиями, показывающими, что инициация локальной коррозии происходит в последовательности кристаллических граней железа (110) > (100) > (111) с учетом того, что распространение равномерной коррозии происходит в следующем порядке кристаллических граней железа: (100) > (110) > (111) [47].
Полимерсодержащие соединения
Полимерные ингибиторы коррозии обладают рядом преимуществ по сравнению с ингибиторами с малыми органическими молекулами – легкое образование многослойных адсорбционных пленок на поверхности металла и большее количество участков молекулы, участвующих в адсорбции и более высокая термостойкость. По данным обзора [48], большинство полимерсодержащих ингибиторов коррозии представляют собой полиамины, модифицированные карбоксилатными и гетероциклическими фрагментами, тиолами, дисульфидами и фосфорсодержащими функциональными группами.
Структура полимеров, используемых в качестве ингибиторов коррозии:
- поли(малеиновая кислота-со-N-[3-(диметиламино)пропил]-метакриламида [49]

- поли(уретан-семикарбазиды), содержащие тиадиазолы,

В работе [50] в качестве основы ингибитора коррозии использовался поли(малеиновая кислота-со-N-[3-(диметиламино)пропил]-метакриламид), синтезированный путем полимеризации в водном растворе. Результаты показали, что полимерный ингибитор коррозии проявил высокую эффективность ингибирования коррозии (90,1 % при дозировке 200 мг/л) и действовал как ингибитор анодного типа, образуя на металлической поверхности адсорбционную полимерную пленку.
Полисемикарбазиды обладают хорошими термическими и механическими характеристиками за счет водородных связей. Синтезировались поли(уретан-семикарбиды), содержащие цепь из 1,3,4-тиадиазолов. Установлено, что ингибиторы коррозии на их основе проявляют высокую эффективность, образуя прочную адсорбированную пленку. Полимер, содержащий ароматические кольца, проявил большую активность, что, вероятно связано с большей жесткостью и стабильностью [51].
В [49] были синтезированы и исследованы в качестве ингибиторов коррозии полиакриламид, поли(2-метоксианилин) и сополимер полиакриламида и поли(2-метоксианилина). Из всех изучаемых полимеров поли(2-метоксианилин) проявил наибольшую антикоррозионную эффективность, которая составила 80 % против 63-74 %. Более высокая способность к адсорбции может быть связана с наличием большего количества донорных групп, что улучшает координацию полимера на металлическую поверхность.
Авторы [52] сравнивали эффективность ингибиторов коррозии на основе полипропиленгликоля и полиметакриловой кислоты в диапазоне концентраций 50-1000 ppm. Было установлено, что полимеры являются ингибиторами смешанного типа, и эффективность полипропиленгликоля выше, при этом антикоррозионная активность повышается с увеличением концентрации ингибитора и уменьшается с повышением температуры.
В последние годы широко изучаются неорганические пористые материалы и полимеры для инкапсуляции активных веществ, т.е. при определенных условиях окружающей среды капсулы разрушаются с высвобождением ингибитора коррозии [53]. Например, в работе [54] полимерный материал сочетали с классическими органическими ингибиторами коррозии (рис.7).
Рис.7. Строение капсульного полимерсодержащего ингибитора коррозии (диффузия активного компонента ингибитора через полимерную мембрану) (а), полимерно-сшитых ПАВ (б)
Полимер может использоваться как оболочка капсулы, покрывающей концентрат ингибитора коррозии (рис.7, а). При контакте со средой происходит медленная равномерная диффузия ингибитора коррозии через органическую полимерную мембрану капсулы. Для обеспечения необходимых плотности, устойчивости к внешним воздействиям и скорости диффузии реагента через мембрану могут использоваться дополнительные компоненты – утяжелитель и модификатор стенок капсул. Полимерно-сшитые ПАВ – это молекулы полимерного ингибитора коррозии, имеющие специфические участки (спейсеры), образующие между собой дополнительную устойчивую связь, усиливающую пленку (рис.7, б).
Данные подходы позволяют с одной стороны уменьшить концентрацию ингибитора коррозии без потери эффективности, а с другой – добиться высокого эффекта последействия за счет создания устойчивой пленки.
