Подать статью
Стать рецензентом
Том 273
Страницы:
108-122
Скачать том:
RUS ENG

О результатах беспилотной аэромагнитной съемки в районе оазиса Бангера и холмов Хайджамп, Земля Уилкса, Восточная Антарктида

Авторы:
А. Е. Симаков1
Ф. Г. Гуторов2
Г. Л. Лейченков3
А. В. Голынский4
В. Г. Анцев5
Д. А. Голынский6
Об авторах
  • 1 — главный геофизик НПК Беспилотные авиационные и морские системы АО «НПП «Радар ммс» ▪ Orcid
  • 2 — ведущий геофизик НПК Беспилотные авиационные и морские системы АО «НПП «Радар ммс» ▪ Orcid
  • 3 — д-р геол.-минерал. наук заместитель генерального директора ВНИИОкеангеология ▪ Orcid
  • 4 — старший научный сотрудник ВНИИОкеангеология ▪ Orcid
  • 5 — директор НПК Беспилотные авиационные и морские системы АО «НПП «Радар ммс» ▪ Orcid
  • 6 — научный сотрудник ВНИИОкеангеология ▪ Orcid
Дата отправки:
2024-09-06
Дата принятия:
2025-01-28
Дата публикации онлайн:
2025-03-27
Дата публикации:
2025-07-07

Аннотация

Представлены методика и результаты аэромагнитной съемки масштаба 1:25000, проведенной для обеспечения прироста геофизической изученности на участке площадью 600 км2 с использованием беспилотной авиационной системы самолетного типа. Работы проводились в Восточной Антарктиде в составе 69-й Российской антарктической экспедиции в районе оазиса Бангера и холмов Хайджамп (Земля Уилкса). Построенная по данным аэромагнитной съемки карта оказалась более подробной, чем любая из опубликованных геологических карт. При этом масштаб выделяемых контрастных объектов варьирует от нескольких десятков метров до крупных структур, прослеживаемых на десятки километров в пределах всего участка съемки. Анализ полученных данных показал, что для исследованного района характерна морфологическая неоднородность аномального магнитного поля и его изменчивость по амплитуде и простиранию, и наряду с относительно спокойными участками имеются области резко дифференцированного поля. Даже неполная интерпретация результатов аэромагниторазведочных работ показывает их высокую информативность. Аэромагнитная съемка с помощью беспилотных авиационных систем представляет собой важный инструмент прикладной геофизики, позволяющий эффективно решать задачи геологического картирования в сложных условиях Антарктики. Она способна эффективно заменить аналогичные работы, традиционно выполняющиеся с помощью пилотируемой авиации.

Область исследования:
Геотехнология и инженерная геология
Ключевые слова:
Антарктида оазис Бангера аэромагнитная съемка аномальное магнитное поле беспилотные авиационные системы
Перейти к тому 273

Введение

Наименее изученной территорией на планете Земля является самый южный континент – Антарктида. Несмотря на то, что регулярные геолого-геофизические исследования проводятся там на протяжении почти 70 лет, огромная площадь, суровые климатические условия и малая плотность научных станций являются серьезным препятствием для изучения данной территории.

Аэрогеофизические исследования, в частности магнитная съемка, в Антарктиде проводятся с середины ХХ в. [1, 2]. Применение магнитометрии является крайне важным при исследовании Антарктиды и прилегающих территорий Мирового океана, поскольку позволяет расширить представления о геологическом строении этого региона и его роли в глобальных тектонических процессах. Аномальное магнитное поле Земли (Ta) позволяет получать уникальную информацию о тектономагматических процессах, происходивших в земной коре на протяжении длительного времени, устанавливать пространственные границы геологических формаций, осадочных бассейнов, интрузивных образований, блоков земной коры и тектонических нарушений. В условиях Антарктиды, где большая часть территории скрыта подо льдом, данные магниторазведки играют ключевую роль для анализа строения земной коры и раскрытия ее геологической и тектонической истории, а также в установлении корреляционных связей на территориях с ограниченной геологической информацией [3]. До недавнего времени подобные работы выполнялись с привлечением пилотируемой авиации, хотя попытки применения беспилотных носителей тоже предпринимались [4]. В аэрофотосъемке, исследовании атмосферы и др. беспилотные системы уже довольно широко применяются в Антарктиде [5-7].

Методы беспилотной съемки успешно применяются в геологоразведке по нескольким направлениям, для которых раньше привлекалась пилотируемая авиация или использовались наземные методы [8-10]. За два десятилетия их развития наиболее заметный прорыв был достигнут в области аэромагниторазведки [11-13].

Для геологических задач, решаемых с помощью аэромагнитных съемок, далеко не всегда требуется точно удерживать фиксированную высоту над земной поверхностью, можно проводить полеты с генеральным огибанием форм рельефа или вообще без такового – на постоянной барометрической высоте, что позволяет использовать самолетный носитель [14]. Существующие беспилотные авиационные системы (БАС) самолетного типа, оснащенные двигателями внутреннего сгорания, отличаются продолжительным временем полета (до 12 ч) и большим, по сравнению с обычно используемыми электрическими мультироторными и вертолетными носителями, радиусом действия, который может существенно превышать 100 км при производительности до 1000 км за один вылет.

В сезоне 2023-2024 гг. 69-й Российской антарктической экспедицией (РАЭ) в районе оазиса Бангера и холмов Хайджамп (Земля Уилкса, Восточная Антарктида) на участке площадью около 600 км2 была выполнена аэромагнитная съемка масштаба 1:25000 с использованием БАС. Работы проводились АО «НПП «Радар ммс» по заданию (контракту) ВНИИОкеангеология в рамках Государственного задания Агентства по недропользованию (Роснедра) Минприроды России. В районе исследований отсутствуют взлетно-посадочные полосы, и проведение геофизических работ с использованием пилотируемой авиации не рационально.

Рельеф участка работ представляет собой чередование крупных холмов высотой до 165 м над уровнем моря и долин, частично заполненных пресными и солеными озерами, а также ледников и морских акваторий, занимающих более половины площади. Наземная магнитная съемка в подобных условиях сопряжена с очевидными трудностями, в то время как для аэросъемки участок вполне благоприятен.

