Подать статью
Стать рецензентом
Том 272
Страницы:
145-158
Скачать том:
RUS ENG

Государственно-частное партнерство в минерально-сырьевом комплексе РФ: как реализовать классическую модель?

Авторы:
С. М. Лавлинский1
А. А. Панин2
А. В. Плясунов3
Об авторах
  • 1 — д-р техн. наук ведущий научный сотрудник Институт математики им. С.Л.Соболева СО РАН ▪ Orcid
  • 2 — канд. физ.-мат. наук старший научный сотрудник Институт математики им. С.Л.Соболева СО РАН ▪ Orcid
  • 3 — д-р физ.-мат. наук ведущий научный сотрудник Институт математики им. С.Л.Соболева СО РАН ▪ Orcid
Дата отправки:
2024-03-18
Дата принятия:
2024-11-07
Дата публикации онлайн:
2025-01-14
Дата публикации:
2025-04-25

Аннотация

Статья посвящена сравнительному финансово-экономическому анализу различных форм государственно-частного партнерства (ГЧП) в проектах производственно-инфраструктурного строительства в малоосвоенном ресурсном регионе. Используется теоретико-игровая модель Штакельберга и строится параметризованное семейство двухуровневых моделей математического программирования, описывающее целый спектр механизмов партнерства. Это позволяет сопоставить различные стратегии распределения инфраструктурных инвестиций между правительством и недропользователем и построить сценарий трансформации сегодняшней российской схемы ГЧП в классическую модель партнерства, используемую в развитых экономиках. Для этого в работе формируется база данных по пятидесяти месторождениям полиметаллов в Забайкальском крае и проводится сравнительный анализ равновесных по Штакельбергу программ развития, реализующих ту или иную модель ГЧП. Результаты численного эксперимента показывают, что в условиях бюджетного дефицита именно классическая модель ГЧП является наиболее эффективной. Проведенный анализ позволяет дать экономическую оценку последствий постепенной трансформации института партнерства в производственно-инфраструктурном строительстве от помощи инвестору в российской модели к помощи государству в классической схеме. Промежуточные модели партнерства, играющие роль переходного института, позволяют снизить бюджетную нагрузку. Механизм их практической реализации основан на кластеризации месторождений, формировании консорциумов недропользователей и долевом строительстве необходимой транспортной и энергетической инфраструктуры. Активизация горизонтальных связей недропользователей порождает благоприятные условия для появления дополнительных эффектов от консолидации ресурсов и может быть положена в основу практической схемы партнерства в рамках классической модели.

Область исследования:
Экономика сырьевых отраслей
Ключевые слова:
программа освоения минерально-сырьевой базы производственно-инфраструктурные проекты государственно-частное партнерство консорциум недропользователей модель Штакельберга двухуровневые задачи математического программирования
Перейти к тому 272

Финансирование

Работа поддержана грантом РНФ № 23-28-00849, https://rscf.ru/project/23-28-00849.

Введение

Механизм государственно-частного партнерства (ГЧП) широко используется во многих отраслях экономики для согласования интересов правительства и частного инвестора [1-3]. Мировой опыт демонстрирует успешность ГЧП прежде всего для создания новой и поддержания существующей инфраструктуры общественного сектора. В минерально-сырьевом комплексе ГЧП обычно используется при строительстве новой производственной инфраструктуры и позволяет существенно расширить источники финансирования проектов, заинтересовать недропользователей в освоении новых месторождений в труднодоступных районах. Институт партнерства в развитых экономиках эволюционирует уже двести лет, стартовав в XIX в. с концессии, традиционно обозначаемой BOT (Built, Own, Transfer). Такая модель предполагает передачу некоторых видов деятельности от государства частному сектору и использовалась при создании транспортной инфраструктуры [4].

Австралийская модель BOOT (Built, Own, Operate, Transfer) [5] существенно расширила функционал партнерства – строительство, финансирование, управление и эксплуатация осуществляется частным инвестором, но его право собственности на созданный объект сохраняется только до момента окончания контракта, после чего оно переходит к государству [6]. Эта модель превалировала в инфраструктурных проектах конца XX в.

Следующий этап развития механизма ГЧП связан с моделью DBFO (Design, Built, Finance, Operate) [7] и принятием в Великобритании новой стратегии осуществления государственных проектов – Private Finance Initiative [8]. Частный инвестор создает специальную управляющую компанию на длительный срок (30-60 лет), которая строит, финансирует, управляет созданным объектом и предоставляет услуги, оговоренные государством в контракте. 

Такая эволюция института партнерства в развитых экономиках [9-11] привела к тому, что здесь уже утвердилась модель ГЧП [12-14], которую можно считать классической. Ее содержательная основа – строительство частной компанией объекта государственной собственности и последующая передача его государству по мере реализации условий контракта и согласованного сценария взаиморасчетов [15, 16]. В минерально-сырьевом комплексе такая форма ГЧП дает возможность диверсификации источников финансирования проектов, снижения рисков [17-19] и создания стимулов для привлечения недропользователей в неосвоенные районы с перспективными месторождениями [20-22].

Процесс формирования института ГЧП в российском сырьевом секторе находится на начальном этапе, и у правительства нет полной ясности относительно того, каким образом должна трансформироваться стартовая модель [23-25]. В отличие, например, от проектов дорожного строительства в развитом промышленном регионе, в котором рентабельность концессии для инвестора формируется платным использованием дороги общего назначения и гарантируется бюджетом [26], проекты создания производственной инфраструктуры на малоосвоенной ресурсной территории по ряду причин не привлекают частного инвестора даже в нефтегазовых регионах [27, 28]. Государство, заинтересованное в освоении минерально-сырьевой базы (МСБ), пытается стимулировать привлечение частного инвестора в такие регионы на основе масштабной помощи недропользователю в создании инфраструктуры и реализации части необходимых природоохранных мероприятий [29-31]. Такую стратегию сотрудничества с частным инвестором государство использовало
в программе «Комплексное развитие Нижнего Приангарья» [32, 33] и проектах «Создание транспортной инфраструктуры для освоения минерально-сырьевых ресурсов юго-востока Читинской области» [34, 35], «Комплексное развитие Южной Якутии» [36]. Здесь правительством были использованы средства Инвестиционного фонда РФ на проектирование и создание транспортной и электросетевой инфраструктуры Канкунской ГЭС в Якутии, строительство железной дороги Нарын – Лугокан в Забайкальском крае, а в Красноярском крае государство профинансировало не только крупные инфраструктурные проекты, но и затраты, связанные с подготовкой ложа водохранилища Богучанской ГЭС и переселением населения.