«Зеленые» ингибиторы коррозии
Другим классом соединений, активно применяющихся в качестве экологически безопасных ингибиторов коррозии, считаются вещества растительного происхождения, которые являются перспективными за счет биоразложения, доступности и нетоксичности. Использование растительных экстрактов позволяет достигать эффективности ингибирования свыше 80 %, что делает их привлекательными объектами для исследований. Применение растительных экстрактов в качестве ингибитора сырой коррозии широко представлено в литературе [55-57] в качестве альтернативы классическим ингибиторам коррозии. Антикоррозионная активность многих из изучаемых экстрактов может быть связана с присутствием гетероциклических компонентов, таких как алкалоиды, флавоноиды и т.д., которые способствуют образованию адсорбционного слоя. Обзор литературы по «зеленым» ингибиторам коррозии показывает, что основным критерием выбора ингибитора является наличие в составе гетероатомов (N, O, P и S), поскольку гидроксильные, карбоксильные и аминогруппы в основном отвечают за эффективность хелатирования и адсорбции.
Например, в качестве ингибиторов коррозии применялись спиртовые экстракты растений Lyciumshawii, Teucriumoliverianum, Ochradenusbaccatus, Anvilleagarcinii, Cassiaitalica, Artemisiasieberi, Carthamustinctorius и Tripleurospermumauriculatum. Подтверждено, что данные растительные экстракты проявляют высокую эффективность, которая составляет 62-91 %. Также использовался экстракт водяного гиацинта – разновидности водяного сорняка, который часто представляет проблему для гидроэлектростанций, его эффективность повышается с увеличением концентрации, оптимальное значение которой составляет 50 ppm.
Биополимеры, особенно водорастворимые, являются эффективными ингибиторами коррозии в различных водных средах [58]. Благодаря массивным функциональным группам биополимеры способны образовывать комплексы с большой площадью металлической поверхности, обеспечивая высокую степень защиты. Эффективность биополимеров, используемых в качестве ингибиторов коррозии, варьируется в зависимости от их молекулярной массы, ароматичности, а также наличия групп, образующих связи и центры адсорбции.
В качестве перспективных материалов для «зеленых» ингибиторов коррозии для различных сред рассматриваются такие биополимеры, как лигнин [59], инулин [60], целлюлоза [61], крахмал, пектин, хитозан [62], а также их смеси.
Природные полимеры могут выступать в качестве добавки к традиционно используемым азотсодержащим ингибиторам коррозии, что приводит повышению эффективности за счет синергетического эффекта [63].
Природные полисахариды могут быть модифицированы различными группами для получения высокоэффективных ингибиторов коррозии. Например, в [64] были синтезированы и использованы два производных карбоксиметилхитозана, которые проявили максимальную эффективность (87,97 и 93,95 %) при концентрации 100 мг/л.
При рассмотрении растительных экстрактов и биополимеров в качестве ингибиторов коррозии необходимо принимать во внимание моменты, связанные с подготовкой сырья (сушка, обезвоживание), с условиями и реагентами для экстракции, а также с утилизацией растворителей, в качестве которых зачастую используются сильно кислые и щелочные среды. Такие факторы, как соотношение растворителя и твердого вещества, полярность растворителя, время и температура экстракции могут значительно влиять на химический состав и физические свойства образцов и, как следствие, на эффективность ингибиторов коррозии. Кроме того, требуется разработка математических моделей, включающая кинетические и механистические исследования, при прогнозировании ингибирующего действия коррозии из растительных экстрактов для увеличения их эффективности.
Заключение
Современные ингибиторы коррозии адсорбционного типа, как правило, представляют собой раствор одного или нескольких органических соединений, обладающих высокими ингибирующими свойствами (активная основа) в углеводородном или водно-спиртовом растворителях. Все товарные ингибиторы коррозии имеют оптимальную область применения в зависимости от сегмента промышленности, состава коррозионно-активных сред и технологических особенностей защищаемых объектов.