При подготовке к экспедиции существовали опасения относительно возможности проведения работ в сложных погодных условиях Антарктики. Участок работ расположен вблизи побережья на границе ледяного щита берега Нокса и характеризуется сильными порывистыми ветрами и резкими перепадами температуры и давления. Кроме того, близость моря с одной стороны и ледникового щита мощностью в несколько сотен метров с другой могут служить причиной возникновения непредсказуемых перемещений воздушных масс. Для беспилотного комплекса при полетах на малой высоте в таких условиях, учитывая его относительно небольшие вес и энерговооруженность, увеличиваются риски столкновения с землей. Несмотря на это было принято решение о выполнении работ. Учитывая значительные размеры участка, в качестве носителя магнитометрической аппаратуры был выбран беспилотный самолет. Результаты аэромагнитной съемки с использованием беспилотного летательного аппарата (БПЛА) представлены в данной статье.

Общая информация о районе работ, цели и задачи съемки

Оазис Бангера (рис.1) расположен на побережье Антарктиды, в западной части Земли Уилкса (берег Нокса моря Моусона) на 46 км южнее о-ва Милл и в 370 км восточнее российской научно-исследовательской станции Мирный. В рамках 1-й Советской антарктической экспедиции на данной территории была организована научно-исследовательская станция Оазис, послужившая местом базирования отечественных исследователей, изучающих геологическое строение оазиса и сопредельных территорий [15-17]. В настоящее время в этом районе находятся три сезонные базы: Оазис (Россия), Добровольский (Польша) и Edgeworth David (Австралия).

Рис.1. Ситуационный план района работ

1 – ледниковые купола; 2 – склоны ледникового покрова; 3 – выводные ледники; 4 – шельфовый ледник; 5 – суша; 6 – водоемы; 7 – контур участка

Изучение оазиса Бангера продолжается в настоящее время, поскольку данная территория является одним из ключевых регионов Восточной Антарктиды, что привлекает исследователей разных стран [18-20]. В геологическом отношении он является частью мезопротерозойского орогена и сложен преимущественно метаморфизованными архейско-протерозойскими породами различного генезиса. Метаморфические толщи смяты в крупные складки, крылья которых осложнены более мелкими складками высших порядков.

Район работ характеризуется относительно невысоким уровнем геофизической изученности. Исследования магнитного поля в Антарктиде начались во время 1-й Комплексной антарктической экспедиции (КАЭ) в 1956-1957 гг. в районе научной станции Мирный [16, 17]. Они проводились в площадном варианте по сети маршрутов через 1-2 км в обширном районе, включающем территорию оазиса Бангера. Долгое время результаты этих съемок, по объективным причинам достаточно низкого качества, служили единственным источником геофизической информации для обширной территории Восточной Антарктиды, включая Землю Уилкса [21].

Следующий этап исследований региона ледника Денмана и холмов Обручева связан с реализацией международных проектов ICECAP-IceBridge (2009-2011) и EAGLE* (East Antarctic Grounding Line Experiment) (2015-2016) [22-24]. В результате этих работ была получена геофизическая информация о потенциальных полях и подледном рельефе для обширной территории Восточной Антарктиды [25, 26]. Полеты выполнялись в том числе в районе холмов Хайджамп оазиса Бангера, однако их территорию они практически не затронули.

Начиная с работ 62-й РАЭ, в помощь геологическому картированию масштаба 1:50000 специалистами АО «Полярная морская геологоразведочная экспедиция» по контрактам с ВНИИОкеангеология в центральной части оазиса Бангера проводятся наземные магнитометрические исследования как вдоль отдельных геологических маршрутов, так и в площадном формате по сети маршрутов через 250-300 м для изучения аномального магнитного поля над разновозрастными геологическими толщами, зонами минерализации и интрузивными образованиями. По состоянию на 2024 г. общий объем этих наблюдений составил около 500 км.

Целью описываемых в статье аэромагниторазведочных работ было установление информативности крупномасштабной магнитной съемки в антарктических оазисах, частично перекрытых моренами, ледниками и озерами, и за пределами оазисов для геологического картирования, а также использование полученных данных для интерпретации средне- и мелкомасштабных геологических съемок. На этапе подготовки и планирования магнитной съемки с использованием БАС были определены границы участка, а также выбрана схема съемочных маршрутов. По результатам съемки должен был быть подготовлен комплект материалов (карты аномального поля, базы данных и т.д.), который совместно с результатами предшествующих исследований впоследствии будет использован для комплексной интерпретации и уточнения информации о геологическом строении района оазиса Бангера и архипелага Хайджамп.

Описание беспилотного магнитометрического комплекса

Для описываемых работ применялась магнитометрическая система, где в качестве носителя использовалась БАС «Диам-20», представляющая собой беспилотный самолет с максимальной взлетной массой 29 кг и грузоподъемностью до 5 кг (табл.1). Это воздушное судно сконструировано по аэродинамической схеме «утка» с винтомоторной группой, расположенной в его кормовой части. Чувствительный элемент цезиевого магнитометра типа «ДМ» находится на стингере перед носовой частью самолета на максимально возможном удалении от основных магнитных масс и источников электромагнитных помех – двигателя и силовой электроники. Однако носитель все равно создает определенную магнитную помеху, и для соблюдения требований к качеству аэромагнитной съемки ее необходимо компенсировать во избежание появления ложных аномалий.