Текущие результаты реализации этих проектов не оправдывают ожиданий бюджета и вызывают справедливую критику экспертного сообщества. Практика показала, что использованная форма партнерских отношений требует не только чрезмерных бюджетных затрат, но и доказательной оценки баланса интересов общества и предпринимателей. Это подтверждает и сегодняшний опыт реализации мегапроекта «Енисейская Сибирь». Общественная эффективность стратегии строительства железной дороги Элегест – Кызыл – Курагино и Бейской транспортной инфраструктуры за счет бюджета в достаточной мере не подтверждена – в технико-экономических обоснованиях (ТЭО) проектов превалируют оценки эффективности с точки зрения частного инвестора, оставляя без ответа ключевой вопрос о достижении компромисса интересов участников партнерства [37-39]. При каких условиях классическая модель ГЧП эффективна для современного российского минерально-сырьевого комплекса? Каким образом может быть трансформирован российский вариант партнерства и осуществлен переход от помощи инвестору к помощи государству? Как построить механизм ГЧП, эффективный для конкретного ресурсного региона?

Цель работы – сравнительный финансово-экономический анализ эффективности различных механизмов партнерства в рамках теоретико-игровой модели Штакельберга. Оставив в стороне вопросы нормативно-правового регулирования ГЧП и сконцентрировавшись на оценке экономической эффективности конкретной модели партнерства, можно ответить на ключевые вопросы с точки зрения оценки уровня достижения компромисса интересов государства и бизнеса, а также предложить переходные формы института партнерства, в перспективе открывающие возможность трансформации в классическую модель. Соответствующие экономико-математические модели дополняют инструментарий стратегического планирования и могут быть использованы в рамках цифровых технологий управления недропользованием.

Методы

Процесс формирования конкретного механизма партнерства может быть описан целым рядом математических моделей, решение которых позволяет априори оценить эффективность принимаемого управленческого решения [40-43]. В нашем случае задача существенно шире – необходимо увязать перечень и сроки запуска проектов освоения месторождений минерального сырья с планами создания необходимой, но отсутствующей на сегодняшний день производственной инфраструктуры; ее строительство предполагается в рамках партнерства, механизм которого предстоит определить [44]. Для большинства российских ресурсных территорий эта проблема актуальна – инвестор не может запустить проекты освоения месторождений из-за отсутствия дорог, ЛЭП, а государство не готово строить инфраструктурные объекты без полной уверенности в их достаточной загрузке. В большинстве сибирских и дальневосточных регионов этот фактор сдерживает развитие региональных экономик и стимулирует разработку механизмов достижения компромисса интересов участвующих сторон.

Процесс формирования программы недропользования в ресурсном регионе с недостаточным уровнем развития транспортной и энергетической инфраструктуры характеризуется иерархией взаимодействия государства и частного инвестора. Это обстоятельство позволяет предложить в качестве модели партнерства игру Штакельберга [45-47]. Два игрока с индивидуальными целевыми функциями – лидер и последователь – поочередно принимают решения. Эффективность решений каждого игрока зависит от решения другого. Первым принимает решение лидер, вторым – последователь, оптимальным для себя образом строящий решение с учетом действий лидера. Задача заключается в нахождении равновесных решений, обеспечивающих лидеру максимальное значение целевой функции на всем множестве альтернатив. В нашем случае роль лидера принадлежит государству – оно делает первый ход, продавая лицензию, определяя перспективы инфраструктурного строительства на территории. Без этого инвестор не может принять решение о реализации проекта освоения месторождения и поэтому выступает в роли последователя.

Рассмотрены три базовые модели партнерства. Первая из них является классической моделью ГЧП. Поскольку необходимой для реализации проектов освоения месторождений производственной инфраструктуры нет, инвестор согласует с властями список объектов инфраструктуры, «открывающих» интересные для него объекты ресурсной базы, и строит эти дороги, ЛЭП и т.п.
за свой счет. Государство рассчитывается с ним некоторое время спустя – например с момента получения первых рентных платежей. Для компенсации инфраструктурных затрат инвестора используются два механизма возмещения. В первом варианте инвестор получает компенсационные выплаты с учетом его дисконта по некоторому графику, построенному государством и не зависящему от общих результатов партнерства (модель К1). В основе второго алгоритма взаимных расчетов лежит интегральная оценка NPV инвестора в реализованной программе освоения недр, учитывающая его непрофильные инфраструктурные затраты, компенсационные платежи и ту долю ренты, которую он получил, осваивая месторождения (модель К2).

В отличие от классических моделей К1, К2, вторая модель Р отражает российскую практику последних лет и предполагает, что государство на малоосвоенной территории само строит инфраструктуру.

Третья модель – переходная и предполагает, что инфраструктуру строит и государство и инвестор с использованием механизмов компенсации инфраструктурных затрат инвестора первого (модель П1) и второго (модель П2) типов.

Целевой функцией инвестора во всех моделях является его чистый дисконтированный доход. Цель государства – максимизация бюджетных доходов с учетом выплаченных компенсаций и собственных затрат на строительство. Введем бинарные параметры α и β, фиксирующие участие в инфраструктурном строительстве государства и частного инвестора. Это позволяет параметризовать все семейство вышеописанных моделей ГЧП. Так, в первой модели классического ГЧП α = 0 и β = 1. Российской модели Р соответствует α = 1, β = 0. Переходная модель использует единичные значения α и β.

Введем обозначения: NP число проектов освоения месторождений; NI– число проектов строительства производственной инфраструктуры; T временной горизонт.

Проект освоения месторождения i: CFPit – операционное кэш-флоу; DBPit – налоговые доходы бюджета в году t от проекта.

Проект строительства инфраструктурного объекта j: ZIjt – необходимый объем инвестиций в году t; VDIjt – дополнительные бюджетные доходы, связанные с мультипликативным воздействием создаваемой инфраструктуры на экономику территории.

Связность инфраструктурных и добычных проектов: μij – индикатор, если производственный проект i не может быть запущен без построенного инфраструктурного объекта j, то μij = 1, иначе μij = 0.

Ограничения на бюджет: BudIt – инвестор; BudGt– государство.

Дисконты партнеров: DI – дисконт инвестора; DG – дисконт государства.

