Подать статью
Стать рецензентом
Том 276 Вып. 2
Страницы:
123-139
Скачать том:
RUS ENG

Результаты исследования петрофизических свойств, механических и прочностных характеристик калькаренитовых пород

Авторы:
Дж. Ф. Андриани
Об авторах
  • заведующий геотехнической лабораторией Университет им. Альдо Моро в Бари ▪ Orcid
Дата отправки:
2024-07-17
Дата принятия:
2025-07-16
Дата публикации онлайн:
2025-11-21
Дата публикации:
2025-12-30

Аннотация

Недавние исследования прогнозирования петрофизических и механических свойств карбонатных пород, объединяющие текстурные и микроструктурные наблюдения с геотехническими измерениями, вызвали бурное обсуждение. Некоторые исследователи представляют надежные экспериментальные методы и новые идеи, другие придерживаются менее строгих подходов. В Средиземноморском регионе мелководные калькарениты обнажаются как вдоль береговой линии, так и на суше. Как правило, это мягкие карбонаты с пористостью открытого типа, контролируемые осадочными породами и постседиментационными процессами. Их прочность в первую очередь зависит от типа и количества карбонатного цемента, а на напряженно-деформированное состояние значительно влияет присутствие воды. Прочность и жесткость заметно снижаются при переходе от сухого к насыщенному состоянию. Хорошо сцементированные калькарениты с ранним и поздним диагенетическим цементом хрупкие как в сухом, так и в насыщенном состоянии, тогда как плохо сцементированные типы только с ранней карбонатной цементацией хрупкие в сухом состоянии и от псевдопластичных до пластичных в насыщенном состоянии. В гидравлических свойствах калькаренитов преобладают системы двойной пористости, объединяющие микро- и макропоры, играющие ключевую роль в механизмах и моделях распада. В исследовании литературные данные сравниваются с результатами лабораторных анализов литофаций калькаренита из Апулии и Базиликаты (Южная Италия), что дает новое понимание их механических, физических свойств и долговечности.

Область исследования:
Геотехнология и инженерная геология
Ключевые слова:
калькаренит порода свойства поровая система прочность жесткость атмосферостойкость долговечность
Перейти к тому 276

Финансирование

Настоящее исследование поддержано MIUR (Министерство образования, университетов и исследований Италии) в рамках гранта 2010 г. ex MURST 60 % «Modelli geologico-tecnici, idrogeologici e geofisici per la tutela e la valo-rizzazione delle risorse naturali, ambientali e culturali» (координатор Дж.Ф.Андриани). Исследование профинансировано Европейским сообществом в рамках проекта Interreg III A «WET SYS B» 2000-2006 (ответственный Дж.Ф.Андриани) и регионом Апулия в рамках программы «CT14» (ответственный Дж.Ф.Андриани). Работа выполнена в рамках проекта MIUR (Министерство образования, университетов и исследований Италии) 2017-2018 гг. ex MURST 60 % «Инженерная геология и гидрогеологические исследования, применяемые для защиты, развития и продвижения георесурсов и исторического, художественного и геоэкологического наследия» (ответственный Дж.Ф.Андриани).

Введение

Калькарениты обычно характеризуются промежуточной между почвами и твердыми породами прочностью, а также меняют механические свойства в результате изменения граничных условий, включая напряженное состояние, метод нагрузки и степень насыщения. Они обладают переходными от горных пород к почве свойствами как в крупном, так и в мелком масштабе из-за процессов деструктуризации. Калькарениты характеризуются сложной физико-механической реакцией, контролируемой строением, включая как микроскопическую, так и макроскопическую текстуру и структуру, а также связностью, в основном из-за конседиментационной и диагенетической цементации. Кроме того, в масштабе массива горных пород необходимо учитывать постседиментационные тектонические эпизоды и циркуляцию грунтовых вод. Поэтому существует определенная взаимосвязь между осадочными фациями, постседиментационными процессами и общей прочностью этих материалов, включая устойчивость к выветриванию [1-4]. Кандзи [5] опубликовал синтетическое исследование литературы и физико-механических свойств мягких пород, включая калькарениты и другие литотипы, демонстрирующее объективные проблемы в использовании современных и широко распространенных методов их классификации и характеристики.

Строение пор калькаренитов сложное, поскольку они представляют собой аллохимические зернистые породы, в основном состоящие из ископаемого материала, интракластов, ооидов и пелоидов, которые внедрены в микритовую матрицу и цемент. Цемент преимущественно состоит из раннего диагенетического кальцита, неоморфного микроспарита и в меньшей степени позднего диагенетического кальцита в форме спарита, т.е. крупнокристаллического кальцита, который заполняет поровое пространство. Несмотря на сложные текстуру и строение пор, многие авторы сходятся во мнении, что эти материалы характеризуются открытой пористостью, хотя она и имеет двойной тип из-за наличия как микро-, так и макропор [6]. Действительно, очень открытая пористая текстура подтверждается многочисленными комбинациями 2D-, 3D-исследований и простых испытаний насыщения водой под вакуумом [2, 7]. Напротив, Феста и др. [8] предполагают преобладание сети закрытых пор, состоящей из внутризеренных и меньше внутриполостных пор и отдельных каверн, хотя это утверждение основано на петрографических 2D-исследованиях шлифов и спорных геотехнических данных, полученных и интерпретированных сомнительным образом [9]. Кроме того, недавние исследования физических и механических свойств некоторых плио-плейстоценовых литофаций калькаренитов, обнажающихся в Апулии и Базиликате, показали различные механизмы ослабления материала при краткосрочном и долгосрочном взаимодействии с водой и проводились с использованием сканирующего электронного микроскопа (СЭМ), ртутной интрузионной порометрии (РИП), анализов шлифов и рентгеновской микрокомпьютерной томографии (МКТ) [1, 2, 7]. Этим сложным механизмам для развития требуются высокооткрытые пористые текстуры и особые типы связности.

Калькарениты распространены по всему миру. Их происхождение обычно связывают с осадочными и диагенетическими процессами как в современных, так и в древних морских и неморских средах. Благодаря пористости и проницаемости они прекрасно аккумулируют жидкости, обладают дренажными свойствами, характерными для важных углеводородных и водных систем в Северной Африке, на Аравийском п-ове, в Мексике, Австралии, Северном море и Средиземноморском бассейне, включая некоторые районы Южной Италии. В Апулии и Базиликате калькаренитовые толщи в особенности обнажаются вдоль береговой линии и внутреннего края Мурдже, по склонам холмов, уступам долин и стенкам карьеров (рис.1). Калькарениты принадлежат в основном свите Calcarenite di Gravina (средний плиоцен – нижний плейстоцен) и состоят из мелко-, средне- и крупнозернистых пакстоунов и грейнстоунов [2, 10]. Олигоцен-миоценовые отложения открытого шельфа, принадлежащие к свитам Calcareniti di Porto Badisco (верхний олигоцен), Lecce (верхний олигоцен – нижний миоцен) и Pietra Leccese (верхний бурдигал – нижний мессин), широко обнажены на п-ове Саленто (Южная Апулия). В частности, свита Pietra Leccese представлена пористыми биомикритами, мелко- и среднезернистыми пакстоунами-вакстоунами, широко использовавшимися как каменный материал для архитектурного наследия барокко на п-ове Саленто [11, 12]. Можно утверждать, что калькарениты имеют заслуживающее внимания историческое значение, связанное не только с продолжительным использованием их в качестве строительного материала, но и с тем, что древние жилища, скальные церкви, убежища животных и подземные пещеры рыли в этой породе с доисторических времен. Кроме того, калькарениты играют важную роль в формировании ключевых гидрогеологических объектов, которые контролируют пополнение подземных вод и перенос загрязняющих веществ в многослойной системе, включающей широкий глубокий водоносный горизонт, расположенный в мезозойском карбонатном фундаменте [2, 13, 14].