Эффективность действия ингибитора коррозии в основном определяется его адсорбционными свойствами, которые зависят от физических и химических свойств, функциональных групп, ароматичности, стерического эффекта, плотности электронов на донорных атомах. Состав металлической поверхности, микроструктура и температура также влияют на адсорбцию и, следовательно, на эффективность ингибитора.
Органические соединения, содержащие гетероатомы (O, P, N, S), в настоящее время наиболее изучены в качестве ингибиторов коррозии для эффективного подавления коррозии CO2. Наиболее широкое распространение в России и мире получили ингибиторы коррозии, где в качестве активной основы выступают алкилимидазолины и другие азотсодержащие соединения, которые проявляют высокие антикоррозийные свойства в интервале условий. Эффективность товарных ингибиторов от разных производителей варьируется в интервале 90-92 %. Показано, что антикоррозийные свойства могут быть существенно улучшены путем подбора заместителей азотсодержащих соединений с варьированием их природой, длиной цепи, строением и т.д. Данный подход позволяет не только увеличить эффективность защиты до 98-99 %, но и снизить концентрацию ингибитора коррозии до 10 ppm. Также одним из эффективных подходов, позволяющих повысить антикоррозионные свойства применяемых основ, является увеличение количества адсорбционных центров в основном за счет введения гетероатомов и ароматических структур. Ингибиторы коррозии на основе серосодержащих соединений используются реже, но также могут проявлять высокие антикоррозийные свойства, например использование роданина и его производных позволяет достичь эффективности защиты до 99 % в очень низких концентрациях (0,1-2,5 мг/л). Фосфорсодержащие ингибиторы коррозии проявляют сравнимые антикоррозионные свойства при более высоких концентрациях (до 60 мг/г).
Одним из актуальных направлений исследований в области ингибиторов коррозии является применение полимерных материалов, которые обладают преимуществами по сравнению с ингибиторами с малыми органическими молекулами, к которым относятся более легкое образование многослойных адсорбционных пленок на поверхности металла, большее количество участков адсорбции и более высокая термостойкость. Полимерсодержащие компоненты в большинстве представляют собой полиамины, модифицированные карбоксилатными и гетероциклическими фрагментами, тиолами, дисульфидами и фосфорсодержащими функциональными группами и используются в качестве активной основы, проявляя эффективность выше 90 % при дозировке до 200 мг/л. Также полимерные материалы могут применятся в сочетании с классическими органическими соединениями, где выступают в качестве оболочки для более равномерной диффузии ингибитора коррозии, что позволяет повысить эффективность антикоррозийного процесса.
В последние годы для применения в качестве экологически безопасных ингибиторов коррозии активно исследуются вещества растительного происхождения, которые являются перспективными за счет биоразложения, доступности и нетоксичности. Рассматривается возможность применения биополимеров и полисахаридов, таких как лигнин, целлюлоза, крахмал, пектин, хитозан и др., а также их смеси, применение которых позволяет достичь эффективной защиты выше 93 %. Данный класс соединений используется в качестве добавки к традиционно используемым азотсодержащим ингибиторам коррозии, что повышает эффективность за счет синергетического эффекта, и в качестве основного компонента, благодаря массивным функциональным группам, которые, адсорбируясь на большей поверхности металла, обеспечивают высокую степень защиты. Растительные экстракты также проявляют высокую антикоррозионную активность (выше 91 %), что связывается с присутствием в их составе гетероциклических компонентов, таких как алкалоиды, флавоноиды и т.д., которые способствуют образованию прочного адсорбционного слоя.
Для повышения антикоррозионной защиты в нефтедобывающей отрасли предлагается два основных подхода. Первый основан на модификации используемых в настоящее время ингибиторов коррозии на основе азотсодержащих соединений, что имеет преимущества, поскольку данный класс хорошо изучен в широком диапазоне условий и успешно применяется на месторождениях в течение многих лет. При этом «классические» ингибиторы коррозии можно дополнить новыми – полимерными, биологическими и наноразмерными добавками. Другой подход направлен на использование альтернативных ингибиторов коррозии, в том числе на основе растительных экстрактов и полимеров, что требует более направленных исследований и испытаний в реальных условиях, но является привлекательным с точки зрения экологических характеристик применяемых объектов.