Таблица 1

Характеристики магнитометрической аппаратуры, входящей в состав БАС

Характеристики

Марка

ДМ

МТФ-Ц

Производитель

АО «НПП «Радар ммс» (Санкт-Петербург)

АО «НПП «Радар ммс» (Санкт-Петербург)

Тип

Квантовый

Феррозондовый

Измеряемая величина магнитного поля Земли

Полный модуль

Три компоненты – x, y, z

Диапазон измерения, нТл

От 20000 до 100000

От –100000 до 100000

Градиентоустойчивость, нТл/м

20000

> 50000

Рабочая зона, град

±35

360

Среднеквадратическое отклонение (СКО) измерений, нТл

0,002

1

Чувствительность, пТл/

0,2

100

Уровень собственных шумов

0,003 нТл в полосе; 0,1-1 Гц

≤ 1нТл; 0,1-1 Гц

Ориентационная погрешность, нТл

Не более 0,5

Абсолютная погрешность, нТл

Не более 1

Не более ±100

Потребляемая мощность, Вт

12

1

Частота записи данных, Гц

1000

1000

Диапазон рабочих температур, °С

От –40 до +65

От –40 до +65

Вес, кг

1,5

0,5

Методики компенсации магнитной помехи носителя, созданные для пилотируемой авиации [27-29], в равной степени применимы и к авиации беспилотной. В данном случае в качестве компенсатора помехи носителя в состав комплекса помимо квантового магнитометра входил трехкомпонентный феррозондовый датчик МТФ-Ц, расположенный в грузовом отсеке самолета. Компоновочная и габаритная схемы магнитометрической системы, использовавшейся для работ в оазисе Бангера, приведены на рис.2, основные характеристики беспилотного носителя представлены в табл.2. Во время работ в оазисе Бангера было задействовано два идентичных беспилотных комплекса.

До начала работ в Антарктиде магнитометрический комплекс был в достаточной мере отлажен и хорошо зарекомендовал себя во время полевых работ на территории России, включая северные районы и местности с горным рельефом. В 2019-2023 гг. общий объем аэромагниторазведочных работ, выполненных с помощью беспилотного самолета, превысил 11000 км.

Рис.2. Компоновочная (а) и габаритная (б) схемы магнитометрической системы на базе беспилотного носителя самолетного типа

1 – квантовый магнитометр; 2 – феррозондовый магнитометр; 3 – блок сбора; 4 – топливный бак; 5 – двигатель и электроника; 6 – парашют; 7 – грузовой отсек

Таблица 2

Характеристики беспилотного носителя «Диам-20» ООО «ДИАМ-АЭРО» (Санкт-Петербург)

Характеристики

Показатель

Максимальная взлетная масса, кг

До 29

Размах крыла, мм

4000

Длина, мм

2000

Масса полезной нагрузки, кг

До 5

Максимальная скорость полета, м/с (км/ч)

45 (160)

Тип силовой установки

ДВС

Крейсерская скорость полета, м/с (км/ч)

22-24 (80-90)

Максимальная продолжительность полета, ч

14

Максимальная дальность полета, км

1000

Максимальная высота полета, м

4000

Режим взлета 

С пусковой установки (катапульта)

Режим посадки 

На парашюте

Ограничения по скорости ветра, м/с 

15

Температурный диапазон окружающей среды, °С

От –30 до +40

Данные квантового и феррозондового магнитометров, а также спутниковой навигационной системы геодезического класса точности (OEM 7700, NovAtel Inc.) передаются на блок сбора и обработки (БСО), где на карту памяти формата SD с частотой 1000 Гц записывается двоичный файл, содержащий всю необходимую для обработки информацию. БСО позволяет в онлайн-режиме при запуске БАС в полет и в послеполетном режиме связываться с компьютером через интерфейсы Wi-Fi и Ethernet и контролировать работу магнитометров и навигационной системы, а также передавать полученные во время вылета данные в систему постполетного контроля и обработки. Кроме того, децимированные данные на частоте 2 Гц транслируются по радиоканалу автоматической системы управления БАС на наземную станцию управления (НСУ), что позволяет операторам контролировать их качество и работоспособность магнитометрической системы (ММС) в процессе полета.

Методика сбора и обработки данных

Магнитометрическое оборудование и полевой отряд в составе двух человек были доставлены в Восточную Антарктиду на борту научно-исследовательского судна «Академик Федоров» в конце декабря 2023 г. С 29 декабря 2023 г. по 2 января 2024 г. проводились тестирование и проверка оборудования, были выбраны места для старта БАС и установки магнитовариационной станции. Поскольку использовавшийся беспилотный носитель стартует с помощью механической катапульты, для его запуска не требовалась большая площадка. Район запуска находился в окружении каменистых холмов высотой до 30 м, расположенных на удалении 200-300 м. Выбранная точка старта БАС представляла собой относительно ровный участок поверхности 50 ´ 50 м, в центре которого была установлена катапульта. Направление пусковой установки выбиралось перед каждым вылетом, исходя из погодных условий (направления ветра).

Запись вариаций магнитного поля Земли. Магнитовариационная станция МВС-ДМ (производства АО «НПП «Радар ммс»), оснащенная квантовым магнитометром, аналогичным входящему в состав бортовой ММС (см. табл.1), размещалась по результатам рекогносцировочных работ в месте с незначительным горизонтальным градиентом магнитного поля на берегу оз. Фигурное на расстоянии около 300 м от наземной станции управления, расположенной вблизи жилых модулей. Также в состав МВС входил GNSS-модуль геодезического класса, аналогичный установленному на борту беспилотного носителя, что позволяло вводить дифференциальные поправки по технологии PPK (post-processing kinematic). Координаты точки установки МВС (СК WGS84): –66,2753°ю.ш.; 100,7444°в.д. Во время проведения аэромагнитной съемки место установки МВС не менялось.

На протяжении полевых работ средняя амплитуда вариаций магнитной активности в течение рабочего дня составляла около 200 нТл, а в отдельные дни могла существенно превышать это значение, что, конечно, является значительной величиной. При этом в период съемки (в те дни, когда она проводилась) индекс магнитной активности (Kp-index) ни разу не достигал значения в четыре единицы, что соответствует слабому уровню возмущений.

Методика съемки. Полеты начались 3 января 2024 г. и продолжались с перерывами на нелетную погоду до 11 января. Съемка проводилась по 112 рядовым маршрутам (РМ) длиной 20000-25000 м по азимутам 90° и 270° с межмаршрутным расстоянием 250 м.