Рис.1. Районы разработки калькаренитов в Апулии и Базиликате (а); выходы четвертичных калькаренитов у стен древнего карьера (б), Поджорсини, местность Гроттеллине, Апулия

Целью исследования являются как новые экспериментальные физические и механические данные о свойствах калькаренитовых пород, так и критический обзор существующей литературы. Используя комбинацию стандартных и нетрадиционных методов испытаний, работа не только представляет новые результаты, но и критически изучает и уточняет существующие концепции в конкретной области. Обзор недавних и исторических исследований, наряду с новыми экспериментальными данными, предполагает, что некоторые фундаментальные концепции, касающиеся физических и механических свойств калькаренитов, требуют уточнения. Анализ подчеркивает связь между этими свойствами и седиментационными, диагенетическими характеристиками калькаренитов, уделяя особое внимание текстурным и структурным особенностям и предлагая новое понимание их свойств. Эти сведения необходимы для широкого спектра геоинженерных работ, особенно в гидрогеологии и вопросах стабильности построек, а также для реставрации и консервации как современных сооружений, так и исторического, художественного наследия.

Методы

Новые экспериментальные результаты анализа калькаренитов из Апулии и Базиликаты и данные предыдущих исследований тех же комплексов и других подобных калькаренитов, обнажающихся в различных регионах, использованы для демонстрации текстурных элементов, которые влияют на механические и физические свойства мягких карбонатных пород. По итогам сравнения и объединения результатов, полученных в рамках настоящего исследования, с литературными данными проведена критическая оценка петрофизических и механических свойств этих материалов, подходящая для поиска соотношений различных параметров и определения восприимчивости породы к выветриванию.

В исследовании применялся междисциплинарный подход с использованием как традиционных, так и новых экспериментальных методов. Отобрано 127 блоков калькаренита из карьеров и естественных обнажений в Апулии и Базиликате. В частности, кубические блоки, принадлежащие к свите Calcarenite di Gravina, взяты из карьеров Альтамура, Каноза-ди-Пулья, Гравина-ин-Пулья, Массафра, Матера, Минервино Мурдже, Монтескальозо и Поджорсини. Многогранные блоки, принадлежащие к той же свите, взяты из свежих обнажений на участках Моттола, Монополи и Полиньяно-а-Маре. Кубические блоки, принадлежащие к свите Pietra Leccese, взяты из карьеров Курси и Мельпиньяно. Кроме того, для исследования строения горных пород с помощью оптической поляризационной микроскопии в проходящем свете подготовлены стандартные шлифы. В соответствии со стандартом ASTM D4543-19 подготовлены цилиндры круглого сечения диаметром 54 мм. Соотношения длины образца к диаметру составляли от 2,0:1 до 2,5:1. Кажущаяся плотность как в сухом, так и в насыщенном водой состоянии рассчитывалась по соотношению массы к объему в соответствии с методом B стандарта ASTM D7263-16. Определение эффективной пористости образцов получено с использованием метода погружения в воду в соответствии с работами [2, 9]. Для эксперимента требуются аналитические весы грузоподъемностью 2000 г и точностью до одной тысячной для гидростатического взвешивания, цифровая водяная баня, вакуумный насос и вакуумная сушилка. Вначале образцы взвешиваются на воздухе, а затем в дистиллированной воде при температуре 20 °C в течение 48 ч. Это среднестатистическое время, необходимое для получения кажущегося постоянного значения гидростатического взвешивания. На втором этапе эксперимента образцы полностью насыщаются под вакуумом (80 кПа) без извлечения из водяной бани. Этот метод также позволяет определить водопоглощение и степень насыщения. Полное насыщение (Sr = 100 %) достигнуто практически для всех изученных фаций.

Процедура измерения прочности при одноосном сжатии (ПЖ) выполнялась на сухих и насыщенных образцах в соответствии с предложенным Международным обществом механики горных пород методом для неповрежденных пород [15], путем приложения нагрузки с постоянной скоростью напряжения 0,2 МПа/с. Низкая скорость нагрузки выбрана для того, чтобы лучше изучить процесс до разрушения и деформационные свойства этих мягких горных пород. Модуль упругости получен испытанием ПЖ на сухих образцах из наклона кривых напряжение – деформация по касательному модулю (Et). Из цилиндрических образцов изготовлены шайбы (диаметр 54 мм, отношение высоты к диаметру – 0,5:1) для косвенного испытания прочности на растяжение (бразильское испытание). Для испытания молотком Шмидта использовались кубические (370×150×110 мм) и многогранные (около 1,75 дм3) блоки. Согласно Айдину [16], использовался молоток типа N. Испытания на водопроницаемость проходили в специально построенной камере на цилиндрических образцах породы (диаметр 71 мм, высота 140 мм) с использованием метода убывающего напора. Гидравлическая проводимость k20, нормированная при 20 °C, оценивалась для диапазона гидравлических градиентов от 0,5 до 15 (рис.2). Тепловые свойства калькаренитов получены путем измерения коэффициента линейного теплового расширения αl на основе измерений изменения механической длины при 20, 40, 60 и 80 °C на стержнях породы размером 350×15×15 мм по Попову и др. [17]. Теплопроводность l в переменном режиме получена на двух образцах для каждого исследованного участка с помощью экспериментального метода «вырезанного керна» [18]; измерения проводились на одних и тех же образцах сначала в сухом, затем в насыщенном состоянии.

Рис.2. Схема прибора для испытания водопроницаемости (а); камера для определения проницаемости цилиндрических образцов породы и приготовленные в лаборатории поперечные и продольные срезы образцов (б)

Результаты

В табл.1 обобщены основные результаты испытаний калькаренитов из Апулии и Базиликаты, проанализированные в настоящем исследовании.

Таблица 1

Физико-механические свойства калькаренитов из Апулии и Базиликаты

Свойства

Свита Calcarenite di Gravina

Свита Pietra Leccese

Удельный вес Gs (средний)

2,70

2,70

Плотность (сухой) γd, кН/м3

12,0-18,2

15,3-19,0

Плотность (насыщенный) γs, кН/м3

17,6-21,5

19,6-22,0

Общая пористость n, %

33-56

30-43

Водопоглощение wa, %

18-46

16-28

Степень насыщения Sr, %

100

100

Гидравлическая проводимость k20, 10–5·м/с

1,2-14,0

4,5-7,5

Линейное тепловое расширение al, 10–6·K–1

1,95-3,50

3,34-5,21

Теплопроводность (сухой) λd, Вт·м–1·K–1

0,61-1,13

0,64-1,10

Теплопроводность (насыщенный) λs, Вт·м–1·K–1

1,12-1,64

0,82-1,53

Прочность на сжатие (сухой) σn, МПа

1,1-7,3

12,8-23,4

Касательный модуль (сухой) Et, ГПа

0,5-10

3,5-14

Прочность на сжатие (насыщенный) σs, МПа

0,7-4,9

7,1-12,2

Косвенная прочность на растяжение (сухой) σtd, МПа

0,11-1,1

1,2-2,7

Косвенная прочность на растяжение (насыщенный) σts, МПа

0,08-0,8

0,42-1,5

Число отскоков молотка Шмидта (сухой) Rl

0

10-24

На рис.3, а, б показаны результаты испытания на одноосное сжатие для образцов из свит Calcarenite di Gravina и Pietra Leccese с точки зрения прочности как функции единицы объема. На рис.3, в, г показаны результаты бразильского испытания на прочность на растяжение для образцов из тех же свит, при этом результаты, полученные для сухих и насыщенных образцов, различаются.