Булевы переменные модели: если государство в диалоге лидера – последователя предлагает взять на себя реализацию инфраструктурного проекта j, то x ¯ j =1 , иначе x ¯ j =0 ; если инфраструктурный проект jреализуется государством, то xj = 1, иначе xj = 0; если инвестор реализует проект освоения месторождения i, то zi = 1, иначе zi = 0; если инфраструктурный проект j реализуется инвестором, то vj = 1, иначе vj = 0.

Вещественные переменные: W t ¯ – график компенсационных выплат инвестору, предлагаемый государством; Wt – реализовавшийся график выплат государством инвестору за инфраструктуру.

Модель Штакельберга. Задача верхнего уровня (государство)

t=1 T i=1 NP DB P it z i + j=1 NI VD I jt (α x j +β v j )α j=1 NI Z I jt x j β W t / (1+DG) t max (1)

при условиях

β W ¯ t +α j=1 NI Z I jt x ¯ j BudG t t= 1, ,T;(2) W t ¯ β0,t= 1, ,T;(3) W t ¯ β=0,t= 1, , T 0 ; (3) (v,z,x) Q * x ¯ ,β W ¯ );(5) x ¯ j 0,1 ,j= 1, ,NI,(6)

где Q * x ¯ ,β W ¯ ) – множество оптимальных решений для задачи инвестора.

Задача нижнего уровня (инвестор)

t=1 T i=1 NI CF P it z i β j=1 NI Z I jt v j +β W t / (DI+1) t max (7)

при условиях

t=1 T β j=1 NI Z I jt v j +β W t / (1+DI) t 0 ;(8) t=1 T i=1 NP DB P it z i β W t / (1+DG) t 0 ;(9) i=1 NP CF P it z i +β j=1 NI Z I jt v j β W t Bud I t ,t = 1, ,T;(10) a x j +b v j ³ z i μ ij ,  i= 1, ,NP,  j= 1, ,NI;(11) a x j +b v j £1,  j= 1, ,NI;(12) a x j £a j= 1, ,NI;(13) β W t β W t ¯ ,t= 1, ,T;(14) x j , z i , v j 0;1 ,i= 1, ,NP,  j= 1, ,NI.(15)

Целевая функция государства – часть природно-ресурсной ренты, получаемой в виде налогов с учетом собственных затрат на инфраструктуру и компенсационных выплат. Бюджетные рамки (10) и (2) ограничивают число проектов, реализуемых партнерами. Связь добычных и инфраструктурных проектов фиксируется ограничениями (11). Ограничение (9) блокирует производственные программы, не обеспечивающие положительное сальдо бюджетных доходов и компенсационных выплат государства с учетом дисконта государства, формализующего степень либеральности проводимой инвестиционной политики. Условие (8) играет важную роль в выборе механизма генерации компенсационных выплат инвестору. Задача (1)-(15) реализует требование инвестора возместить его непрофильные затраты без учета того, что он получает долю ренты непосредственно в процессе освоения месторождения. 

Альтернативный принцип взаиморасчетов реализован в модели К2 и П2. В его основе оценка общего эффекта инвестора, полученного в процессе освоения месторождений, строительства необходимых ему инфраструктурных объектов и получения компенсаций от государства, обеспечивающих положительное NPV реализованной инвестором программы (7). Такая схема предполагает больший уровень доверия в партнерстве и наличие институтов, позволяющих провести мониторинг эффективности инвестора. Формально такой механизм партнерства описывается той же двухуровневой задачей, но без ограничения (8): {(1)-(7), (9)-(15)}.

Решение задачи (1)-(15) ({(1)-(7), (9)-(15)}) определяет программу освоения МСБ – фронт инфраструктурного строительства, открываемый государством; перечень инфраструктурных и производственных проектов, реализуемых частным инвестором; график бюджетных компенсаций затрат инвестора на инфраструктуру. Для того, чтобы на практике наполнить данными двухуровневую задачу математического программирования (1)-(15), нужна довольно обширная информационная база. Исходные данные для задачи государства включают графики инвестиционных затрат на инфраструктурные проекты и экспертные оценки их мультипликаторов. По добычным проектам предполагается наличие прогнозов налоговых поступлений в бюджет. На практике этот перечень данных государство получает от проектных организаций по инфраструктуре и в ТЭО недропользователя по месторождениям в разделе ожидаемых выплат сотрудникам и доходов бюджета. База данных задачи инвестора дополнительно включает CFP, которое формируется на основе оценки необходимых инвестиций и деталей технологии добычи на месторождении. Здесь требуется прогноз динамики рыночных цен на сырье и детальный анализ проекта освоения.  

Для решения двухуровневых задач математического программирования (1)-(15), ({(1)-(7), (9)-(15)}), принадлежащих классу 2 p - трудных проблем, использованы стохастические алгоритмы локального поиска и покоординатного спуска [48-50]. Для сравнительного анализа эффективности классического и российского механизмов партнерства применялась модельная база данных по пятидесяти месторождениям полиметаллов и десяти проектам строительства транспортной и энергетической инфраструктуры в Забайкальском крае. Часть модельных инфраструктурных проектов описывает реализуемое сегодня строительство железной дороги Нарын – Лугокан и четырех линий электропередач. Другие модельные инфраструктурные проекты формируют дополнительную дорожную сеть, которой сегодня нет, но она необходима для некоторых месторождений. База данных скомпонована так, чтобы реализация всех инфраструктурных проектов открывала возможность освоения полного набора месторождений.

Исходной информацией для базы данных модели (1)-(15) в приведенных расчетах являлись ТЭО производственных и инфраструктурных проектов. В распоряжении авторов имелась информация по девяти месторождениям, двум проектам дорожного строительства, одной ЛЭП и проектная документация по железной дороге Нарын – Лугокан, включающая в основном затратную часть. Сами ТЭО разработаны в разные годы периода 2006-2017 гг., и авторам пришлось приводить их данные к базовому 2010 г. с помощью региональных дефляторов. По остальным месторождениям использованы оценки ресурсов, а затратные характеристики технологий освоения строились экспертным образом на основе выбора максимально близкого по параметрам прототипа из числа девяти. Плановый период в расчетах составлял 20 лет – с 2010 по 2030 гг. Сценарии инфляции и курса национальной валюты для периода 2020-2030 гг. продолжали сложившиеся тенденции.  