Для увязки данных по рядовым маршрутам, ортогонально был проложен 31 опорный маршрут (ОМ) длиной 2000-29000 м (азимуты 0° и 180°). Расстояние между опорными маршрутами составляло 1250 м. Кроме того, для оценки погрешности итоговой карты аномального магнитного поля по внутренней увязке по главным диагоналям участка съемки были проложены три секущих маршрута (СМ) длиной 20000-47000 м, которые пересекали все РМ. Схема аэромагнитной съемки в районе оазиса Бангера и холмов Хайджамп представлена на рис.3, а.

При планировании вылетов были подготовлены десять полетных миссий средней продолжительностью около четырех часов каждая (рис.3, б), где кроме начальных и конечных точек профилей указывались траектории подлетов и отлетов, а также зоны маневрирования для захода на маршрутные точки. Миссии загружались на борт носителя на этапе предполетной подготовки. Для их выполнения не требовалась прямая связь с НСУ, т.е. беспилотный комплекс действовал полностью автономно. Характеристики носителя позволяли выполнять полеты большей длительности, однако было принято решение сделать миссии короче и уменьшить взлетную массу за счет снижения количества топлива, при этом увеличив маневренность и скороподъемность.

Рис.3. Схемы профилей аэромагнитной съемки БПЛА (а) и вылетов (б), выполненных на участке «Оазис Бангера» в рамках 69 РАЭ

Рис.4. Пример траектории беспилотного магнитометрического комплекса при генеральном огибании основных форм рельефа (пролет по маршруту РМ-54 08.01.2024 г.)

1 – абсолютная отметка рельефа; 2 – фактическая высота полета; 3 – запланированная высота полета

Съемка проводилась с генеральным огибанием рельефа на базовой высоте 130 м. При составлении полетного задания степень генерализации обтекания выбиралась, исходя из требований технического задания, степени дислоцированности рельефа и средней расчетной скороподъемности БАС (1,5 м/с) на крейсерской скорости 24 м/с. Для планирования огибания (рис.4) использовалась цифровая модель местности района оазиса Бангера и холмов Хайджамп, составленная специалистами ВНИИОкеангеология в универсальной поперечной проекции Меркатора (UTM 47S) на основе 5 м грида, полученного по данным спутника Европейского космического агентства SPOT 5 HRS satellite (рис.4).

Суммарный объем летных работ составил 3343 км (с учетом всех типов маршрутов, включая повторные и контрольные), объем работ на рядовых и опорных маршрутах составил 2948 км на участке площадью 601 км2. Движение БАС осуществлялось полностью в автоматическом режиме и контролировалось внешним экипажем по радиоканалу и с помощью GNSS-трекера.

Всего с 3 по 11 января 2024 г. на участке «Оазис Бангера» было проведено 13 самолетовылетов на аэромагнитную съемку общей продолжительностью 48 ч 11 мин.

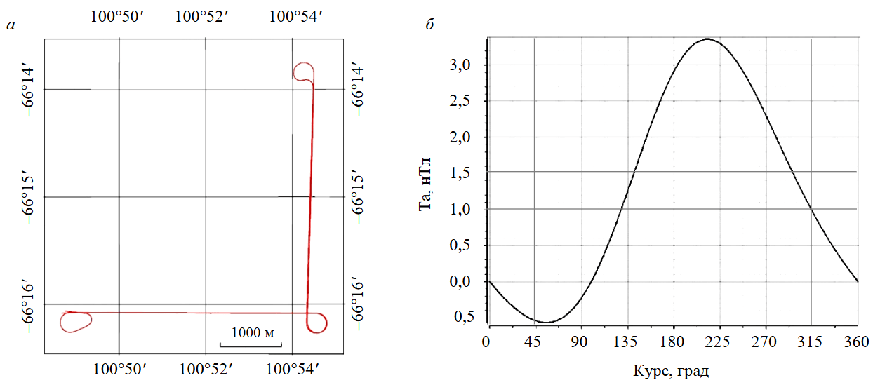
Настройка компенсатора магнитной помехи носителя. В состав использовавшегося магнитометрического комплекса входит модуль компенсации магнитной помехи носителя на основе феррозондового магнитометра. Для получения коэффициентов компенсации была выполнена аэромагнитная съемка на девиационном маршруте, представляющем собой два ортогональных друг другу галса протяженностью 4 км каждый с тремя разворотами в точках смены курса (рис.5, а). Направления галсов совпадают с азимутами ОМ и РМ (0° и 90°), маршрут проходил в прямом и обратном направлениях. Для минимизации влияния аномальной части магнитного поля Земли на определение коэффициентов компенсации полеты проводились на высоте 1500 м.

Рис.5. Траектория маршрута для получения коэффициентов компенсации магнитных помех носителя (а) и кривая курсовой девиации (б), вылет 11.01.2024 г.

По результатам обработки данных, зарегистрированных на девиационном маршруте двумя беспилотными комплексами, были получены наборы коэффициентов компенсации, позволяющие учитывать влияние постоянной, вихревой и индуктивной компонент магнитного поля носителя [28, 30]. Величина полной курсовой девиации обоих комплексов не превышала 3,5 нТл (рис.5, б), а значение нескомпенсированной (остаточной) магнитной помехи не превышало 0,2 нТл, что сопоставимо с ориентационной погрешностью бортового магнитометра.

Методика обработки данных. После каждого вылета файл данных, содержащий результаты записи всех модулей бортовой ММС, копировался на компьютер со специальным ПО «PostFlyProcessor», разработанным АО «НПП «Радар ммс». С помощью этого ПО оператор может предварительно оценить качество собранных данных – целостность файла, корректность работы магнитометра и навигационной системы, полноту выполнения полетного задания, а также скомпенсировать магнитную помеху носителя. Далее в автоматическом режиме по полетному заданию, а в ряде случаев в ручном режиме с использованием графического интерфейса проводилась нарезка записи бортового магнитометра на съемочные маршруты. Затем эти данные собирались в единый файл с синхронизированными результатами записи вариаций магнитного поля.