Рис.3. График зависимости прочности на одноосное сжатие от удельного веса для образцов из свит

Calcarenite di Gravina (а) и Pietra Leccese (б); график зависимости прочности на растяжение от удельного веса для образцов из Calcarenite di Gravina (в) и Pietra Leccese (г)

♦ – сухие образцы; • – насыщенные образцы

Обсуждение

Петрофизические свойства. Калькаренит – это обломочный известняк с размером зерен преимущественно 0,0063-2,00 мм. Согласно Фолку [19], это карбонатный песчаник, состоящий из каркаса зерен кальцита или арагонита, аллохемов. Основные аллохемы состоят из биокластов, гранул, ооидов и интракластов. Пространства между зернами частично или полностью заполнены микритовой матрицей и/или спаритовым цементом. Микритовая матрица представляет собой микрокристаллическую известковую массу с размером частиц менее 30 мкм. Она может быть результатом биологической и/или физической эрозии более крупных карбонатных зерен, посмертного распада арагонитовых известковых водорослей, неорганического осаждения из насыщенных карбонатом вод и биохимического осаждения в результате деятельности водорослей. Везде, где карбонатная матрица затронута процессами перекристаллизации и неоморфизма, ее называют «микрошпат», он встречается в виде мелкозернистых микрокристаллов кальцита размером 4-10 мкм, однородных по форме и размеру. Спаритовый или шпатовидно-карбонатный цемент образуется путем осаждения кальцита из богатых карбонатом растворов, проходящих через поровые пространства в осадочных породах. Он состоит из крупных кристаллов кальцита размером 0,03-1,0 мм, возникающих после осаждения или сразу после захоронения (ранний диагенез), а также спустя долгое время после осаждения и во время захоронения (поздний диагенез). Карбонатные цементы можно подразделить на многочисленные значимые типы на основе соотношения Mg/Ca и солености раствора.

Как правило, блочный или мозаичный цемент, который образуется в пресноводной и фреатической среде, широко распространен в литофациях, характеризующихся самыми высокими значениями ПЖ и/или косвенно испытанной прочности на растяжение (КПР). В Средиземноморском бассейне большинство поверхностей субаэральных выходов в калькаренитовых толщах встречаются вдоль обнажений морских или долинных уступов и стенок карьеров. В основном это массивные слоисто- или среднеслоистые хорошо отсортированные калькарениты, накопленные в прибрежной зоне пляжа и прибрежных обстановках. Обстановки включают разнообразные физические и биологические процессы, которые порождают осадочные фации, текстурно и структурно отличные и обусловленные рельефом подстилающих коренных пород.

После осаждения, из-за диагенетических процессов, таких как уплотнение, цементация, растворение, перекристаллизация, происходят изменения или облитерации ранее существовавших структур. Распределение пор по размерам, типы пор, топология поровой сети и физические параметры калькаренитов являются результатом как осадочных, так и постседиментационных процессов, включая диагенез и выветривание. Следовательно, поровая система в калькаренитовых породах очень сложна из-за мелкомасштабных фациальных неоднородностей, которые приводят к совместному присутствию как эффективной, так и закрытой пористости, даже если последняя развита меньше или отсутствует. Кроме того, открытая пористость характеризуется в масштабе образца широким диапазоном размеров и типов пор, включая крупные и средние капиллярные поры, а также поры с вовлеченным воздухом, согласно Миндесу и др. [20], и показывает равномерную связность в поровой системе. Поровая структура состоит из сложных и извилистых сетей. В основном это система межзерновых, внутризерновых, внутриполостных, кавернозных, высверленных, норовых и цементно-матричных межкристаллических пор, согласно Шокетту и Прею [21], связанных поровыми каналами, в которых могут встречаться микротрещины (сквозные поры). Размеры и распределение поровых каналов зависят от уплотнения и расположения зерен, размеров, форм зерен и кристаллов, а также энергии осаждения. Обычно они находятся в диапазоне от 0,01 до 5 мкм, хотя микротрещины могут быть больше 63 мкм. Каналы и межкристаллические поры оцениваются с помощью измерений капиллярного давления, поскольку часто слишком малы для шлифового анализа [22].

Преобладающие типы пор различны для разных фаций, но можно утверждать, что межзерновые, внутризерновые и межкристаллические поры присутствуют везде. В частности, поры в структуре почти всех литофаций в Апулии и Базиликате, особенно в породах свиты Calcarenite di Gravina, взаимосвязаны и непрерывны. Это сопряжено с тем, что для наиболее распространенных литофаций, принадлежащих к свите Calcarenite di Gravina (мелкозернистый биокластический вакстоун, среднезернистый биокластический или биолитокластический пакстоун, средне- и крупнозернистый биокластический или биолитокластический грейнстоун), степень уплотнения низкая из-за раннего диагенеза, произошедшего во время или вскоре после отложения (рис.4). Поэтому осаждение цемента начинается на ранних стадиях уплотнения или даже до того, как захоронение вызывает повышение давления и температуры. Неудивительно, что ранний менисковый карбонатный цемент присутствует на контактах зерен во многих калькаренитовых литофациях в Апулии и Базиликате. Этот тип цемента дополняется кромкой из мелких кристаллов кальцита на поверхности зерен, в некоторых местах окруженных скаленоэдрическими или ромбоэдрическими удлиненными кристаллами и микрокристаллами (цемент «собачий клык»). Из этого следует, что низкая степень уплотнения и редкая цементация приводят к высокой связности поровой сети и, следовательно, к масштабной эффективной или открытой пористости и редкой или отсутствующей закрытой пористости. Единственным исключением являются промежутки каличе и рудстоуна, где поры закупорены вадозовым блочным карбонатным цементом с низким содержанием Mg, хотя по мнению Райта [23] каличе следует рассматривать отдельно от известковых туфов и подобных материалов.

Принимая во внимание конкретно свиты Pietra Leccese (мелко- и среднезернистый биокластический вакстоун, мелко- и среднезернистый биокластический пакстоун) и Calcarenite di Gravina (биокластический пакстоун с преобладанием ила), поровая сеть включает внутризерновые поры и в подчиненном количестве внутриполостные и кавернозные поры. Несмотря на то, что эти литофации в основном характеризуются мелкозернистым песком и поровой структурой с немалым содержанием мелких частиц, можно утверждать, что открытая пористость (взаимосвязанные и доступные поры) обеспечивает важный вклад в общую пористость, в то время как закрытая пористость – очень редка или отсутствует из-за редкой постседиментационной цементации, согласно результатам испытаний на насыщение. В частности, в наиболее распространенных и известных литофациях свиты Pietra Leccese хотя и присутствует множество внутризерновых пор, состоящих из внутренних камер фораминифер, открытая пористость немного меньше или равна общей пористости. Взаимосвязь поровой сети обусловлена межкристаллическими порами и микротрещинами. Последние возникают во время диагенетических фаз захоронения, в основном в межзерновом шпатовом цементе. На рис.5, а представлены результаты экспериментального испытания на насыщение, предложенного в качестве дополнения к стандартному методу по ASTM D2216-19, для погруженного образца биокластического пакстоуна с преобладанием ила из Массафры, карьер Капрочетта (Апулия).

Рис.4. Макроскопический (а) и микроскопический (б) виды (микрофотографии в плоскополяризованном свете) среднезернистого калькаренита Монтескальозо, карьер Бонгермино, Базиликата

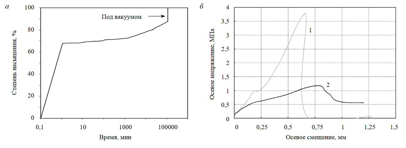
Рис.5. Зависимость степени насыщения от времени, определенная с помощью испытаний на насыщение погруженных в воду образцов калькаренита (а); кривые напряжения и деформации, полученные в результате испытания на одноосное сжатие с сервоуправлением (б); образцы из свиты Calcarenite di Gravina, карьер Капрочетта, Массафра, Апулия

1 – образец в сухом состоянии; 2 – образец в условиях насыщения

Для этого погруженного образца при оказываемом только выталкивающей силой давлении получена степень насыщения 88 %. Однако поглощение дополнительной воды при погружении в условиях вакуума (80 кПа) приводит к полному насыщению (Sr = 100 %), что демонстрирует полную взаимосвязь и доступность пор. Кроме того, при давлении, оказываемом только выталкивающей силой, испытанный образец поглощает большую часть воды за несколько минут (68 % примерно за 2 мин), после чего объем поглощенной воды растет очень медленно.