Для проектов добычи полезных ископаемых использовался специальный модельный инструментарий [51], позволяющий построить долгосрочные прогнозы цен на металлы и сгенерировать поток наличности в прогнозных ценах на основе имитационной модели процесса освоения рудных месторождений. Процессы строительства транспортной и энергетической инфраструктуры описывались графиками инфраструктурных затрат партнеров, учитывающих схему модели ГЧП и инфляцию. Для месторождений строился прогноз налоговых платежей и потока наличности, после чего применялась процедура дефлирования и формировалась общая база данных двухуровневой модели планирования (1)-(15) в сопоставимых ценах, решение которой определяло программу освоения МСБ региона.

Сформированная информационная база во многом соответствует управленческим технологиям в недропользовании и настроена на инвестиционные процессы с длительным временным горизонтом и нестационарным характером рыночных цен. Это дает возможность учесть особенности моделируемого объекта – процесса формирования программы освоения МСБ на сырьевой территории с недостаточным уровнем развития производственной инфраструктуры. Поскольку такая программа будет строиться на основе равновесия по Штакельбергу, то в первую очередь будет интересно, каким образом меняется решение задач (1)-(15) ({(1)-(7), (9)-(15)}) при вариации основных модельных параметров. Особенно важно это для дисконтов партнеров, рабочие диапазоны которых эксперт может оценить лишь приближенно.

Это обстоятельство определяет фокус внимания численного эксперимента – анализ зависимости эффективности равновесной по Штакельбергу программы от параметров DG и DI. Первый из этих параметров отражает качество инвестиционного климата с точки зрения инвестора. Благоприятным условиям инвестирования в расчетах соответствует DI = 0,11 (экспертная оценка для сегодняшнего Забайкалья DI = 0,15-0,17). Дисконт государства отражает уровень либеральности государственной инвестиционной политики. Оперируя дисконтом уровня 0,01, либеральное государство понимает, что на длительном горизонте наиболее важны мультипликативные эффекты, превосходящие прямую отдачу в виде налоговых платежей недропользователей от инвестиций бюджета в инфраструктурные проекты (включая компенсационные платежи). Консервативная инвестиционная политика государства оперирует существенно большим дисконтом, отражающим устремления правительства реализовать ожидания собственника недр [52].

Обсуждение результатов

Численные эксперименты показывают существенную зависимость характеристик эффективности программ развития, генерируемых различными моделями партнерства, от качества инвестиционного климата и уровня либеральности государства.

Приведены некоторые результаты расчетов, позволяющие количественно оценить и сопоставить ключевые характеристики программ развития, генерируемых в предположении неограниченности бюджетов партнеров при различных алгоритмах компенсации инфраструктурных затрат инвестора, α и β. В рамках российской модели (рис.1) государство в условиях благоприятного инвестиционного климата затрачивает 125 млрд руб. и реализует полную программу инфраструктурного строительства. Это происходит независимо от дисконта государства и дает возможность инвестору запустить максимальный фронт добычных проектов. При ухудшении инвестиционного климата (росте DI) государство вынуждено сократить фронт инфраструктурного строительства, что закономерно приводит к сворачиванию производственной программы инвестором и падению значений целевых функций партнеров. Вне пределов благоприятного инвестиционного климата на результатах начинает существенно сказываться и дисконт государства – переход к консервативной инвестиционной политике сужает спектр эффективных для него инфраструктурных проектов.

Рис.1. Модель ГЧП на базе Инвестиционного фонда РФ (модель Р, α = 1, β = 0): значения целевой функции государства (а); инвестора (б); затраты государства (в); число реализованных инфраструктурных проектов (г)

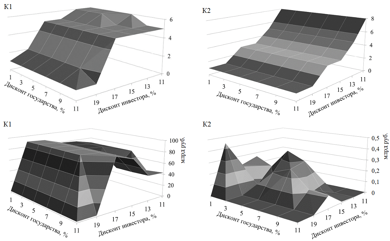
Переход к классической модели партнерства в значительной степени меняет программу развития территории. В условиях невысокого дисконта инвестора модель K1 генерирует программу, в которой реализуется пять-шесть инфраструктурных проектов из 10 возможных в зависимости от уровня дисконта государства (рис.2). Начиная с DI= 0,19, резко сокращается фронт инфраструктурного строительства и объем компенсационных выплат инвестору. Модель К2 стартует с восьми проектов и быстро уменьшает их число с ухудшением инвестиционного климата. Важно, что уровень компенсационных выплат здесь кардинально ниже, чем в варианте с инвестором, требующим немедленную компенсацию своих инфраструктурных затрат. Это происходит потому, что в процессе взаиморасчетов государство учитывает полученную в добычных проектах ренту и соответствующим образом корректирует платежи.

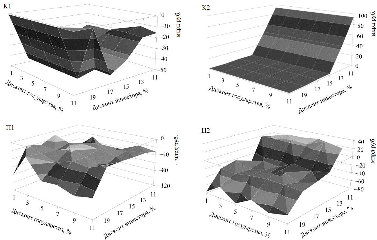
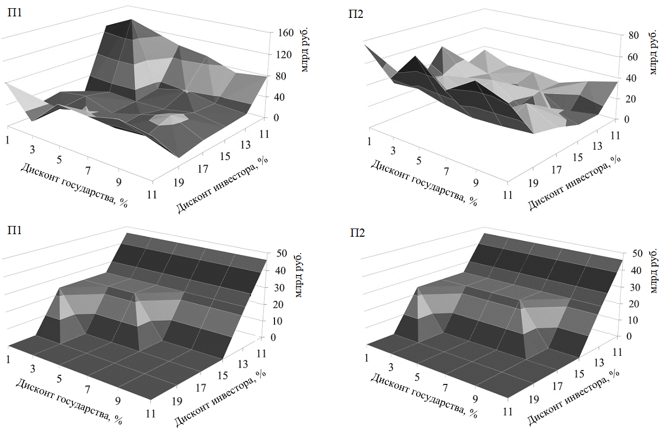
В переходной модели общее число реализуемых инфраструктурных проектов в меньшей степени зависит от алгоритма компенсации затрат инвестора (рис.3) и дисконта государства. Государство перестает участвовать в инфраструктурном строительстве в зависимости от уровня либеральности уже при DI = 0,13 в рамках консервативной инвестиционной политики, сдвигая границу с уменьшением DG.