Литература
- Ormellese M. Corrosion in Oil and Chemical Industry // Encyclopedia of Interfacial Chemistry: Surface Science and Electrochemistry. Elsevier, 2018. Vol. 6.1: Corrosion and Passivation. P. 145-154. DOI: 10.1016/B978-0-12-409547-2.13434-1
- Корякин А.Ю., Кобычев В.Ф., Колинченко И.В., Юсупов А.Д. Условия протекания углекислотной коррозии на объектах добычи ачимовских отложений, методы контроля и прогнозирования // Газовая промышленность. 2017. № 12. С. 84-89.
- Kasyanov A.V., Belousov A.E., Popov G.G., Bolobov V.I. Determination of factors affecting on grooving corrosion // Topical Issues of Rational Use of Natural Resources. CRC Press. 2019. Vol. 1. P. 393-399. DOI: 10.1201/9781003014577-49
- Кантюков Р.Р., Запевалов Д.Н., Вагапов Р.К. Анализ применения и воздействия углекислотных сред на коррозионное состояние нефтегазовых объектов // Записки Горного института. 2021. Т. 250. С. 578-586. DOI: 10.31897/PMI.2021.4.11
- Ткачева В.Э., Маркин А.Н., Пресняков А.Ю. и др. Локальная углекислотная коррозия углеродистых и низколегированных сталей в нефтепромысловых системах // Вестник Технологического университета. 2020. Т. 23. № 12. C. 65-75.
- Вагапов Р.К., Федотова А.И., Запевалов Д.Н., Стрельникова К.О. Коррозионная агрессивность различных эксплуатационных факторов на углеводородных месторождениях, содержащих диоксид углерода // Вести газовой науки. 2019. № 2 (39). С. 129-135.
- Kahyarian A., Nesic S. A New Narrative for CO2 Corrosion of Mild Steel // Journal of the Electrochemical Society. 2019. Vol. 166. № 11. C3048-C3063. DOI: 10.1149/2.0071911jes
- Ting Yan, Liang-Chen Xu, Zhuo-Xiong Zeng, Wei-Guo Pan. Mechanism and anti-corrosion measures of carbon dioxide corrosion in CCUS: A review // iScience. 2024. Vol. 27. Iss. 1. № 108594. DOI: 10.1016/j.isci.2023.108594
- Ильинова А.А., Ромашева Н.В., Стройков Г.А. Перспективы и общественные эффекты проектов секвестрации и использования углекислого газа // Записки Горного института. 2020. Т. 244. С. 493-502. DOI: 10.31897/PMI.2020.4.12
- Askari M., Aliofkhazraei M., Jafari R. et al. Downhole corrosion inhibitors for oil and gas production – a review // Applied Surface Science Advances. 2021. Vol. 6. № 100128. DOI: 10.1016/j.apsadv.2021.100128
- Петрова Т.А., Епишина А.Д. Антикоррозионная защита трубопроводного транспорта на горно-перерабатывающих предприятиях // Обогащение руд. 2023. № 6. С. 52-58. DOI: 10.17580/or.2023.06.09
- Шапошников Н.О., Голубев И.А., Хоробров С.В. и др. Автоклавное моделирование коррозионных процессов, происходящих в газопроводе при транспортировке неподготовленной многофазной среды, содержащей CO2 // Записки Горного института. 2022. Т. 258. С. 915-923. DOI: 10.31897/PMI.2022.92
- Аминова Д.Ф., Валиахметов Р.И. Повышение эффективности защиты промысловых трубопроводов с использованием ингибиторной защиты // Транспорт и хранение нефтепродуктов и углеводородного сырья. 2021. № 1. С. 58-61. DOI: 10.24412/0131-4270-2021-1-58-61
- Вагапов Р.К., Запевалов Д.Н. Критерии оценки коррозионной опасности и эффективности ингибиторной защиты при эксплуатации объектов добычи газа в присутствии диоксида углерода // Наука и техника в газовой промышленности. 2020. № 2 (82). С. 60-70.