Другие литофации калькаренита показали схожие тенденции. Многие предыдущие исследования с помощью жидкостной интрузии (например, РИП) отдельно или в сочетании с такими методами, как анализ изображений и СФЕ (смешанные фрактальные единицы) или МКТ (рентгеновская микрокомпьютерная томография) и ИКТ (инфракрасная термография), не говоря о других [1, 2, 7, 24, 25], продемонстрировали значительно или полностью открытую пористость этих материалов. Закрытые поры могут сформироваться в процессе рекристаллизации, которая сильно изменяет структуру материалов из-за длительного диагенеза, что приводит к увеличению жесткости и прочности. Недавно интересный подход был представлен Чантия и др. [7], авторы использовали литофации калькаренита из разрабатываемых месторождений в Апулии для реконструкции трехмерных текстур с помощью РИП, СЭМ и рентгеновской МКТ.

Строение пор и извилистость поровых каналов отвечают за способность калькаренитов удерживать и передавать воду или другие жидкости, а также проводить, распространять и аккумулировать тепло как в насыщенном, так и в ненасыщенном состоянии. В мезоскопическом масштабе пористость калькаренитов первична и контролируется текстурой, структурная пористость ограничивается синседиментационными и постседиментационными структурами, включая слоистость, биотурбации и микротрещины. Теоретическая база, которую можно использовать для исследования гидравлических свойств калькаренитовых пород в ненасыщенном состоянии, основана на модели пучка пор и концепции двойной пористости в условиях равновесия в испытании инфильтрации с убывающим напором с использованием адвективно-диффузионных форм уравнения Ричардса [6].

В масштабе массива горных пород как первичная, так и вторичная пористость могут играть важную роль в определении общей пористости. В связи с этим необходимо рассмотреть два типа пористости – текстурную и структурную. Текстурная зависит от природы (тип биокластов, литокласты и т.д.), расположения и взаимосвязи зерен. Структурная связана с макроскопическими неслучайными разрывами, например карстовыми образованиями, трещинами и разломами. За исключением некоторых крупнозернистых литофаций калькаренита с высокими значениями гидравлической проводимости воды, наиболее распространенные литофации, обнажающиеся в Апулии и Базиликате, имеют умеренную водопроницаемость. В системах карбонатных пор эффективность типа пор и сложные поровые сети могут объяснить низкую корреляцию между пористостью и проницаемостью.

В лабораторном масштабе гидравлическая проводимость калькаренитов Апулии и Базиликаты в значительной степени зависит от количества и типа цемента, а также распределения пор по размерам, которое, в свою очередь, зависит от распределения по размерам, формы зерен и структуры породы. Иными словами, чем мельче зерна, тем меньше средний размер пор и тем ниже гидравлическая проводимость. Таким образом, калькарениты Апулии и Базиликаты в основном характеризуются сетями открытых пор, а проницаемость не зависит от соотношения между закрытой и открытой пористостью, но она обусловлена структурой пор, включая соотношение между литокластами и биокластами, таксономическими группами и первичной минералогией биокластов, а также типом и распределением микрита и цемента. Конкретнее, биокластовый пакстоун с преобладанием ила и биокластовый вакстоун плио-четвертичных калькаренитов характеризуются более низкой гидравлической проводимостью по сравнению с литофациями грейнстоуна и пакстоуна, в основном из-за широкого распространения пор (бимодальных и исключительно тримодальных), которые включают длинные «хвосты» крупных и средних капиллярных пор, согласно Миндесу и др. [20]. В частности, это открытые межкристаллические поры внутри микрита и цемента, невидимые или едва заметные при разрешении оптического микроскопа, обычно используемого для исследования шлифов. Поэтому большая или меньшая гидравлическая проводимость калькаренитов Апулии и Базиликаты, полученная в результате прямых лабораторных измерений на различных литофациях, не должна объясняться четким и разнообразным весом образцов при оценке закрытой и открытой пористости. Она в значительной степени зависит от соотношения между капиллярными и воздушными порами. Иными словами, гидравлическая проводимость выше для литофаций, в которых крупные «хвосты» некапиллярных пор (медленно дренирующие и быстро дренирующие поры) присутствуют на кривых распределения пор. Напротив, гидравлическая проводимость ниже у литофаций с длинными «хвостами» капиллярных пор [6].

Заметное присутствие капиллярных (внутризерновых и межкристаллических) пор в литофациях калькаренитов свиты Pietra Leccese объясняет более низкие значения гидравлической проводимости, чем у основных литофаций плиоцен-четвертичных калькаренитов, хотя обе геологические формации характеризуются открытой пористостью. Для литофаций свиты Pietra Leccese способность пропускать флюиды через поровую сеть зависит от уплотнения, распределения зерен по размерам, включая размеры зерен цемента, которые, в свою очередь, влияют на распределение размера пор в этих породах.

Общая пористость и ее тип также влияют на тепловые свойства данных материалов: способность проводить, распространять и аккумулировать тепло низкая, и это свойство более выражено у плиоценовых фаций (Calcarenite di Gravina), чем у миоценовых (Pietra Leccese). В целом, теплопроводность и тепловая диффузия сухих калькаренитов в первую очередь определяются пористостью: они снижаются по мере увеличения пористости и уменьшения степени уплотнения. Обычно заметного прямого влияния размера зерен и пор на тепловые свойства не наблюдается. Напротив, при более высокой степени цементации отмечаются более высокие значения тепловых свойств. Влияние открытой и закрытой пористости на тепловые свойства этих материалов все еще остается невыясненным, хотя теплопроводность и тепловая диффузия калькаренитов с пористой структурой, содержащей закрытые поры, при прочих равных условиях должны быть выше, чем у калькаренитов с открытопористой структурой. До настоящего времени ни одно исследование не изучало этот вопрос для калькаренитов из Апулии и Базиликаты, поскольку пористость этих материалов по существу открытая, что широко освещено в специальной литературе. Кроме того, увеличение теплопроводности и уменьшение тепловой диффузии обнаруживается во всех литофациях с увеличением содержания воды. Таким образом, при одинаковой пористости в условиях насыщения водой теплопроводность и удельная теплоемкость увеличиваются, а тепловая диффузия уменьшается. Эстетическая привлекательность и изоляционные свойства делают эти материалы и сегодня ценными для строительных задач.

Механические свойства.Согласно инженерной классификации пород на основе ПЖ и модуля упругости целых лабораторных образцов, разработанной Диром и Миллером [26], основные литофации калькаренита из Апулии и Базиликаты относятся к классу очень низкой прочности. Их можно считать мягкими породами: прочность на основе ПЖ в сухом состоянии, как правило, менее 25 МПа. В среднем свита Pietra Leccese имеет более высокие значения ПЖ, чем свита Calcarenite di Gravina, из-за более высокой степени уплотнения, большего диапазона распределения карбонатного цемента, в частности зернистого кальцита (хотя и меньшего размера, микрошпата). Для свиты Calcarenite di Gravina положительная корреляция между плотностью в сухом состоянии или уплотнением зерен и ПЖ не всегда верна. Как правило, тип и количество карбонатного цемента контролируют общую прочность материала, однако трудно количественно оценить вклад каждого элемента. На основании практического опыта, описанного в предыдущих работах, можно сделать вывод, что пакстоуны с преобладанием ила и мелко-, среднезернистые биокластовые вакстоуны с обилием микрошпата, а также средне- или крупнозернистые литофации с друзовым, зернистым или блочным цементом имеют самые высокие значения ПЖ и КПР.