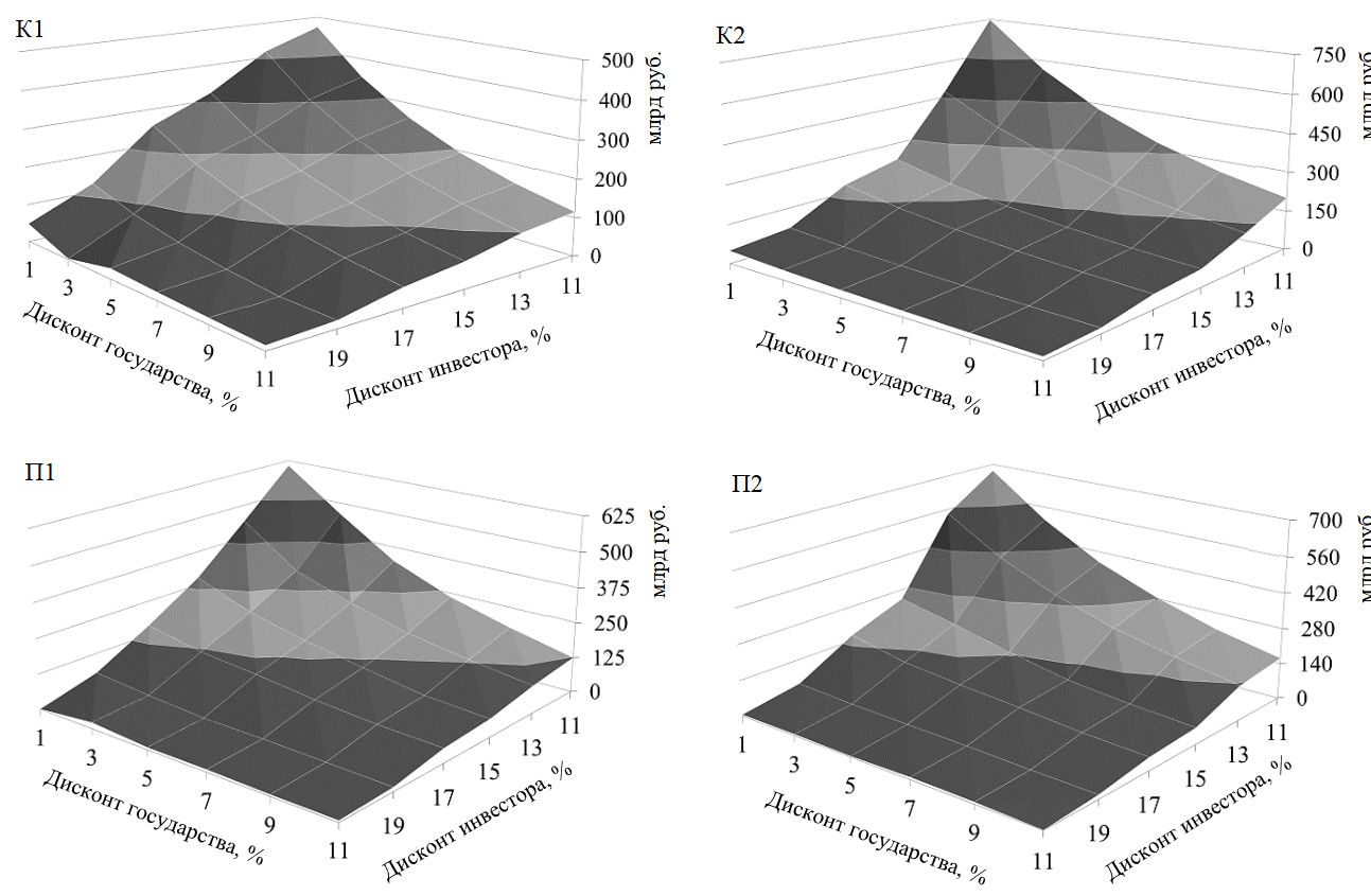
Затраты государства на компенсации (рис.4) ведут себя достаточно сложным образом. В благоприятных инвестиционных условиях модель П2 требует существенно меньших, чем П1, платежей инвестору, которые растут по мере ухудшения инвестиционного климата. В модели П1, зависят от уровня консервативности проводимой государством инвестиционной политики. Как и в классической модели, инвестор, вполне доверяющий государству и готовый
ко второй методике взаиморасчетов, более предпочтителен для государства в условиях бюджетного дефицита.

Рис.2. Классическая модель ГЧП: число реализованных инвестором инфраструктурных проектов (вверху); объем полученных компенсационных платежей (внизу)

Рис.3. Переходная модель ГЧП: число реализованных инфраструктурных проектов совместно партнерами (вверху); в том числе  государством (внизу)

Рис.4. Переходная модель ГЧП: затраты государства – компенсационные выплаты (вверху); затраты на реализацию инфраструктурных проектов (внизу)

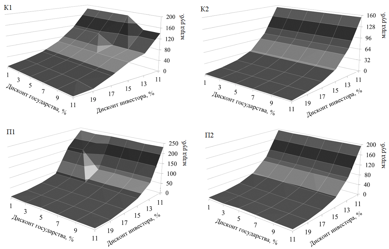
На рис.5, 6 представлены результирующие зависимости значения целевой функции государства и инвестора при возможных сочетаниях дисконтов партнеров в разных моделях. Такие данные позволяют ранжировать весь спектр рассматриваемых моделей партнерства в соответствии с интересами государства. Если мы попытаемся, анализируя рис.1 и 5, упорядочить все пять моделей по значению целевой функции государства, то окажется, что для любого уровня благоприятности инвестиционного климата российская модель в предположении неограниченности бюджета формально обеспечивает наилучший результат. Однако сегодня представляется маловероятной готовность бюджета в значительных объемах финансировать строительство производственной инфраструктуры для нужд минерально-сырьевого сектора.

В условиях бюджетного дефицита именно классическая модель ГЧП выходит на первый план. Прямые бюджетные инвестиции стартуют с момента начала строительства необходимой инфраструктуры, в то время как компенсационные платежи отсрочены во времени и начинаются с момента поступления первых налогов от недропользователей. Это позволяет существенно сократить объем бюджетных средств, необходимых для выполнения партнерских обязательств со стороны государства.

Именно поэтому при выборе модели ГЧП рассматриваются только модели К1, К2, П1 и П2. Анализ результатов расчетов, представленных на рис.5, позволяет упорядочить их по значению целевой функции государства (1) для каждого значения DI. Для благоприятного инвестиционного климата (DI = 0,11) искомая последовательность имеет вид (К2, П2, П1, К1); для DI = 0,13 – (П2, К2, П1, К1), для DI > 0,13 – (К1, К2, П2, П1).