По завершении этого этапа формировались массивы, результирующие бортовые данные на маршрутах съемки, и запись в файл формата ASCII, предназначенный для импорта в базу данных для дальнейшей обработки в специализированном ПО (формат совместим с ПО «Geosoft Oasis Montaj»). Камеральная обработка данных съемки проводилась по стандартной методике, включающей ввод поправок за вариации и за нормальное магнитное поле (IGRF), а также внутреннюю увязку по опорным маршрутам.

Уровень вариаций отсчитывался от среднего значения поля, измеренного МВС с 3 по 11 января 2024 г., которое составило 61658 нТл. По завершении обработки были подготовлены карты аномального магнитного поля масштаба 1:25000, на базе которых в настоящее время готовится схема геологической интерпретации.

Методика оценки качества

На первом этапе качество съемки оценивалось на соответствие требованиям технического задания по отклонению от линии заданного пути (ЛЗП) в плане и по высоте. По результатам анализа данных бортовой навигационной системы, СКО разности реальной высоты полета и ЛЗП составило 7,3 м (6 %), при этом средняя высота полета над дневной поверхностью – 131,5 м.

Нормативные требования к точности удержания траектории полета в плане подразумевают допустимые отклонения в пределах 10 % межмаршрутного расстояния (250 м), т.е. границы допустимого коридора составляют ±25 м от ЛЗП. По результатам анализа реальной траектории полета магнитометрических комплексов на участке «Оазис Бангера» выходов за эти пределы зафиксировано не было: в среднем точность удержания ЛЗП в плане составляла ±6 м, в дни с сильным боковым ветром ЛЗП удерживалась в коридоре ±20 м.

Анализ четвертой разности. Оценка шумов магнитометрического комплекса осуществлялась по величине четвертых разностей**, при этом количество значений четвертой разности, превышающих нормативный порог ±1,6 нТл, составило 3 % от общей выборки (при допустимом пределе 10 %) [13, 14]. При этом стандартное отклонение четвертой разности в окне ±1,6 нТл составило 0,56 нТл, что удовлетворяет требованиям, предъявляемым к качеству съемки.

Стандартное значение шума магнитометра ДМ, входящего в комплект беспилотной ММС, составляет 0,003 нТл в полосе 0,1-1 Гц, а по опыту предыдущих работ при установке на БВС СКО четвертой разности в полете составляло 0,015 нТл. Однако для обеспечения безопасности полетов в антарктических условиях часть элементов беспилотного носителя (некоторые сервоприводы управления) была заменена на более мощные, шумы которых увеличили СКО четвертой разности записи магнитометра примерно до 0,5 нТл. В дальнейшем на основании приобретенного опыта работ в оазисе Бангера конструкция носителя будет доработана таким образом, чтобы вернуться к стандартным шумовым характеристикам комплекса.

Анализ данных на контрольном маршруте. В соответствии с согласованной методикой проведения работ и нормативными требованиями, одним из критериев оценки качества являлось сравнение данных, зарегистрированных при прохождении контрольного маршрута в начале и конце каждого вылета во встречных направлениях. Обычно эти измерения делаются для оценки дрейфа показаний магнитометра, а также для оценки точности учета вариаций. На рис.3, а контрольный маршрут, располагавшийся в нескольких километрах севернее точки старта, выделен оранжевым цветом. Всего за период полевых работ один и тот же контрольный маршрут длиной 3600 м проходился 22 раза – по 11 раз в обоих направлениях. Значения аномального магнитного поля, зарегистрированного на контрольном маршруте за время полевых работ, представлены на рис.6, а. Среднеквадратичное отклонение рассчитывалось по формуле Бесселя:

CKO(δ)= i=1 n Δ i 2 2 n1 .

Отмечается хорошая повторяемость данных аэромагнитной съемки. Вычисление СКО проводилось для точек записи, находящихся на прямом и обратном маршрутах, на расстоянии не более 10 м (примерно 1200 точек). Вылет 3.01.2024 г. проводился в условиях очень сильного ветра (около 28 м/с), и контрольный маршрут был пройден с погрешностью 9,93 нТл. Среднее СКО по всем контрольным маршрутам составило 5,32 нТл, тогда как для маршрутов, пройденных только в дни со слабым ветром, оно равнялось 4,8 нТл.

Если для расчета погрешности съемки брать только километровый участок контрольного маршрута в зоне с относительно низким (100 нТл/км) горизонтальным градиентом аномального магнитного поля (рис.6, а), то СКО по этой выборке составит 4,03 нТл.

Оценка погрешности съемки по результатам повторных измерений. В соответствии с методикой работ, для оценки качества данных и погрешности съемки проводились повторные измерения на восьми рядовых маршрутах длиной около 25 км каждый. Их итоговая протяженность составила 160 км или 5,75 % от общего объема съемки.

Рядовая и повторная съемки выполнялись в разные дни (3 и 7 января 2024 г.) двумя разными беспилотными магнитометрическими комплексами, в которые было загружено одно полетное задание. Пример данных, полученных при повторной съемке на одном из рядовых маршрутов (РМ-4), представлен на рис.6, б. Величина СКО по результатам сравнения измерений на рядовых и повторных маршрутах, даже несмотря на то, что работы выполнялись в зоне с высокими градиентами Ta, составила 4,87 нТл.

Внутренняя увязка. Оценка погрешности аэромагнитной съемки проводилась согласно требованиям нормативных документов, по точкам пересечения рядовых и секущих маршрутов. Оба набора этих данных были предварительно увязаны по опорной сети независимо друг от друга и по одной методике.

Для оценки погрешности составленной карты планировалось брать точки пересечений СМ и РМ только тех участков, где значения горизонтального градиента не превышали 50 нТл/км, как того требуют нормативные документы. Однако ввиду крайне незначительного количества таких зон (после фильтрации оставалось менее 10 % от общего числа точек пересечений) отбраковка была более грубой и проводилась по значению горизонтального градиента, не превышающего 40 нТл на 100 м. Это значение соответствует изменению на 1 нТл на отсчет при частоте записи 10 Гц и скорости съемки 24 м/с.