В массиве горных пород сложные зависящие от времени и пространственно изменчивые физико-механические свойства связаны с крупнозернистыми литофациями из-за неоднородного пространственного распределения цемента, значительно более распространенного в верхних уровнях обнажений. Что касается свиты Calcarenite di Gravina, наиболее важными в исторической ретроспективе типами калькаренита для использования в качестве декоративного и строительного камня являются средне- или средне-мелкозернистые пакстоуны или грейнстоуны, характеризующиеся в сухом состоянии ПЖ в диапазоне 3-7 МПа и ПЖ/КПР от 7,5 до 9,0. Последние, как правило, ограничиваются более прочными типами [2, 9]. Кривые напряжения деформации описывают хрупкий материал и демонстрируют линейные и упругие свойства вплоть до точки текучести, которая отмечает начало прогрессирующего разрыва цементных связей, а объемная деформация сжатия становится нелинейной и обычно пластичной [2].

Предел текучести не всегда четко определен, особенно когда начальная часть кривой отклоняется от прямой пропорциональности, а наклон кривой изменяется из-за неравномерного распределения цемента и небольших частичных разрушений в образцах. После достижения предела текучести наклон кривой уменьшается до тех пор, пока не достигает четко выраженного пика, а затем происходит деформационное размягчение (рис.5, б). Характер каждой кривой сильно зависит от цементации, которая преодолевает влияние других элементов структуры. Образцы с однородным распределением цемента и однородной структурой характеризуются протяженной поверхностью разрушения, распространяющейся в направлении приложения максимальной нагрузки. Извилистые или неравномерные поверхности разрушения или две-три пересекающиеся поверхности разрушения могут быть отнесены к анизотропии образцов из-за кластеров с более высокой степенью уплотнения зерен или скоростью цементации.

Как правило, поверхности разрушения проходят через поровое пространство, включающее цемент, без пересечения зерен, несмотря на наличие мелких оболочек (рис.6). Распространение трещин не транскристаллическое (между зернами или вдоль границ зерен), а включает оболочки в фациях с обильным цементом поздней генерации. Особенно важно отметить влияние содержания воды на механические свойства пород, поскольку с увеличением степени насыщения прочность калькаренита по показателям ПЖ и КПР значительно уменьшается, вплоть до снижения более чем на 45 % в условиях насыщения (Sr = 100 %) по отношению к сухому материалу [2, 7]. Таким образом, присутствие воды в порах и способность удерживать ее в поровой сети (последнее напрямую связано с распределением пор по размерам) сильно влияют на механические свойства материалов, при этом прочность и жесткость значительно уменьшаются при переходе от сухих к насыщенным условиям (см. рис.5, б). Кроме того, слабосцементированные калькарениты очень интересны с точки зрения механических свойств, поскольку подвержены хрупкой деформации в сухом состоянии, а также пластичной или псевдопластичной деформации и большему снижению ПЖ или КПР в насыщенных образцах. Материалы характеризуются наличием только раннего карбонатного цемента и широким диапазоном размеров пор, включая капиллярные и некапиллярные поры, поскольку открытая пористость и распределение пор по размерам влияют на поглощение и удержание воды породами. Таким образом, на механические свойства калькаренитов в основном влияют тип, количество цемента и наличие в порах воды [2, 7].

Рис.6. Виды плоскости разрушения образца калькаренита, относящегося к плио-четвертичным калькаренитам (карьер Папапьетро, Монтескальозо, Базиликата): а – микрофотография шлифа в плоскополяризованном свете (2х); б – увеличение (10х) кадра микрофотографии (мелкие оболочки вдоль плоскости разрушения остались целыми); в – срез образца для косвенного испытания на прочность на растяжение и полированная пластина, взятая для шлифа из того же куска породы

Мелкозернистые литофации способны удерживать воду во время испытаний ПЖ и КПР, поддерживая высокую степень насыщения. Крупно- и среднезернистые фации могут внезапно пропускать воду во время испытаний ПЖ или КПР, особенно когда в них присутствует большой процент взаимосвязанных мезо- и макропор с высокими значениями гидравлической проводимости. Воздействие воды на механические свойства этих литофаций меньше, чем других.

Чантия и др. [7] удачно объяснили и продемонстрировали с помощью серии новых и неклассифицированных испытаний различные механизмы нарушения связности при кратковременном и долгосрочном погружении в воду. Их исследование показывает, что гидро-химико-механическое ослабление калькаренитов связано как со временной (синседиментационный цемент), так и с постоянной (диагенетический цемент) связностью. Они утверждают, что насыщение образцов калькаренита не имеет краткосрочного влияния на диагенетический цемент. Это позволяет сделать три важных вывода. Во-первых, сильное ослабление материала при кратковременном погружении в воду – типичная ситуация, которая возникает во время лабораторных механических испытаний, характерна только для фаций, в которых присутствует почти исключительно цемент первого поколения. Во-вторых, для калькаренитовых скальных массивов надо учитывать влияние химического растворения диагенетического цемента при долгосрочном погружении в воду, механизм, который увеличивает скорость подвижек и эволюцию повреждений. И наконец, долгосрочное химическое растворение кальцитового цемента является основным фактором, влияющим на механическое поведение калькаренитов.

Что касается олиго-миоценовых литофаций, то для них характерны более низкие общая пористость и проницаемость и более высокая общая прочность, чем для литофаций плио-четвертичного периода. Эти литофации характеризуются высокой степенью уплотнения и более широким распространением карбонатного цемента, в частности микрошпата. Тем не менее, для этих материалов не всегда подтверждается положительная корреляция между ПЖ/КПР и плотностью в сухом состоянии или уплотнением зерен. Из этого следует, что основными факторами, влияющими на физические и механические свойства этих материалов, являются количество и тип цемента, распределение пор по размерам. Стоит упомянуть фацию Piromafo, зеленовато-коричневый или зеленовато-серый мелко-среднезернистый глауконитовый и фосфатный биомикрит с макроископаемыми, в частности двустворчатыми и брюхоногими моллюсками, встречающийся в верхней части свиты Pietra Leccese. Фация Piromafo характеризуется более низкой способностью проводить и распространять тепло и более высокой огнестойкостью по сравнению с другими литофациями свиты Pietra Leccese. Эта особенность может быть обусловлена уже химическим и минералогическим составом материала в нерастворимом остатке, а не различиями в пористости или топологии поровой сети и распределением пор по размерам.

Заключительным наблюдением является больший разброс значений прочности на одноосное сжатие и растяжение в свите Calcarenite di Gravina по сравнению с Pietra Leccese. Calcarenite di Gravina – чрезвычайно неоднородная свита с точки зрения текстуры и микроструктуры. Она включает как высокоэнергетические умеренно-водные биокластические, так и смешанные биокластическо-литокластические калькарениты из береговых, прибрежных и морских зон в связи с высокочастотными изменениями уровня моря. В частности, литокласты происходят из меловой известняковой коренной породы. Их принесли на береговую линию пересыхающие реки. Напротив, свита Pietra Leccese – это однородный планктонный фораминиферовый биомикрит, обычно отлагающийся в мелководно-морских обстановках.

На основании изложенных соображений и критического обзора данных, представленных в научной литературе, а также личного опыта, можно предложить новую геотехническую классификацию калькаренитов, использующую значения ПЖ в сухом состоянии, описание структуры и степень цементации, а также поведение материала под действием напряжений и деформаций в сухом и насыщенном состоянии (табл.2). В частности, поведение калькаренитов из Апулии и Базиликаты под действием напряжений и деформаций изучено в рамках проекта сотрудничества с участием исследователей и технических специалистов Университета им. Альдо Моро в Бари и Национального исследовательского совета (CNR)-IRPI Департамента Бари. За последнее десятилетие в рамках исследовательской деятельности 484 образца, принадлежащих к основным литофациям калькаренитов из Апулии и Базиликаты, классифицированы с помощью петрофизических и механических испытаний в геотехнической лаборатории Университета Бари и геотехнической и геомеханической лаборатории CNR-IRPI. В дополнение к анализу структуры для каждой фации проведены испытания ПЖ и КПР в сухом и насыщенном состоянии, при этом скорость вертикального смещения, измеренная с помощью датчиков смещения, устанавливалась на уровне 1,0 мкм/с, а осевое напряжение измерялось с помощью тензодатчика. Наиболее важная граница пролегает между очень мягкими и мягкими калькаренитами, она отмечена значением ПЖ в сухом состоянии 5 МПа. Ниже этого значения калькарениты хрупкие в сухом состоянии и псевдопластичные или пластичные в насыщенном состоянии. Выше – напряженно-деформационные свойства калькаренитов схожи в сухом и насыщенном состояниях, хотя значение ПЖ в насыщенном состоянии значительно ниже, чем в сухом. Общая прочность калькаренитов в основном контролируется типом и количеством карбонатного цемента, содержанием воды или степенью насыщения и распределением пор по размерам, для чего полезно статистически рассмотреть пространственные тенденции зависимой случайной величины от одной или нескольких независимых случайных величин. Новые исследования свойств материалов могут развиваться в данном направлении.

