Подать статью
Стать рецензентом
Том 276 Вып. 1
Страницы:
67-76
Скачать том:
RUS ENG

Ядерный магнитный резонанс как метод ревизии теории и практики фильтрационной консолидации водонасыщенных глинистых грунтов

Авторы:
Р. Э. Дашко1
Д. Л. Колосова2
А. С. Мазур3
А. В. Иевлев4
Об авторах
  • 1 — д-р геол.-минерал. наук профессор Санкт-Петербургский горный университет императрицы Екатерины II ▪ Orcid
  • 2 — аспирант Санкт-Петербургский горный университет императрицы Екатерины II ▪ Orcid
  • 3 — специалист Санкт-Петербургский государственный университет ▪ Orcid
  • 4 — научный сотрудник Санкт-Петербургский государственный университет ▪ Orcid
Дата отправки:
2024-07-03
Дата принятия:
2025-04-10
Дата публикации онлайн:
2025-07-03
Дата публикации:
2025-12-29

Аннотация

В статье приведены основные положения и допущения, положенные в основу модели фильтрационной консолидации водонасыщенных глинистых грунтов, предложенной К.Терцаги в 1925 г. для расчетов осадок сооружений. К одному из главных допущений, требующих пересмотра, относится положение о поровой воде глинистых грунтов, свойства которой тождественны свободной воде. На современном этапе поровую воду следует рассматривать с позиций ее структурированности под воздействием активных центров твердых частиц, ионов и др. Представлены результаты экспериментальных исследований влияния активных центров твердой поверхности, прежде всего глинистых частиц, на изменение структуры воды с использованием установок ядерного магнитного резонанса различных поколений. Приведены закономерности изменения структурированности поровой воды в водонасыщенных глинистых грунтах различного гранулометрического и минерального составов в диапазоне изменения их условного физического состояния по влажности. Структурированность поровой воды в грунтах способствует ее инертности к восприятию внешнего давления и, соответственно, к необходимости пересмотра позиций фильтрационной консолидации в пользу реологической модели прогноза развития осадок сооружений как основного критерия их устойчивости.

Область исследования:
Геотехнология и инженерная геология
Ключевые слова:
ядерный магнитный резонанс структуры поровой воды фильтрационная консолидация водонасыщенные глинистые грунты устойчивость поровое давление
Финансирование:

Экспериментальная часть работы поддержана внутренним грантом Санкт-Петербургского государственного университета (инициативный проект, ID 100349765).

Перейти к тому 276

Введение

Теория и практика проектирования и расчетов устойчивости оснований, которые представлены водонасыщенными глинистыми грунтами, базируется на модели фильтрационной консолидации К.Терцаги, предложенной в 1925 г. [1]. Основным положением модели служит анализ уплотнения водонасыщенных тонкодисперсных грунтов при оттоке (фильтрации) поровой воды под действием роста напряжений. Такая модель применяется не только при строительстве и эксплуатации сооружений на глинистых грунтах, но и при решении некоторых задач в практической гидрогеологии. Считается, что наблюдаемый в ряде случаев рост дебитов эксплуатационных скважин во время продолжительных откачек происходит за счет оттока (фильтрации) воды из глинистых относительных водоупоров при снижении уровня подземных вод на величину S и, соответственно, роста нормальных напряжений на водоупоры (σz = γwS, где γw– удельный вес воды) [2].

При математическом обосновании модели фильтрационной консолидации К.Терцаги были сделаны следующие допущения:

  • рассмотрение одномерной задачи уплотнения водонасыщенного глинистого грунта без возможности бокового расширения (мощность слоя глинистого грунта h, отнесенная к ширине площади загрузки b, менее либо равна 0,25);
  • глинистый грунт полностью водонасыщен и поровая жидкость имеет свойства свободной воды;
  • структурные связи между частицами грунта отсутствуют;
  • фильтрация воды из грунта подчиняется линейному закону Дарси:
v=k H l ,

где v – скорость фильтрации; H l – градиент напора; k – коэффициент фильтрации грунтов;

  • в любой момент времени t, отличного от нуля, все внешнее давление p =p2p1 распределяется на поровую воду pв (поровое давление) и скелет грунта pск (эффективное давление) (рис.1).

Рис.1. Изохроны распределения порового давления по высоте слоя глинистого грунта z для различной продолжительности t приложениядавления (согласно гипотезе К.Терцаги)

Основное уравнение гипотезы фильтрационной консолидации связывает изменение напоров в поровой воде глинистого грунта во времени t с изменением напоров H по глубине слоя z:

H t = C u 2 H z 2 ,

где Cu – коэффициент консолидации,

C u = k 1+ e 1 a γ w ,

e1 – начальный коэффициент пористости глинистого грунта; a – коэффициент сжимаемости грунта в интервале давлений p2p1.

В практике механики грунтов отмечается, что при коэффициенте консолидации Cu ≤ 107 см2/год фильтрационная консолидация развивается настолько медленно, что ею можно пренебречь.

Развитие теории фильтрационной консолидации водонасыщенных глинистых грунтов с учетом аномальности поровой воды проводилось рядом ученых [3, 4]. Необходимо отметить работы А.И.Ксенофонтова, использовавшего реологические модели для описания деформационного поведения водонасыщенных глинистых грунтов как однофазных сред при снижении ихкоэффициента фильтрациидо k≤ 10–3 м/сут.