- Kulakov P.A., Rubtsov A.V., Afanasenko V.G. et al. Influence of technical condition parameters on the residual resource of capacitive equipment // Journal of Physics: Conference Series. 2019. Vol. 1399. Iss. 5. № 055052. DOI: 10.1088/1742-6596/1399/5/055052
- Verma D.K., Dewangan Y., Dewangan A.K., Asatkar A. Heteroatom-Based Compounds as Sustainable Corrosion Inhibitors: An Overview // Journal of Bio- and Tribo-Corrosion. 2021. Vol. 7. Iss. 1. № 15. DOI: 10.1007/s40735-020-00447-7
- Winkler D.A., Hughes A.E., Özkan C. et al. Impact of inhibition mechanisms, automation, and computational models on the discovery of organic corrosion inhibitors // Progress in Materials Science. 2025. Vol. 149. № 101392. DOI: 10.1016/j.pmatsci.2024.101392
- Junying Hu, Qi Xiong, Longjun Chen et al. Corrosion inhibitor in CO2-O2-containing environment: Inhibition effect and mechanisms of Bis(2-ehylhexyl) phosphate for the corrosion of carbon steel // Corrosion Science. 2021. Vol. 179. № 109173. DOI: 10.1016/j.corsci.2020.109173
- Wysocka J., Cieslik M., Krakowiak S., Ryl J. Carboxylic acids as efficient corrosion inhibitors of aluminium alloys in alkaline media // Electrochimica Acta. 2018. Vol. 289. P. 175-192. DOI: 10.1016/j.electacta.2018.08.070
- Hamadi L., Mansouri S., Oulmi K., Kareche A. The use of amino acids as corrosion inhibitors for metals: A review // Egyptian Journal of Petroleum. 2018. Vol. 27. Iss. 4. P. 1157-1165. DOI: 10.1016/j.ejpe.2018.04.004
- Патент № 2351690 РФ. Способ ингибирования углекислотной коррозии железа / В.С.Резник, Ю.П.Ходырев, В.Д.Акамсин, Р.М.Галиакберов, Р.Х.Гиниятуллин, В.Э.Семенов, И.В.Галяметдинова. Опубл. 10.04.2009. Бюл. № 10.
- Yuanqiang Zhu, Qingqing Sun, Yuan Wang et al. A Study on Inhibition Performance of Mercaptoalcohols As Corrosion Inhibitors by First Principle and Molecular Dynamics Simulation // Russian Journal of Physical Chemistry A. 2020. Vol. 94. № 9. P. 1877-1886. DOI: 10.1134/S0036024420090356
- Патент № 2430997 РФ. Ингибитор коррозии / Н.Г.Зубрицкая, А.Е.Бальцер, А.Г.Базанов, Т.Г.Бабенко, Т.В.Иванова, И.В.Шукан, Е.Н.Барскова, А.В.Громов, А.Н.Подобаев, И.И.Реформатская, И.И.Ащеулова. Опубл. 10.10.2011. Бюл. № 28.
- El Ibrahimi B., Jmiai A., Bazzi L., El Issami S. Amino acids and their derivatives as corrosion inhibitors for metals and alloys // Arabian Journal of Chemistry. 2020. Vol. 13. Iss. 1. P. 740-771. DOI: 10.1016/j.arabjc.2017.07.013
- Мамедова Н.А., Мамедханова С.А., Шахмамедова А.Г. Синтез и применение солей и комплексов на основе аллилового эфира нефтяных кислот в качестве ингибиторов углекислотной коррозии // Нефтехимия. 2019. Т. 59. № 2. C. 207-213. DOI: 10.1134/S0028242119020114
- Belarbi Z., Dominguez Olivo J.M., Farelas F. et al. Decanethiol as a Corrosion Inhibitor for Carbon Steels Exposed to Aqueous CO2 // Corrosion. 2019. Vol. 75. Iss. 10. P. 1246-1254. DOI: 10.5006/3233
- Young Soo Ahn, Jovancicevic V. Patent № WO 01/12878 A1. Mercaptoalcohol corrosion inhibitors. Publ. 22.02.2001.