Выветривание и прочность. При прочих равных условиях, общая прочность и структура пор оказывают наибольшее влияние на выветривание горных пород и долговечность камня. В прочности основополагающую роль играет предел прочности на разрыв, который представляет собой связную прочность материалов и сопоставим с давлением кристаллизации. Кроме того, предел прочности на разрыв тесно связан с особенностями структуры горных пород и, особенно для лито- и/или биокластовых карбонатных материалов, может рассматриваться как прямое выражение количества, типа и распределения цемента. Наиболее опасные процессы выветривания в калькаренитах развиваются в присутствии воды: замерзание/оттаивание, кристаллизация соли, а также растворение материала и биодеградация [9, 24, 27].

Кроме того, эти процессы зависят от скорости инфильтрации, гидродинамических свойств движения, поглощения и удержания воды. Также следует учитывать, что в поровом пространстве могут находиться все три фазы воды (пар, жидкость и лед). Поэтому анализ и характеристика взаимодействия между горной породой и водой играют фундаментальную роль в выяснении причин выветривания горной породы или разрушения камня.

Таблица 2

Классификация калькаренитов Апулии и Базиликаты (AC) – Южная Италия

Группа

Диапазон ПЖ в сухом состоянии, МПа

Оценка пород по прочности

Характеристики структуры горных пород

Напряженно-деформационные свойства

AC1

10-25

Умеренно мягкая

Крупно- и среднезернистый пакстоун и грейнстоун, пакстоун с преобладанием глины; друзовый и зернистый цемент, частично и полностью заполняющий пустоты; касательные и длинные контакты между зернами. Мелко- и среднезернистый биокластовый вакстоун и пакстоун с преобладанием глины и песчанистого цемента

Хрупкая при различной водности

AC2

5,0-10

Мягкая

Среднезернистый грейнстоун и пакстоун; цемент с частичным заполнением пустот и выстилающим поры «собачьим клыком»; касательные и длинные контакты между зернами

Хрупкая в сухом состоянии, хрупкая или квази-хрупкая в насыщенном состоянии

AC3

1,0-5,0

Очень мягкая

Крупнозернистый грейнстоун, среднезернистый пак-стоун; редкий цемент, менисковый и микрокристаллический типы; касательные контакты между зернами; средне-мелкозернистый вакстоун с крипто- и/или микрокристаллической основой

Хрупкая в сухом состоянии, пластичная или псевдопластичная в насыщенном состоянии

AC4

0,6-1,0

Чрезвычайно мягкая

Крупнозернистый и среднезернистый пакстоун, очень редкий цемент, микрокристаллический тип; микроспарстоун как результат полной облитерирующей перекристаллизации или замещения; мелкозернистый вакстоун и пакстоун с неравномерным распределением волокнисто-игольчатого цемента и/или прерывистых эпитаксиальных полос; плавающие и касательные контакты между зернами

Хрупкая или квазихрупкая в сухом состоянии, пластичная в насыщенном состоянии

В этой связи поровая структура, с точки зрения распределения пор по размерам, геометрии и топологии поровой сети, представляет собой основной фактор, влияющий на способность калькаренитовой породы поглощать, удерживать воду и, следовательно, выветриваться. В частности, гидравлическая проводимость и удельная площадь поверхности находятся в прямой и обратной зависимости от размера пор. Конденсация и удержание воды внутри пород напрямую связаны с удельной площадью поверхности. В лабораторных исследованиях в масштабе образца отмечалось, что широкий диапазон размеров пор, включающий крепкие крупные и тонкие «хвосты», можно считать важным фактором при оценке атмосферостойкости калькаренитов. Материалы с поровыми сетями крупных пор (до 2,0 мм), связанных со значительным числом пор менее 10 мкм, наиболее подвержены растворению и кристаллизационному выветриванию. Поэтому давление кристаллизации обратно пропорционально размеру пор. Крупные поры обеспечивают проникновение воды в материал, а капиллярные поры удерживают ее. Чем дольше вода остается в материале, тем больше вероятность выветривания. Кроме того, прочность калькаренита на растяжение связана со свойствами цементной связи. Поэтому неравномерно и слабо сцементированные литофации только с ранними цементными каймами, как тонкая корка мелких кристаллов кальцита, растущих на контакте между зернами или на поверхностях стенок пор, особенно подвержены физическому выветриванию. Иными словами, размеры и связанность типа пор с количеством цемента влияют как на гидравлические свойства калькаренитов с точки зрения сорбционной способности, гигроскопичности, водопоглощения и удержания воды, так и на прочность на растяжение. Поэтому подробная информация о поровой структуре и цементации может быть важна для качественной оценки потенциальной атмосферостойкости калькаренитов.

В памятниках и зданиях, построенных из калькаренита, ухудшение состояния блоков кладки зависит от положения. На внешний вид каменных поверхностей влияют воздействие ветра, дождя, влажности и изменение температуры. Кальцит – единственный минерал, который при нагревании расширяется в одном направлении и сжимается в другом, а при охлаждении сжимается вдоль одной оси с и расширяется вдоль других. Все это приводит к возникновению сложных напряжений растяжения, сжатия и сдвига на границах зерен и вызывает микротрещины, которые увеличивают пористость и слияние которых может привести к разрушению блоков. На археологических памятниках часто можно наблюдать трещины, пересекающие блоки кладки, возникшие в результате длительной перегрузки и подвижек (рис.7, а).

Рис.7. Трещины, ячеистые формы и микробный налет на кубических блоках древней стены (а); прогрессирующие обрушения кровли и разрушение столбов и стен, обнаруженные в подземных карьерах (б), Пьетра Кадута, Каноза ди Пулья, Апулия

Типичные примеры разрушения калькаренитовых блоков кладки представлены убылью материала и отслоением, включая разрушение зерен до песка; выламывание плотных фрагментов камня и образование выемок; дифференциальную эрозию, связанную со слоистостью; биотурбацию; альвеолизацию, обычно приписываемую кристаллизации соли; лишайниковые корки и другие явления биодеградации. Особый интерес представляет влияние времени на прочностные и жесткостные свойства калькаренитовых пород в масштабе скального массива (т.е. подвижки). Калькарениты очень часто подвергаются разрушению, вызывающему прогрессирующее ухудшение механических свойств. Во многих местах эти процессы вызывают обрушение скал или подземных полостей, что может привести к гибели людей. Опыт подземных выработок калькаренита показал, что под влиянием подвижек всего скального массива прочность столбов и сводов в карьерах со временем уменьшается [28]. Этот эффект особенно значим во влажных или мокрых местах, а также для мягких пород, подвергающихся гидро- и термоциклированию (рис.7, б).

Выводы

В статье рассматриваются фундаментальные аспекты физико-механических свойств пород калькаренита с помощью новых испытаний и сравнения результатов с имеющимися в литературе. Различные литофации калькаренита из Апулии и Базиликаты подверглись лабораторному анализу. Для описания петрофизических и механических свойств материалов использовались традиционные и нетрадиционные процедуры геотехнических лабораторных испытаний, петрография шлифов и углубленный библиографический анализ. Литературные данные включают результаты исследований, в которых использовались комбинированные методы, такие как интрузия жидкости (РИП), анализ изображений, смешанные фрактальные единицы (СФЕ), рентгеновская микрокомпьютерная томография (МКТ), инфракрасная термография (ИКТ) и др.