Рис.6. Значения аномального магнитного поля dTa, зарегистрированные на контрольном маршруте за весь период полевых работ (а), и результаты повторных измерений на одном из рядовых маршрутов (РМ = 54) (б)

В результате для оценки использовались данные по 106 точкам пересечений СМ и РМ, что составляет около 40 % от их общего количества (255 точек). Среднеквадратичное отклонение, рассчитанное по формуле по пересечениям секущих маршрутов с рядовыми, составило 7,3 нТл. С одной стороны, данная величина выше нормативного значения 5 нТл, предъявляемого к качеству увязки итоговой карты, с другой стороны необходимо отметить, что полученное СКО было рассчитано по 40 % от общего количества точек пересечений для участка, где средние значения горизонтального градиента аномального магнитного поля превышают несколько сотен нанотесл, а зон со спокойным полем (до 50 нТл на 1000 м) на участке практически нет. В связи с этим корректную оценку точности итоговой карты по пересечениям с секущими маршрутами провести не представляется возможным. Тем не менее, полученное значение СКО с учетом сильной дифференцированности аномального поля на участке «Оазис Бангера» следует считать адекватным задачам геологического картирования.

Основным источником расчетной погрешности съемки после увязки являются высокие значения вертикальных и горизонтальных градиентов магнитного поля на участке, которые влекут за собой повышенную погрешность даже при минимальной (первые метры) разности высот в точках пересечения рядовых и секущих маршрутов.

Результаты

По результатам обработки данных была построена карта аномального магнитного поля, анализ которой свидетельствует о морфологической неоднородности и изменчивости по амплитуде Ta для района оазиса Бангера и холмов Хайджамп, характерной для глубокометаморфизованных комплексов древних орогенов, наряду с относительно спокойными участками в районе работ имеются области резко дифференцированного поля. Измеренное аномальное магнитное поле региона и, соответственно, распределение по площади возмущающих магнитоактивных источников представлено детальнее, чем любая из существующих опубликованных геологических карт [15, 31, 32]. При этом масштаб выделяемых контрастных аномалообразующих объектов варьирует от нескольких десятков метров до структур регионального масштаба, прослеживаемых в пределах всего участка съемки (рис.7, а).

Геологическая интерпретация результатов аэромагнитной съемки выходит за рамки данной статьи, однако даже беглый анализ аномального магнитного поля и опубликованных материалов по геологическому строению оазиса Бангера и холмов Хайджамп (рис.7, б) показывает высокую информативность полученных данных.

Наглядным примером является проявление в магнитном поле крупной интрузии (батолита) габбрового и монцо-габбрового состава в районе залива Паз-Коув оазиса Бангера (рис.7). Краевая ее часть картируется высокоамплитудной аномалией в южной половине и прослеживается в виде относительного максимума в северной, скрытой под ледником, образуя овальную структуру. Аномальный эффект связан с приконтактными изменениями в самой интрузии и во вмещающей толще, которые произошли при внедрении магматических пород. Основная масса батолита в большей мере является слабомагнитной и характеризуется локальными магнитными аномалиями, включающими аномалии овальной формы.

В юго-восточной части оазиса Бангера с помощью геологической съемки выявлено два комплекса горных пород, которые представлены тоналит-трондьемит-гранодиоритовыми гнейсами архейского блока земной коры и нерасчлененной толщей амфиболит-биотит пироксеновых гнейсов и кристаллических сланцев мезопротерозойского орогена (рис.7, б), однако в магнитном поле различия между комплексами не наблюдаются (рис.7, а). Это означает, что геологическая карта требует уточнения и, скорее всего, весь район занимают архейские породы древнего кратона, возможно, частично переработанные в мезопротерозойское время, как предполагается современными исследователями [33, 34].

Также обращает на себя внимание контрастное магнитное поле в северо-западной части района работ (рис.7, а), где на карте показано развитие нерасчлененной толщи гранат-силлиманит-кордиеритовых и гранат-биотитовых гнейсов (рис.7, б). Это свидетельствует о явной неоднородности геологического строения указанной территории с возможным присутствием других типов пород, формирующих положительную магнитную аномалию СВ-ЮЗ простирания.

За счет высокой точности аэромагнитных наблюдений удается проследить даже небольшие долеритовые дайки мезопротерозойского возраста. Лучше всего это видно на профилях, где наблюдаются линейно-коррелируемые аномалии, амплитуда которых на высоте съемки достигает 100 нТл, но наиболее мощная (до 20-30 м) и протяженная дайка в центральной части оазиса Бангера проявляется на карте слабым, но видимым линейным трендом (рис.7, а). 

Заключение

В сезон 2023-2024 гг. впервые в мировой практике в Антарктиде была проведена полноценная крупномасштабная аэромагнитная съемка с использованием беспилотной авиационной системы. Магнитометрический комплекс на базе носителя самолетного типа позволил в короткие сроки провести съемку 2940 км на площади 601 км2.

Рис.7. Карта аномального магнитного поля района оазиса Бангера и холмов Хайджамп масштаба 1:25000, построенная по результатам беспилотной аэромагнитной съемки 69-й РАЭ (а), и упрощенная геологическая карта региона масштаба 1:200000 (б), по [35] с уточнением возраста магматических и метаморфических комплексов пород по [32]

По результатам работ была построена карта аномального магнитного поля масштаба 1:25000, которая демонстрирует морфологическое и амплитудное разнообразие зарегистрированных аномалий. Не только простирание аномалий, но и их форма, как отдельных объектов, так и аномальных систем, существенным образом различаются. Протяженность аномалий может достигать нескольких десятков километров, а их ширина – от первых сотен метров до первых километров. В полном наборе амплитудных, морфологических и структурных признаков аномального поля хорошо отражается сложное геологическое устройство данной территории, где неоархейские породы граничат с мезопротерозойскими и обильно представленными интрузивными образованиями различного состава, от основных до кислых пород [15, 36, 37].