- Monticelli C. Corrosion Inhibitors // Encyclopedia of Interfacial Chemistry: Surface Science and Electrochemistry. Elsevier, 2018. Vol. 6.1: Corrosion and Passivation. P. 164-171. DOI: 10.1016/B978-0-12-409547-2.13443-2
- Haque J., Jafar Mazumder M.A., Quraishi M.A. et al. Pyrrolidine-based quaternary ammonium salts containing propargyl and hydrophobic C-12 and C-16 alkyl chains as corrosion inhibitors in aqueous acidic media // Journal of Molecular Liquids. 2020. Vol. 320. Part B. № 114473. DOI: 10.1016/j.molliq.2020.114473
- Moradighadi N., Lewis S., Dommguez Olivo J.M. et al. Effect of Alkyl Tail Length on CMC and Mitigation Efficiency Using Model Quaternary Ammonium Corrosion Inhibitors // Corrosion, 24-28 March 2019, Nashville, TN, USA. OnePetro, 2019. № NACE-2019-13004.
- Badeeva E.K., Batyeva E.S., Nizamov I.S. et al. Ammonium salts of O,O’-dialkyldithiophosphoric acids: Effective inhibitors for carbon dioxide corrosion of mild steel on the basis of red phosphorus // Phosphorus, Sulfur, and Silicon and the Related Elements. 2016. Vol. 191. Iss. 11-12. Р. 1640-1641. DOI: 10.1080/10426507.2016.1223662
- Porcayo-Calderon J., Martínez de la Escalera L.M., Canto J., Casales-Diaz M. Imidazoline Derivatives Based on Coffee Oil as CO2 Corrosion Inhibitor // International Journal of Electrochemical Science. 2015. Vol. 10. Iss. 4. P. 3160-3176. DOI: 10.1016/S1452-3981(23)06528-8
- Sanchez-Salazar E., Vazquez-Velez E., Uruchurtu J. et al. Use of a Gemini-Surfactant Synthesized from the Mango Seed Oil as a CO2-Corrosion Inhibitor for X-120 Steel // Materials. 2021. Vol. 14. Iss. 15. № 4206. DOI: 10.3390/ma14154206
- Jing-Mao Zhao, Feng Gu, Tong Zhao, Rui-Jing Jiang. Corrosion inhibition performance of imidazoline derivatives with different pedant chains under three flow rates in high-pressure CO2 environment // Research on Chemical Intermediates. 2016. Vol. 42. Iss. 6. P. 5753-5764. DOI: 10.1007/s11164-015-2401-y
- Muktiarti N., Ditama I., Soegijono B. Characterization of imidazoline derivates synthesized from soybean oil fatty acids as corrosion inhibitors on mild steel // AIP Conference Proceedings. 2020. Vol. 2242. Iss. 1. № 020023. DOI: 10.1063/5.0007980
- Salinas-Solano G., Porcayo-Calderón J., Martínez de la Escalera L.M. et al. Development and evaluation of a green corrosion inhibitor based on rice bran oil obtained from agro-industrial waste // Industrial Crops and Products. 2018. Vol. 119. P. 111-124. DOI: 10.1016/j.indcrop.2018.04.009
- Патент № 2756210 РФ. Способ получения ингибитора коррозии на основе полипропиленполиамина и карбоновой кислоты для нефтепромысловых, минерализованных и сероводородсодержащих сред / Р.Н.Загидуллин, А.Г.Мустафин, К.Г.Хусаинова, Т.Т.Садыков. Опубл. 28.09.2021. Бюл. № 28.