Физико-механические свойства карбонатных мягких пород – сложная, но примечательная тема, поскольку задействованы различные факторы с запутанными и порой неочевидными взаимосвязями.

В Средиземноморском бассейне, включая части Южной Италии, калькаренитовые толщи обнажаются вдоль склонов холмов, морских или долинных уступов и стенок карьеров. Эти породы в основном массивно- или среднеслоистые, со значительной текстурной и структурной изменчивостью из-за сложных процессов осадконакопления и постседиментационного диагенеза, подверженные влиянию рельефа подстилающих коренных пород. В пределах одного и того же осадочного тела можно обнаружить различные литофации с различным распределением зерен и пор по размерам, топологией поровой сети и характеристиками связанности.

Недавние петрофизические и механические исследования калькаренитов обеспечили более полное понимание их свойств при различных граничных условиях и степени насыщения. Текущие результаты показывают, что сложные физико-механические свойства калькаренитов контролируются структурой, включая как микроскопическую, так и макроскопическую текстуры и строение. В частности, тип и количество цемента, а также распределение пор по размерам, тесно связанные с распределением зерен по размерам, формой зерен, уплотнением и другими процессами, такими как растворение и перекристаллизация, играют важнейшую роль в определении как деформационно-прочностных характеристик, так и гидравлических свойств материала.

Сложная поровая сеть калькаренитов обусловлена мелкими литофационными неоднородностями, которые приводят к одновременному присутствию как микро-, так и макропор, что подчеркивается бимодальным, а иногда тримодальным распределением пор по размерам. Для калькаренитов из Апулии и Базиликаты сложность поровой структуры связана с преимущественно открытой пористостью, поскольку все поры соединены очень мелкими капилляроподобными путями, известными как поровые каналы, что подтверждают 2D- и 3D-исследования, а также простые испытания насыщением под вакуумом. Исключения возникают из-за вадозных блочных карбонатных цементов с низким содержанием Mg, которые закупоривают поры в промежутках каличе и рудстоуна. При петрографическом анализе с помощью оптического микроскопа, ограниченного разрешением 0,2 мкм, не видно таких деталей строения пор, как поровые каналы и микротрещины, имеющих решающее значение для понимания взаимосвязи пор. Более подробную информацию по данному вопросу, а также о других физико-механических свойствах калькаренитов можно получить, объединив качественные результаты 2D-исследования шлифов и 3D-методов (количественная трехмерная петрография, порометрия и т.д.), сравнив их с данными геотехнических испытаний.

Сложные и извилистые сети пор в некоторых литофациях калькаренита объясняют низкую корреляцию между проницаемостью и пористостью, поскольку способность пропускать жидкость зависит от структуры пор. В частности, бимодальное, а иногда и тримодальное распределение пор по размерам, которое включает крупные и средние капиллярные поры в сочетании с порами с вовлеченным воздухом, безусловно, влияет на гидравлические свойства материала, но в то же время затрудняет фундаментальное понимание процессов дренажа. При одинаковой пористости гидравлические свойства каждой литофации калькаренита сильно зависят от геометрии и топологии сети, а также относительного процентного состава имеющихся пор, т.е. от соотношения капиллярных пор, в которых вода удерживается, и крупных пор, откуда вода изливается под действием силы тяжести. В калькаренитах первичная пористость претерпевает изменения из-за диагенетических процессов после захоронения посредством образования более позднего цемента и постседиментационного растворения. В целом, цементы второго поколения, такие как друзовые, зернистые, блочные и изометричные мозаичные, снижают пористость и проницаемость за счет изменения структуры пор, в частности распределения пор по размерам и связности сети. Эти изменения влияют на инфильтрацию воды, при этом гидравлические свойства, с точки зрения гигроскопичности, сорбционной способности, поглощения и удержания воды, строго контролируются структурой пор, а также типом и количеством карбонатного цемента. Эти свойства и прочность на разрыв, также контролируемая типом и количеством карбонатного цемента, дают качественную оценку потенциальной атмосферостойкости калькаренитов.

Другим важным аспектом, которым не стоит пренебрегать, является влияние содержания воды и степени насыщения на механические свойства материалов. При насыщении большинство калькаренитов демонстрирует снижение ПЖ и прочности на растяжение более чем на 45 % по сравнению с сухим состоянием. Помимо этого, слабосцементированные калькарениты, содержащие только ранний диагенетический цемент, меняют деформационно-прочностные свойства при переходе от сухого состояния к насыщенному, а тип разрушения смещается от хрупкого к псевдовязкому или вязкому.

Закономерности избирательного разрушения, наблюдаемые на обнаженных калькаренитовых блоках, являются результатом сложных химических, физических и биологических процессов. Эти процессы различаются в пространстве и времени в пределах одного объекта из-за таких факторов, как воздействие солнца, влажность, внутренние микро- и мезоскопические структурные характеристики материала. Хотя основные факторы выветривания и можно выявить в рамках данной окружающей обстановки, прогнозирование конкретного воздействия на каменный материал и выдвижение гипотез о его долговечности, скорости разрушения – нетривиальная задача. Не всегда легко связать каждый физический, химический или биологический процесс с закономерностями разрушения или с уверенностью определить влияние на процесс разрушения каждого фактора. Генезис и закономерности разрушения строго контролируются осадочной и диагенетической структурой каменного материала. Связь между определенными неорганическими и органическими осадочными структурами (например, параллельная и перекрестная слоистость, биотурбация) и закономерностями разрушения очевидна в процессах дифференциальной эрозии.

Хотя мы продвинулись в понимании физико-механических свойств калькаренитов, многое еще предстоит изучить в сложных взаимосвязях текстурных и структурных характеристик, а также эксплуатационных характеристиках этих материалов в различных контекстах применения. Будущие исследования должны быть направлены на дальнейшее изучение этих взаимодействий, особенно в области гидрогеологии, в том числе процессы фильтрации и инфильтрации грунтовых вод, а также их роли в строительной геологии и устойчивости подземных пространств и склонов. Помимо исторического использования в качестве природных строительных материалов в знаковых средиземноморских сооружениях, калькарениты продолжают играть важную роль в современном строительстве. Комплексный подход, объединяющий геологические, структурные и экологические факторы, будет иметь решающее значение как для сохранения культурного наследия, так и для разработки устойчивых решений в геоинженерии.