Рис.5. Значение целевой функции государства в различных моделях

Рис.6. Значение целевой функции инвестора в различных моделях

Рис.7. Баланс стоимости введенной инфраструктуры и компенсаций инвестору

Рассматривая модели П1, П2 как переходные к классической схеме и принимая во внимание, что они предполагают частичное участие государства в прямых инвестициях в инфраструктуру, можно оставить только классические модели К1 и К2. Выбор из этой пары может быть сделан на основе анализа баланса стоимости введенной инфраструктуры и компенсаций инвестору – разности суммарной стоимости введенных инфраструктурных фондов и общего объема компенсационных платежей инвестору (рис.7). Модель К2 здесь оказывается предпочтительной – она обеспечивает положительное сальдо на всем спектре значений DI. Сделанный выбор подтверждается и тем обстоятельством, что модель К2 требует компенсаций, на порядок меньших, чем К1 (см. рис.2) – наиболее мощный аргумент в условиях бюджетного дефицита.

Таким образом, для государства в сегодняшних условиях жесткого бюджетного дефицита цель ясна – реализация классической модели ГЧП в модификации К2. Методическая основа такой схемы – интегральная оценка NPV инвестора в реализованной программе освоения недр. Для этого уже нужен больший уровень доверия в партнерстве и наличие институтов, позволяющих провести мониторинг эффективности инвестора.

Одним из возможных институтов такого рода может быть консорциум во главе с государственной управляющей компанией, цели которой – организация, координация и формирование эффективной программы развития территории на основе горизонтального взаимодействия частных инвесторов. В условиях дефицита бюджета такая форма партнерства способна генерировать эффекты от консолидации ресурсов инвесторов, открывать возможность гармонизации их целей и в перспективе адаптировать классическую схему к российским реалиям. Подобная модель, в которой классическое партнерство дополнялось идеей консорциума, была исследована в работе [53]. Показано, что при некоторых условиях – возможности кластеризации территории, наличии и близком расположении высокорентабельных месторождений – формирование консорциума экономически целесообразно. Участие РЖД в реализации подобных проектов расширяет возможности подхода и привносит большую устойчивость такому институту.

Заключение

Проведенный анализ моделей ГЧП позволяет дать экономическую оценку последствий постепенной трансформации института партнерства в производственно-инфраструктурном строительстве от помощи инвестору (модель Р) к помощи государству в классической модели. Результаты численных экспериментов на реальной информации типичного ресурсного региона, каким является Забайкальский край, позволяют сделать следующие выводы:

  • В условиях жесткого бюджетного дефицита механизм партнерства, в котором государство само строит необходимую инфраструктуру (модель Р), не имеет экономических перспектив.
  • Промежуточные модели партнерства П1, П2 играют роль переходного института, позволяющего снизить бюджетную нагрузку и повысить уровень доверия частного инвестора к государству. Такие схемы могут быть полезны для становления института ГЧП в российских условиях
    и после тщательного модельного анализа рекомендованы к практическому использованию в некоторых регионах. В большинстве случаев предпочтительной для государства является модель П2.
  • В условиях бюджетного дефицита классическая модель ГЧП в модификации К2 в наибольшей степени отвечает интересам государства. Эта модель обеспечивает минимально возможный объем компенсационных выплат инвестору и положительность баланса стоимости введенной инфраструктуры и объема компенсаций.
  • Необходимое условие реализуемости модели К2 – наличие института согласованной оценки NPV инвестора в реализованной программе освоения недр, учитывающей его непрофильные инфраструктурные затраты, компенсационные платежи и ту долю ренты, которую он получил.
  • Одна из возможных форм такого института – механизм коллаборации, основанный на кластеризации месторождений и создании консорциума, реализующего проекты строительства необходимой производственной инфраструктуры. Такой подход позволяет не только построить необходимую производственную инфраструктуру, но и создать практическую основу для трансформации российского института ГЧП в направлении его классических форм.