Результаты съемки обеспечили прирост геолого-геофизической изученности района работ, особенно тех его частей, что скрыты под ледниками или под водой. Подтверждено, что беспилотная аэромагнитная съемка является важным инструментом прикладной геофизики, позволяющим эффективно решать задачи геологического картирования масштаба 1:25000 и мельче в сложных условиях Антарктики. Она способна эффективно заменить аналогичные работы, традиционно выполняющиеся с помощью пилотируемой авиации, особенно на станциях, не оснащенных местами базирования авиатехники. Дополнительными преимуществами беспилотной съемки являются ее относительная дешевизна, по сравнению с выполняющейся с использованием пилотируемой авиации, и безопасность внешнего экипажа, осуществляющего удаленный контроль беспилотного комплекса.

Опыт описанных в статье работ позволит усовершенствовать как сами беспилотные магнитометрические комплексы, так и методику выполнения съемок в Антарктике и других регионах.

Литература

  1. Frémand A.C., Bodart J.A., Jordan T.A. et al. British Antarctic Survey’s aerogeophysical data: releasing 25 years of airborne gravity, magnetic, and radar datasets over Antarctica // Earth System Science Data. 2022. Vol. 14. Iss. 7. P. 3379-3410. DOI: 10.5194/essd-14-3379-2022
  2. Ferraccioli F., Armadillo E., Jordan T. et al. Aeromagnetic exploration over the East Antarctic Ice Sheet: A new view of the Wilkes Subglacial Basin // Tectonophysics. 2009. Vol. 478. Iss. 1-2. P. 62-77. DOI: 10.1016/j.tecto.2009.03.013
  3. Голынский Д.А., Мандриков В.С., Егоров М.С. Результаты наземных магнитометрических работ 64-й РАЭ // Российские полярные исследования. 2019. № 3. С. 22-25.
  4. Funaki M., Higashino S.-I., Sakanaka S. et al. Small unmanned aerial vehicles for aeromagnetic surveys and their flights in the South Shetland Islands, Antarctica // Polar Science. 2014. Vol. 8. Iss. 4. P. 342-356. DOI: 10.1016/j.polar.2014.07.001
  5. Gaffey C., Bhardwaj A. Applications of Unmanned Aerial Vehicles in Cryosphere: Latest Advances and Prospects // Remote Sensing. 2020. Vol. 12. Iss. 6. № 948. DOI: 10.3390/rs12060948
  6. Григорьева С.Д., Кузнецова М.Р., Киньябаева Э.Р. Опыт применения беспилотных летательных аппаратов в научно-прикладных изысканиях сезонных 63-66-й РАЭ в Антарктиде // Российские полярные исследования. 2021. № 1. С. 31-33.
  7. Pina P., Vieira G. UAVs for Science in Antarctica // Remote Sensing. 2022. Vol. 14. Iss. 7. № 1610. DOI: 10.3390/rs14071610
  8. Watts A.C., Ambrosia V.G., Hinkley E.A. Unmanned Aircraft Systems in Remote Sensing and Scientific Research: Classification and Considerations of Use // Remote Sensing. 2012. Vol. 4. Iss. 6. P. 1671-1692. DOI: 10.3390/rs4061671
  9. Huang Yao, Rongjun Qin, Xiaoyu Chen. Unmanned Aerial Vehicle for Remote Sensing Applications – A Review // Remote Sensing. 2019. Vol. 11. Iss. 12. № 1443. DOI: 10.3390/rs11121443
  10. Cunningham M., Samson C., Wood A., Cook I. Aeromagnetic Surveying with a Rotary-Wing Unmanned Aircraft System: A Case Study from a Zinc Deposit in Nash Creek, New Brunswick, Canada // Pure and Applied Geophysics. 2018. Vol. 175. Iss. 9. P. 3145-3158. DOI: 10.1007/s00024-017-1736-2
  11. Yaoxin Zheng, Shiyan Li, Kang Xing, Xiaojuan Zhang. Unmanned Aerial Vehicles for Magnetic Surveys: A Review on Platform Selection and Interference Suppression // Drones. 2021. Vol. 5. Iss. 3. № 93. DOI: 10.3390/drones5030093
  12. Walter C., Braun A., Fotopoulos G. High-resolution unmanned aerial vehicle aeromagnetic surveys for mineral exploration targets // Geophysical Prospecting. 2020. Vol. 68. Iss. 1. P. 334-349. DOI: 10.1111/1365-2478.12914
  13. Døssing A., Lima Simoes da Silva E., Martelet G. et al. A High-Speed, Light-Weight Scalar Magnetometer Bird for km Scale UAV Magnetic Surveying: On Sensor Choice, Bird Design, and Quality of Output Data // Remote Sensing. 2021. Vol. 13. Iss. 4. № 649. DOI: 10.3390/rs13040649
  14. Астафьев П., Коноплин А. Оценка уровня собственных шумов датчиков геомагнитного и геоэлектрического полей методом многоканальных измерений // Измерительная техника. 2020. № 9. С. 60-66. DOI: 10.32446/0368-1025it.2020-9-60-66
  15. Равич М.Г., Климов Л.В., Соловьев Д.С. Докембрий Восточной Антарктиды. М.: Недра, 1965. 470 с.
  16. Глебовский Ю.С. Основные результаты мелкомасштабной аэромагнитной съемки, проведенной к югу от шельфового ледника Шеклтона// Бюллетень Советской антарктической экспедиции, 1959. № 12. С. 37-40.
  17. Глебовский Ю.С. Геологическое строение района обсерватории Мирный // Бюллетень Советской антарктической экспедиции, 1959. № 8. С. 21-23.
  18. Berg S., Melles M., Gore D.B. et al. Postglacial evolution of marine and lacustrine water bodies in Bunger Hills // Antarctic Science. 2020. Vol. 32. Special Issue 2. P. 107-129. DOI: 10.1017/S0954102019000476
  19. Gore D.B., Leishman M.R. Salt, sediments and weathering environments in Bunger Hills // Antarctic Science. 2020. Vol. 32. Special Issue 2. P. 138-152. DOI: 10.1017/S0954102020000073
  20. Abdrakhmanov I.A., Gulbin Y.L., Skublov S.G., Galankina O.L. Mineralogical Constraints on the Pressure-Temperature Evolution of Granulites in the Bunger Hills, East Antarctica // Minerals. 2024. Vol. 14. Iss. 5. № 488. DOI: 10.3390/min14050488
  21. Голынский А.В., Голынский Д.А., Киселев А.В., Масолов В.Н. Российские магнитометрические исследования в Антарктике // Вопросы географии. 2020. Сборник 150. С. 175-197.
  22. Aitken A.R.A., Betts P.G., Young D.A. et al. The Australo-Antarctic Columbia to Gondwana transition // Gondwana Research. 2016. Vol. 29. Iss. 1. P. 136-152. DOI: 10.1016/j.gr.2014.10.019
  23. Aitken A.R.A., Roberts J.L., van Ommen T.D. et al. Repeated large-scale retreat and advance of Totten Glacier indicated by inland bed erosion // Nature. 2016. Vol. 533. № 7603. P. 385-389. DOI: 10.1038/nature17447
  24. Aitken A.R.A., Young D.A., Ferraccioli F. et al. The subglacial geology of Wilkes Land, East Antarctica // Geophysical Research Letters. 2014. Vol. 41. Iss. 7. P. 2390-2400. DOI: 10.1002/2014GL059405
  25. Wei Wei, Donald D. Blankenship, Jamin S. Greenbaum et al. Getz Ice Shelf melt enhanced by freshwater discharge from beneath the West Antarctic Ice Sheet // The Cryosphere. 2020. Vol. 14. Iss. 4. P. 1399-1408. DOI: 10.5194/tc-14-1399-2020
  26. Liu-Schiaffini M., Ng G., Grima C., Young D. Ice Thickness From Deep Learning and Conditional Random Fields: Application to Ice-Penetrating Radar Data With Radiometric Validation // IEEE Transactions on Geoscience and Remote Sensing. 2022. Vol. 60. № 5119014. DOI: 10.1109/TGRS.2022.3214147
  27. Tuck L.E., Samson C., Laliberté J., Cunningham M. Magnetic interference mapping of four types of unmanned aircraft systems intended for aeromagnetic surveying // Geoscientific Instrumentation, Methods and Data Systems. 2021. Vol. 10. Iss. 1. P. 101-112. DOI: 10.5194/gi-10-101-2021
  28. Каршаков Е.В., Тхоренко М.Ю., Павлов Б.В. Аэромагнитная градиентометрия и ее применение в навигации // Проблемы управления. 2016. № 2. С. 72-80.
  29. Groom R.W., Ruizhong Jia, Bob Lo. Magnetic Compensation of Magnetic Noises Related to Aircraft’s Maneuvers in Airborne Survey // 17th EEGS Symposium on the Application of Geophysics to Engineering and Environmental Problems, 22-26 February 2004, Colorado Springs, CO, USA. European Association of Geoscientists & Engineers, 2004. № cp-186-00008. DOI: 10.3997/2214-4609-pdb.186.AIR02
  30. Семевский Р.Б., Аверкиев В.В., Яроцкий В.А. Специальная магнитометрия. СПб: Наука, 2002. 227 с.
  31. Абдрахманов И.А. Физико-химическое моделирование условий формирования мафического гранулита (оазис Бангера, Восточная Антарктида) // Вестник геонаук. 2021. № 2 (314). С. 14-18. DOI: 10.19110/geov.2021.2.3
  32. Tucker N.M., Hand M., Clark C. The Bunger Hills: 60 years of geological and geophysical research // Antarctic Science. 2020. Vol. 32. Special Issue 2. P. 85-106. DOI: 10.1017/S0954102019000403
  33. Leitchenkov G.L., Grikurov G.E. The Tectonic Structure of the Antarctic // Geotectonics. 2023. Vol. 57. Suppl. 1. P. S28-S33. DOI: 10.1134/S0016852123070087
  34. Cox S.C., Lyttle B.S., Elkind S. et al. A continent-wide detailed geological map dataset of Antarctica // Scientific Data. 2023. Vol. 10. № 250. DOI: 10.1038/s41597-023-02152-9
  35. Равич М.Г., Соловьев Д.С. Геологическая карта оазиса Бангера масштаба 1:100000 // Атлас Антарктики. 1966. Т. 1. М.: Главное управление геодезии и картографии; Л.: Гидрометеорологическое изд-во. C. 166-167.
  36. Sheraton J.W., Tingey R.J., Oliver R.L., Black L.P. Geology of the Bunger Hills-Denman Glacier region, East Antarctica. Canberra: Australian Government Publishing Service, 1995. Bulletin 244. 124 p.
  37. Tucker N.M., Payne J.L., Clark C. et al. Proterozoic reworking of Archean (Yilgarn) basement in the Bunger Hills, East Antarctica // Precambrian Research. 2017. Vol. 298. P. 16-38. DOI: 10.1016/j.precamres.2017.05.013