Литература

  1. Ciantia M.O., Castellanza R., Crosta G.B., Hueckel T. Effects of mineral suspension and dissolution on strength and compressibility of soft carbonate rocks // Engineering Geology. 2015. Vol. 184. P. 1-18. DOI: 10.1016/j.enggeo.2014.10.024
  2. Lollino P., Andriani G.F. Role of Brittle Behaviour of Soft Calcarenites Under Low Confinement: Laboratory Observations and Numerical Investigation // Rock Mechanics and Rock Engineering. 2017. Vol. 50. Iss. 7. P. 1863-1882. DOI: 10.1007/s00603-017-1188-0
  3. Zimbardo M. Mechanical behaviour of Palermo and Marsala calcarenites (Sicily), Italy // Engineering Geology. 2016. Vol. 210. P. 57-69. DOI: 10.1016/j.enggeo.2016.06.004
  4. Noël C., Fryer B., Baud P., Violay M. Water weakening and the compressive brittle strength of carbonates: Influence of fracture toughness and static friction // International Journal of Rock Mechanics and Mining Sciences. 2024. Vol. 177. № 105736. DOI: 10.1016/j.ijrmms.2024.105736
  5. Kanji M.A. Critical issues in soft rocks // Journal of Rock Mechanics and Geotechnical Engineering. 2014. Vol. 6. Iss. 3. P. 186-195. DOI: 10.1016/j.jrmge.2014.04.002
  6. Pastore N., Andriani G.F., Cherubini C. et al. Pore network model to predict flow processes in unsaturated calcarenites // Italian Journal of Engineering Geology and Environment. 2024. Special Issue 1. P. 261-273. DOI: 10.4408/IJEGE.2024-01.S-29
  7. Ciantia M.O., Castellanza R., di Prisco C. Experimental Study on the Water-Induced Weakening of Calcarenites // Rock Mechanics and Rock Engineering. 2015. Vol. 48. Iss. 2. P. 441-461. DOI: 10.1007/s00603-014-0603-z
  8. Festa V., Fiore A., Luisi M. et al. Petrographic features influencing basic geotechnical parameters of carbonate soft rocks from Apulia (southern Italy) // Engineering Geology. 2018. Vol. 233. P. 76-97. DOI: 10.1016/j.enggeo.2017.12.009
  9. Andriani G.F. Comment on «Petrographic features influencing basic geotechnical parameters of carbonate soft rocks from Apulia (southern Italy)» [Eng. Geol. 233: 76-97] // Engineering Geology. 2021. Vol. 285. № 106053. DOI: 10.1016/j.enggeo.2021.106053
  10. Bonomo A.E., Munnecke A., Schulbert C., Prosser G. Microfacies analysis and 3D reconstruction of bioturbated sediments in the calcarenite di Gravina formation (southern Italy) // Marine and Petroleum Geology. 2021. Vol. 125. № 104870. DOI: 10.1016/j.marpetgeo.2020.104870
  11. Margiotta S., Sansò P. The Geological Heritage of Otranto – Leuca Coast (Salento, Italy) // Geoheritage. 2014. Vol. 6. Iss. 4. P. 305-316. DOI: 10.1007/s12371-014-0126-8
  12. Calia A., Tabasso M.L., Mecchi A.M., Quarta G. The study of stone for conservation purposes: Lecce stone (southern Italy) // Stone in Historic Buildings: Characterization and Performance. Geological Society of London, 2014. Vol. 391. P. 139-156. DOI: 10.1144/SP391.8
  13. Romanazzi A., Gentile F., Polemio M. Modelling and management of a Mediterranean karstic coastal aquifer under the effects of seawater intrusion and climate change // Environmental Earth Sciences. 2015. Vol. 74. Iss. 1. P. 115-128. DOI: 10.1007/s12665-015-4423-6
  14. Balacco G., Alfio M.R., Parisi A. et al. Application of short time series analysis for the hydrodynamic characterization of a coastal karst aquifer: the Salento aquifer (Southern Italy) // Journal of Hydroinformatics. 2022. Vol. 24. Iss 2. P. 420-443. DOI: 10.2166/hydro.2022.135
  15. Zhilei He, Guoli Wu, Jun Zhu. Mechanical properties of rock under uniaxial compression tests of different control modes and loading rates // Scientific Reports. 2024. Vol. 14. № 2164. DOI: 10.1038/s41598-024-52631-1
  16. Aydin A. ISRM Suggested Method for Determination of the Schmidt Hammer Rebound Hardness: Revised Version // The ISRM Suggested Methods for Rock Characterization, Testing and Monitoring: 2007-2014. Springer, 2015. P. 25-33. DOI: 10.1007/978-3-319-07713-0_2
  17. Popov Y., Beardsmore G., Clauser C., Roy S. ISRM Suggested Methods for Determining Thermal Properties of Rocks from Laboratory Tests at Atmospheric Pressure // Rock Mechanics and Rock Engineering. 2016. Vol. 49. Iss. 10. P. 4179-4207. DOI: 10.1007/s00603-016-1070-5
  18. Mongelli F., Loddo M., Tramacere A. Thermal conductivity, diffusivity and specific heat variation of some Travale field (Tuscany) rocks versus temperature // Tectonophysics. 1982. Vol. 83. Iss. 1-2. P. 33-43. DOI: 10.1016/0040-1951(82)90005-1
  19. Lokier S.W., Al Junaibi M. The petrographic description of carbonate facies: are we all speaking the same language? // Sedimentology. 2016. Vol. 63. Iss. 7. P. 1843-1885. DOI: 10.1111/sed.12293
  20. Karagiannis N., Karoglou M., Bakolas A., Moropoulou A. Building Materials Capillary Rise Coefficient: Concepts, Determination and Parameters Involved // New Approaches to Building Pathology and Durability. Springer, 2016. P. 27-44. DOI: 10.1007/978-981-10-0648-7_2
  21. Dasgupta T., Mukherjee S. Porosity in Carbonates // Sediment Compaction and Applications in Petroleum Geoscience. Springer, 2020. P. 9-18. DOI: 10.1007/978-3-030-13442-6_2
  22. El Sharawy M.S., Gaafar G.R. Pore – Throat size distribution indices and their relationships with the petrophysical properties of conventional and unconventional clastic reservoirs // Marine and Petroleum Geology. 2019. Vol. 99. P. 122-134. DOI: 10.1016/j.marpetgeo.2018.10.006
  23. Nash D.J. Calcretes, Silcretes and Intergrade Duricrusts // Landscapes and Landforms of Botswana. Springer, 2022. P. 223-246. DOI: 10.1007/978-3-030-86102-5_13
  24. Pia G., Casnedi L., Sanna U. Pore Size Distribution Influence on Suction Properties of Calcareous Stones in Cultural Heritage: Experimental Data and Model Predictions // Advances in Materials Science and Engineering. 2016. Vol. 2016. № 7853156. DOI: 10.1155/2016/7853156
  25. Mineo S., Pappalardo G. InfraRed Thermography presented as an innovative and non-destructive solution to quantify rock porosity in laboratory // International Journal of Rock Mechanics and Mining Sciences. 2019. Vol. 115. P. 99-110. DOI: 10.1016/j.ijrmms.2019.01.012
  26. Tatone B.S.A., Abdelaziz A., Grasselli G. Novel Mechanical Classification Method of Rock Based on the Uniaxial Compressive Strength and Brazilian Disc Strength // Rock Mechanics and Rock Engineering. 2022. Vol. 55. Iss. 4. P. 2503-2507. DOI: 10.1007/s00603-021-02759-7
  27. Hemeda S. Influences of bulk structure of Calcarenitic rocks on water storage and transfer in order to assess durability and climate change impact // Heritage Science. 2023. Vol. 11. № 118. DOI: 10.1186/s40494-023-00949-w
  28. Paraskevopoulou C. Time-Dependent Behavior of Rock Materials // Engineering Geology. IntechOpen, 2021. 33 p. DOI: 10.5772/intechopen.96997

Похожие статьи

Алмазоносный гранатовый лерцолит из кимберлитовой трубки им. В.Гриба: взаимосвязь субдукции, мантийного метасоматоза и образования алмаза
2025 Е. В. Агашева, Н. В. Губанов, Д. А. Зедгенизов
Сорбция золота на модифицированном сапоните
2025 В. А. Чантурия, В. Г. Миненко, А. Л. Самусев
О необходимости совершенствования методов трехосных испытаний при исследовании механического поведения соляных пород и геоматериалов
2025 Е. Я. Козловский, М. А. Журавков, С. И. Богдан
О возможности утилизации карбонатсодержащих отходов добычи полезных ископаемых путем получения фотокаталитических композиционных материалов
2025 В. В. Строкова, Е. Н. Губарева, Ю. Н. Огурцова, С. В. Неровная
Гранулометрия в рамках кинематической теории преобразования открытых систем
2025 И. А. Мельник
Условия кристаллизации хлоридов при скважинной эксплуатации предельно насыщенных литиеносных рассолов на юге Сибирской платформы
2025 А. В. Сергеева, А. В. Кирюхин, А. Г. Вахромеев, С. Б. Коротков, М. А. Данилова, Е. В. Карташева, А. А. Кузьмина, М. А. Назарова