Литература

  1. Addink H. Good Governance: Concept and Context. Oxford: Oxford University Press, 2019. 352 p. DOI: 10.1093/oso/9780198841159.001.0001
  2. Ivanov O., Inshakova A.O. Public-Private Partnerships in Russia. Institutional Frameworks and Best Practices. Springer, 2020. 312 p.
  3. Yescombe E.R., Farquharson E. Public-Private Partnerships for Infrastructure. Principles of Policy and Finance. Butterworth-Heinemann, 2018. 548 p.
  4. Резниченко Н.В. Модели государственно-частного партнерства // Вестник Санкт-Петербургского университета. Серия «Менеджмент». 2010. Вып. 4. С. 58-83.
  5. Quiggin J. Risk, PPPs and the Public Sector Comparator // Australian Accounting Review. 2004. Vol. 14. Iss. 33. P. 51-61. DOI: 10.1111/j.1835-2561.2004.tb00229.x
  6. Grimsey D., Levis M.K. Public Private Partnerships: The Worldwide Revolution in Infrastructure Provision and Project Finance. Edward Elgar, 2004. 288 p.
  7. Mayston D.J. The Private Finance Initiative in the National Health Service: An Unhealthy Development in New Public Management? // Financial Accountability & Management. 1999. Vol. 15. Iss. 3-4. P. 249-274. DOI: 10.1111/1468-0408.00084
  8. Grout P.A. The economics of the private finance initiative // Oxford review of economic policy. 1997. Vol. 13. Iss. 4. P. 53-66. DOI: 10.1093/oxrep/13.4.53
  9. Adamou M., Kyriakidou N., Connolly J. Evolution of public-private partnership: the UK perspective through a case study approach // International Journal of Organizational Analysis. 2021. Vol. 29. Iss. 6. P. 1455-1466. DOI: 10.1108/IJOA-08-2020-2397
  10. Zhe Cheng, Yongjian Ke, Zhenshan Yang et al. Diversification or convergence: An international comparison of PPP policy and management between the UK, India, and China // Engineering, Construction and Architectural Management. 2020. Vol. 27. Iss. 6. P. 1315-1335. DOI: 10.1108/ECAM-06-2019-0290
  11. Gleeson T.P., Grimsey D., Lewis M.K. How Successful Has the PPP Model Been in Australia? // Public Private Partnerships. Cham: Springer, 2019. P. 167-192. DOI: 10.1007/978-3-030-24600-6_9
  12. Dao N.H., Marisetty V.B., Jing Shi, Tan M. Institutional quality, investment efficiency, and the choice of public–private partnerships // Accounting & Finance. 2020. Vol. 60. Iss. 2. P. 1801-1834. DOI: 10.1111/acfi.12514
  13. Grimsey D., Lewis M.K. Are Public Private Partnerships value for money? Evaluating alternative approaches and comparing academic and practitioner views // Accounting Forum. 2005. Vol. 29. Iss. 4. P. 345-378. DOI: 10.1016/j.accfor.2005.01.001
  14. Karnes Y. Are There Optimal Forms of Public-Private Partnerships? // Journal of Behavioral and Applied Management. 2020. Vol. 20. Iss. 2. P. 51-68. DOI: 10.21818/001c.14178
  15. Nannan Wang, Minxun Ma. Public–private partnership as a tool for sustainable development – What literatures say? // Sustainable Development. 2021. Vol. 29. Iss. 1. P. 243-258. DOI: 10.1002/sd.2127
  16. Petersen O.H. Evaluating the costs, quality, and value for money of infrastructure public-private partnerships: A systematic literature review // Annals of Public and Cooperative Economics. 2019. Vol. 90. Iss. 2. P. 227-244. DOI: 10.1111/apce.12243
  17. Rybnicek R., Plakolm J., Baumgartner L. Risks in Public–Private Partnerships: A Systematic Literature Review of Risk Factors, Their Impact and Risk Mitigation Strategies // Public Performance & Management Review. 2020. Vol. 43. Iss. 5. P. 1174-1208. DOI: 10.1080/15309576.2020.1741406
  18. Hongyu Jin, Shijing Liu, Chunlu Liu, Udawatta N. Optimizing the concession period of PPP projects for fair allocation of financial risk // Engineering, Construction and Architectural Management. 2019. Vol. 26. Iss. 10. P. 2347-2363. DOI: 10.1108/ECAM-05-2018-0201
  19. Carbonara N., Pellegrino R. Revenue guarantee in public–private partnerships: a win–win model // Construction Management and Economics. 2018. Vol. 36. Iss. 10. P. 584-598. DOI: 10.1080/01446193.2018.1467028
  20. Cheng Chen, Caixia Man. Are good governance principles institutionalised with policy transfer? An examination of public–private partnerships policy promotion in China // Australian Journal of Social Issues. 2020. Vol. 55. Iss. 2. P. 162-181. DOI: 10.1002/ajs4.99
  21. Hueskes M., Verhoest K., Block T. Governing public–private partnerships for sustainability: An analysis of procurement and governance practices of PPP infrastructure projects // International Journal of Project Management. 2017. Vol. 35. Iss. 6. P. 1184-1195. DOI: 10.1016/j.ijproman.2017.02.020
  22. Jie Tan, Jerry Zhirong Zhao. The Rise of Public–Private Partnerships in China: An Effective Financing Approach for Infrastructure Investment? // Public Administration Review. 2019. Vol. 79. Iss. 4. P. 514-518. DOI: 10.1111/puar.13046
  23. Литвиненко В.С., Петров Е.И., Василевская Д.В. и др. Оценка роли государства в управлении минеральными ресурсами // Записки Горного института. 2023. Т. 259. С. 95-111. DOI: 10.31897/PMI.2022.100
  24. Заернюк В.М., Анисимов П.Ф., Забайкин Ю.В. Оценка состояния и перспектив развития государственно-частного партнерства в отрасли добычи полезных ископаемых // Экономика: вчера, сегодня, завтра. 2019. Т. 9. № 6А. С. 85-94.
  25. Васильчиков А.В. Пути реализации потенциала региона через механизм государственно-частного партнерства // Известия Санкт-Петербургского государственного экономического университета. 2019. № 6. С. 68-73.
  26. Chung D., Hensher D.A. Public private partnerships in the provision of tolled roads: Shared value creation, trust and control // Transportation Research Part A: Policy and Practice. 2018. Vol. 118. Р. 341-359. DOI: 10.1016/j.tra.2018.08.038
  27. Юдин С.С., Череповицын А.Е. Партнерство государства и бизнеса для обеспечения экономической устойчивости сложных промышленных нефтегазовых систем в Арктике // Север и рынок: формирование экономического порядка. 2022. № 2. С. 7-18. DOI: 10.37614/2220-802X.2.2022.76.001
  28. Filatova I., Nikolaichuk L., Zakaev D., Ilin I. Public-Private Partnership as a Tool of Sustainable Development in the Oil-Refining Sector: Russian Case // Sustainability. 2021. Vol. 13. Iss. 9. № 5153. DOI: 10.3390/su13095153
  29. Agarchand N., Laishram B. Sustainable infrastructure development challenges through PPP procurement process: Indian perspective // International Journal of Managing Projects in Business. 2017. Vol. 10. Iss. 3. P. 642-662. DOI: 10.1108/IJMPB-10-2016-0078
  30. Ваславский Я. Государственно-частное партнерство: перспективы развития общественно значимой инфраструктуры // Федерализм. 2019. № 4. С. 75-94. DOI: 10.21686/2073-1051-2019-4-75-94
  31. Бедняков А.С. Государственно-частное партнёрство как модель развития публичной инфраструктуры // Вестник МГИМО-Университета. 2022. Т. 15. № 1. С. 143-176. DOI: 10.24833/2071-8160-2022-1-82-143-173
  32. Малов В.Ю., Тарасова О.В., Ионова В.Д. Нижнее Приангарье как «связующее звено» между севером и югом Сибири // ЭКО. 2018. Т. 48. № 6. С. 50-74. DOI: 10.30680/ECO0131-7652-2018-6-50-74
  33. Поподько Г.И., Нагаева О.С., Бухарова Е.Б. Применение проектного подхода в территориальном развитии восточных регионов России // Журнал Сибирского федерального университета. Гуманитарные науки. 2021. Т. 14. Вып. 12. С. 1851-1862. DOI: 10.17516/1997-1370-0864
  34. Глазырина И.П., Фалейчик Л.М., Фалейчик А.А. Инвестиции и потенциал роста качества жизни на Дальнем Востоке России // Журнал Сибирского федерального университета. Гуманитарные науки. 2022. Т. 15. Вып. 7. С. 921-929 (in English). DOI: 10.17516/1997-1370-0897
  35. Глазырина И.П., Фалейчик Л.М., Фалейчик А.А. «Дальневосточная» инвестиционная политика и доходы граждан в разрезе основных отраслей: опыт эмпирического анализа // ЭКО. 2022. Т. 52. № 7. С. 80-98. DOI: 10.30680/ECO0131-7652-2022-7-80-98
  36. Местников Н.А., Николаева И.В., Павлова С.Н. Инвестиционный проект “Комплексное развитие Южной Якутии”: перспективы, проблемы, решения // Национальные интересы: приоритеты и безопасность. 2012. Т. 8. № 20 (161). С. 24-33.
  37. Самаруха В.И., Краснова Т.Г., Трусова С.В. Модель создания и реализации межрегионального проекта «Енисейская Сибирь» // Известия Байкальского государственного университета. 2019. Т. 29. № 2. С. 324-331. DOI: 10.17150/2500-2759.2019.29(2).324-331
  38. Брюханова Е.А., Ефимов В.С., Шишацкий Н.Г. Исследование проблем формирования центров экономического роста в южных районах Ангаро-Енисейского макрорегиона // Журнал Сибирского федерального университета. Гуманитарные науки. 2020. Т. 13. Вып. 11. С. 1736-1745 (in English). DOI: 10.17516/1997-1370-0679
  39. Брюханова Е.А., Шишацкий Н.Г., Ефимов В.С. Стратегический анализ перспектив развития Саяно-Енисейского мезорегиона с использованием балансовой модели // Журнал Сибирского федерального университета. Гуманитарные науки. 2021. Т. 14. Вып. 12, p. 1760-1769. DOI: 10.17516/1997-1370-0856
  40. Hong Zhang, Lu Yu, Wenyu Zhang. Dynamic performance incentive model with supervision mechanism for PPP projects // Engineering, Construction and Architectural Management. 2020. Vol. 27. Iss. 9. P. 2643-2659. DOI: 10.1108/ECAM-09-2019-0472
  41. Xiangtian Nie, Kai Feng, Guoxiang Zhao et al. The Evolutionary Game of Trust in Public-Private Partnership Project Networks // Mathematical Problems in Engineering. 2021. Vol. Iss. 1. № 5514708. DOI: 10.1155/2021/5514708
  42. Лавлинский С.М., Панин А.А., Плясунов А.В. Двухуровневая модель планирования государственно-частного партнерства // Автоматика и телемеханика. 2015. № 11. С. 89-103.
  43. Lei Shi, Lu Zhang, Onishi M. et al. Contractual Efficiency of PPP Infrastructure Projects: An Incomplete Contract Model // Mathematical Problems in Engineering. 2018. Vol. 2018. Iss. 1. № 3631270. DOI: 10.1155/2018/3631270
  44. Калгина И.С. Модели оценки проектов государственно-частного партнерства в сфере недропользования // Записки Горного института. 2017. Т. 224. С. 247-254. DOI: 10.18454/PMI.2017.2.247
  45. Лавлинский С.М., Панин А.А., Плясунов А.В. Сравнение моделей планирования государственно-частного партнерства // Дискретный анализ и исследование операций. 2016. Т. 23. № 3. С. 35-60. DOI: 10.17377/daio.2016.23.527
  46. Лавлинский С.М., Панин А.А., Плясунов А.В. Модели Штакельберга в территориальном планировании // Автоматика и телемеханика. 2019. № 2. С. 111-124. DOI: 10.1134/S0005231019020077
  47. Luming Shang, Aziz A.M.A. Stackelberg Game Theory-Based Optimization Model for Design of Payment Mechanism in Performance-Based PPPs // Journal of Construction Engineering and Management. 2020. Vol. 146. Iss. 4. № 04020029. DOI: 10.1061/(ASCE)CO.1943-7862.0001806
  48. Alekseeva E., Kochetov Y., Talbi E.-G. A matheuristic for the discrete bilevel problem with multiple objectives at the lower level // International Transactions in Operational Research. 2017. Vol. 24. Iss. 5. P. 959-981. DOI: 10.1111/itor.12268
  49. Dempe S., Khamisov O., Kochetov Yu. A special three-level optimization problem // Journal of Global Optimization. 2020. Vol. 76. Iss. 3. P. 519-531. DOI: 10.1007/s10898-019-00822-w
  50. Davydov I., Kochetov Y., Dempe S. Local Search Approach for the Competitive Facility Location Problem in Mobile Networks // International Journal of Artificial Intelligence. 2018. Vol. 16. Iss. 1. P. 130-143.
  51. Лавлинский С.М. Модели индикативного планирования социально-экономического развития ресурсного региона. Новосибирск: Изд-во СО РАН, 2008. 247 с.
  52. Лапинскас А.А. Влияние горной ренты на эффективность использования природного потенциала: парадокс изобилия и его российская специфика // Записки Горного института. 2023. Т. 259. С. 79-94. DOI: 10.31897/PMI.2023.13
  53. Lavlinskii S., Zyryanov A. Model for Long-Term Partnerships Between the Government and Subsoil Users in Production and Infrastructure Construction // 19th International Asian School-Seminar on Optimization Problems of Complex Systems (OPCS), 14-22 August 2023, Novosibirsk, Moscow, Russia. IEEE, 2023. P. 53-58. DOI: 10.1109/OPCS59592.2023.10275768