- Usman B.J., Ali S.A. Carbon Dioxide Corrosion Inhibitors: A review // Arabian Journal for Science and Engineering. 2018. Vol. 43. Iss. 1. P. 1-22. DOI: 10.1007/s13369-017-2949-5
- Ziqi Zheng, Junying Hu, Noam Eliaz et al. Mercaptopropionic acid-modified oleic imidazoline as a highly efficient corrosion inhibitor for carbon steel in CO2-saturated formation water // Corrosion Science. 2022. Vol. 194. № 109930. DOI: 10.1016/j.corsci.2021.109930
- Yuan Lu, Wei Wang, Chen Zhang, Jingmao Zhao. A Novel Imidazoline Derivative Used as an Effective Corrosion Inhibitor for Carbon Steel in a CO2/H2S Environment // International Journal of Electrochemical Science. 2019. Vol. 14. Iss. 9. P. 8579-8594. DOI: 10.20964/2019.09.06
- Yuanqiang Zhu, Shidong Qu, Yang Shen et al. Investigation on the synergistic effects and mechanism of oleic imidazoline and mercaptoethanol corrosion inhibitors by experiment and molecular dynamic simulation // Journal of Molecular Structure. 2023. Vol. 1274. Part 2. № 134512. DOI: 10.1016/j.molstruc.2022.134512
- Патент № 2769118 РФ. Ингибитор коррозии / А.И.Захаров, А.О.Демьянченко, А.А.Шевнин. Опубл. 28.03.2022. Бюл. № 10.
- Amir Shamsa, Richard Barker, Yong Hua et al. Impact of corrosion products on performance of imidazoline corrosion inhibitor on X65 carbon steel in CO2 environments // Corrosion Science. 2021. Vol. 185. № 109423. DOI: 10.1016/j.corsci.2021.109423
- Yi He, Yanqiu Zhou, Ranran Yang et al. Imidazoline derivative with four imidazole reaction centers as an efficient corrosion inhibitor for anti-CO2 corrosion // Russian Journal of Applied Chemistry. 2015. Vol. 88. № 7. P. 1192-1200. DOI: 10.1134/S1070427215070149
- Yue Meng, Wenbo Ning, Bin Xu et al. Inhibition of mild steel corrosion in hydrochloric acid using two novel pyridine Schiff base derivatives: a comparative study of experimental and theoretical results // RSC Advances. 2017. Vol. 7. Iss. 68. P. 43014-43029. DOI: 10.1039/c7ra08170g
- Onyeachu I.B., Quraishi M.A., Obot I.B., Haque J. Newly synthesized pyrimidine compound as CO2 corrosion inhibitor for steel in highly aggressive simulated oilfield brine // Journal of Adhesion Science and Technology. 2019. Vol. 33. Iss. 11. P. 1226-1247. DOI: 10.1080/01694243.2019.1585029
- Arafin M.A., Szpunar J.A. A new understanding of intergranular stress corrosion cracking resistance of pipeline steel through grain boundary character and crystallographic texture studies // Corrosion Science. 2009. Vol. 51. Iss. 1. P. 119-128. DOI: 10.1016/J.CORSCI.2008.10.006
- Tiu B.D.B., Advincula R.C. Polymeric corrosion inhibitors for the oil and gas industry: Design principles and mechanism // Reactive and Functional Polymers. 2015. Vol. 95. P. 25-45. DOI: 10.1016/j.reactfunctpolym.2015.08.006
- Azzam E.M.S., Abd El-Salam H.M., Mohamed R.A. et al. Control the corrosion of mild steel using synthesized polymers based on polyacrylamide // Egyptian Journal of Petroleum. 2018. Vol. 27. Iss. 4. P. 897-910. DOI: 10.1016/j.ejpe.2018.01.006
- Tianqi Chen, Zhan Chen, Mengjin Chen, Chaoyang Fu. Evaluation of anti-corrosion performance of poly(maleic acid-co-N‐[3‐(dimethylamino)propyl]‐methacrylamide) as novel copolymer inhibitor for carbon steel in neutral medium // Journal of Molecular Liquids. 2021. Vol. 338. № 116638. DOI: 10.1016/j.molliq.2021.116638
- Al-Shihry S.S., Sayed A.R., El-Lateef H.M.A. Design and assessment of a novel poly(urethane-semicarbazides) containing thiadiazoles on the backbone of the polymers as inhibitors for steel pipelines corrosion in CO2-saturated oilfield water // Journal of Molecular Structure. 2020. Vol. 1201. № 127223. DOI: 10.1016/j.molstruc.2019.127223