Похожие статьи

Экспериментальное бурение льда с кремнийорганической жидкостью снарядом КЭМС-135 в скважине 5Г (станция Восток, Антарктида)
2025 А. В. Большунов, С. А. Игнатьев; Д. В. Сербин; А. В. Туркеев
Слово редактора: комплексное исследование Антарктики
2025 А. В. Большунов, Г. Л. Лейченков
О подобии глубинного строения фундамента и генезиса формирования впадин восточного фланга Восточной Антарктиды и региона озера Байкал
2025 А. С. Егоров, А. С. Агеев, И. А. Шуклин, А. Н. Марков, В. В. Лукин, Г. Д. Горелик, Е. И. Грохотов
Геодинамические процессы, кайнозойский рифтогенез и механизм образования глубочайших впадин на суше в Антарктиде
2025 А. А. Баранов, Л. И. Лобковский
Комплексные исследования снежно-фирновой толщи в районе российской антарктической станции Восток
2025 А. В. Большунов, С. А. Игнатьев, Г. Д. Горелик, Н. С. Крикун, Д. А. Васильев, И. В. Ракитин, В. С. Шадрин
Исследование взаимодействия заливочной жидкости и озерной воды при вскрытии подледникового озера Восток в Антарктиде
2025 Д. В. Сербин, Г. В. Буслаев, А. Ю. Лаврик, В. Г. Кадочников, А. Н. Дмитриев