Похожие статьи

Палеопротерозойский Салтахский плутон (Анабарский щит): вещественный состав, возраст, геодинамическая обстановка формирования
2025 Н. И. Гусев, Л. Ю. Романова
Комбинированный метод переработки отработанного кислого травильного раствора производства изделий из титана
2025 Н. А. Быковский, Е. А. Кантор, Н. С. Шулаев, В. С. Фанаков
Определение касательной составляющей сопротивления резанию мерзлых осадочных пород по блокированной, глубокоблокированной и сотовой схемам
2025 С. А. Шемякин, Е. А. Шишкин
Загрязнение ртутью речных отложений водораздела реки Сиухунь в Индонезии: вклад кустарной мелкомасштабной добычи золота
2025 Вилли К. Нуграха, Хуйхо Чон, Фан Динь Куан, Рэнди Новирса, Томохиро Коморита, Ясухиро Исибаси, Дзюн Кобаяси, Кодзи Аризоно, Асеп Баю Дани Нандиянто
Обоснование безопасной эксплуатации закрытого угольного склада по газовому фактору
2025 С. Г. Гендлер, А. Ю. Степанцова, М. М. Попов
Глушение скважин с контролем поглощения
2025 Д. С. Садуакасов, А. Т. Жолбасарова, Р. У. Баямирова, А. Р. Тогашева, М. Т. Табылганов, М. Д. Сарбопеева, А. Г. Касанова, В. Н. Гусаков, А. Г. Телин