- Umoren S., Solomon M.M., Israel A.U. et al. Comparative Study of the Corrosion Inhibition Efficacy of Polypropylene Glycol and Poly (Methacrylic Acid) for Mild Steel in Acid Solution // Journal of Dispersion Science and Technology. 2015. Vol. 36. P. 1721-1735. DOI: 10.1080/01932691.2015.1004411
- Sun A., Cui G., Liu Q. Capsule corrosion inhibitor loaded with hyperbranched chitosan: Carbon dioxide corrosion protection for downhole pipelines in oil fields // Colloids and Surfaces A: Physicochemical and Engineering Aspects. 2023. Vol. 664. № 131106. DOI: 10.1016/j.colsurfa.2023.131106
- Джанелидзе С.З., Журавлев В.В., Жуков А.Ю. и др. Борьба с солеотложением на добывающих скважинах «Газпромнефть-Востока»: результаты опытно-промысловых испытаний и технико-экономическая оценка применения капсулированного ингибитора // PROнефть. Профессионально о нефти. 2021. Т. 6. № 1. С. 94-101. DOI: 10.51890/2587-7399-2021-6-1-94-101
- Salleh S.Z., Yusoff A.H., Zakaria S.K. et al. Plant extracts as green corrosion inhibitor for ferrous metal alloys: A review // Journal of Cleaner Production. 2021. Vol. 304. № 127030. DOI: 10.1016/j.jclepro.2021.127030
- Popoola L.T. Organic green corrosion inhibitors (OGCIs): a critical review // Corrosion Reviews. 2019. Vol. 37. Iss. 2. P. 71-102. DOI: 10.1515/corrrev-2018-0058
- Reza N.A., Akhmal N.H., Fadil N.A., Taib M.F.M. A Review on Plants and Biomass Wastes as Organic Green Corrosion Inhibitors for Mild Steel in Acidic Environment // Metals. 2021. Vol. 11. Iss. 7. № 1062. DOI: 10.3390/met11071062
- Shahini M.H., Ramezanzadeh B., Eivaz Mohammadloo H. Recent advances in biopolymers/carbohydrate polymers as effective corrosion inhibitive macro-molecules: A review study from experimental and theoretical views // Journal of Molecular Liquids. 2021. Vol. 325. № 115110. DOI: 10.1016/j.molliq.2020.115110
- de Haro J.C., Magagnin L., Turri S., Griffini G. Lignin-Based Anticorrosion Coatings for the Protection of Aluminum Surfaces // ACS Sustainable Chemistry & Engineering. 2019. Vol. 7. Iss. 6. P. 6213-6222. DOI: 10.1021/acssuschemeng.8b06568
- Gowraraju N.D., Jagadeesan S., Ayyasamy K. et al. Adsorption characteristics of Iota-carrageenan and Inulin biopolymers as potential corrosion inhibitors at mild steel/sulphuric acid interface // Journal of Molecular Liquids. 2017. Vol. 232. P. 9-19. DOI: 10.1016/j.molliq.2017.02.054
- Umoren S.A., AlAhmary A.A., Gasem Z.M., Solomon M.M. Evaluation of chitosan and carboxymethyl cellulose as ecofriendly corrosion inhibitors for steel // International Journal of Biological Macromolecules. 2018. Vol. 117. P. 1017-1028. DOI: 10.1016/j.ijbiomac.2018.06.014
- Umoren S.A., Eduok U.M. Application of carbohydrate polymers as corrosion inhibitors for metal substrates in different media: A review // Carbohydrate Polymers. 2016. Vol. 140. P. 314-341. DOI: 10.1016/j.carbpol.2015.12.038
- Brindha T., Malarvizhi M., Mallika J. Kinetic and thermodynamic adsorption study of mild steel corrosion and inhibition of Azadirachta Indica gum in hydrochloric acid solution // International Journal of Current Research. 2015. Vol. 7. Iss. 9. P. 20510-20518.
- Qing Zhao, Jixiang Guo, Guodong Cui et al. Chitosan derivatives as green corrosion inhibitors for P110 steel in a carbon dioxide environment // Colloids and Surfaces B: Biointerfaces. 2020. Vol. 194. № 111150. DOI: 10.1016/j.colsurfb.2020.111150