Изучение структуры воды в глинистых грунтах имеет принципиальное научно-практическое значение при анализе длительной устойчивости сооружений различного уровня капитальности, в основании которых залегают водонасыщенные глинистые отложения различного генезиса и возраста [5]. Известно, что такие грунты имеют разные вещественный и гранулометрический составы, физическое состояние, структурные связи и, следовательно, варьирование прочности и несущей способности [6, 7]. Использование модели фильтрационной консолидации при проектировании сооружений приводит к существенному завышению расчетного сопротивления R за счет уплотнения грунтов при проведении экспериментальных исследований для получения характеристик сопротивления сдвигу грунтов: угла внутреннего трения φ и сцепления c. Эти параметры рассматриваются как базовые и используются в расчетах устойчивости наземных сооружений различного класса капитальности [8-10]. Превышение расчетного сопротивления при использовании некорректных (завышенных) значений φ и c над проектными давлениями pc создает предпосылки для перехода строящихся и эксплуатируемых сооружений в предаварийное либо аварийное состояния [11].

Методы изучения трансформации структуры воды под воздействием активных центров твердой поверхности

Исследования изменения структур воды на различных подложках (кварцевых и слюдяных) проводились еще в 60-80-х годах XX века специалистами в области физики и физико-химии. Следует отметить исследования изменения состояния воды под действием активных центров SiO2, а также работы научной школы М.С.Мецика (эксперименты на слюдяных пластинах). При изучении структуры воды в кварцевых капиллярах размером 0,03-0,04 мкм фиксировалось увеличение вязкости адсорбированной воды на 35-40 % по сравнению со свободной водой [12]. Кварцевые подложки в силу достаточно простого кристаллохимического строения обладают малым количеством активных центров по сравнению с алюмосиликатами – полевыми шпатами, слюдой и глинистыми минералами, при этом наиболее сложным строением характеризуются глинистые частицы.

Важной особенностью исследований научной школы М.С.Мецика является выполнение экспериментальных работ на пластинках слюд в условиях изменения состояния их поверхности и, соответственно, активности и количества энергетических центров [13, 14]. Результаты выполненных работ показали, что диэлектрическая постоянная воды εв уменьшается с 80 до 4,5 при снижении толщины адсорбированной пленки воды с 2 до 0,07 мкм, а теплопроводность λ при такой же толщине пленки на свежем сколе слюды становится сопоставимой с теплопроводностью металлов и достигает 60 Вт/м·град, при этом промывка свежерасщепленной поверхности слюды в кипящей воде существенно снижает показатель λ до 0,6 Вт/м·град (вода в объеме).

Следует ответить на вопрос, какую роль играют активные центры различных минералов и как возрастает радиус их влияния, определяемый кристаллохимическими особенностями строения решетки минералов и степенью их дисперсности. Исследования таких энергетически неоднородных активных центров, связанных с точечными дефектами твердой поверхности различных сред (металлических и неметаллических), проводились Г.И.Дистлером. Было установлено, что активные центры делятся на две группы: эпитаксиальные – изменяющие плотность воды в сторону ее увеличения; поляризующие – дальнодействующие, останавливающие трансляционное движение молекул воды на расстоянии 10 мкм. Модель трансляционного движения – скачкообразных перемещений молекул воды из равновесных положений, пребывая в равновесном состоянии 10–13 с, в совокупности с колебательными и вращательными движениями, была предложена ранее Я.И.Френкелем при обосновании жидкого состояния вещества. В твердообразных телах подобное движение отсутствует.

Наиболее точным методом определения кристаллохимического строения жидких и твердых веществ выступает метод ядерного магнитного резонанса (ЯМР), который регистрирует переходы между магнитными энергетическими уровнями атомных ядер, вызываемые радиочастотным (РЧ) излучением [15]. В зарубежных странах ЯМР активно используется для исследования порового пространства грунтов различного состава [16-18].

Поровые воды в грунтах содержат ионы и комплексные соединения органического и неорганического состава в различных концентрациях [19]. Кроме того, в порах грунта присутствуют микроорганизмы и их метаболиты, а также газы различного генезиса (биохимический, глубинный, каталитический) [20-22].

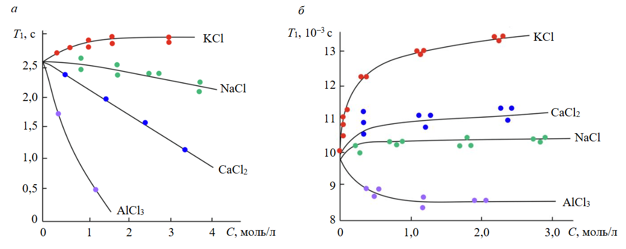
Исследования влияния содержания катионов в растворах солей перхлоратов на структурирование воды (HClO4 – анион, не влияющий на структуру свободной воды) были выполнены В.И.Чижиком [23]. Все исследованные растворы перхлоратов были приготовлены на полностью дегазированной воде, время спин-решетчатой релаксации которой T1 составляет примерно 3,5 с, величина T1 дистиллята несколько ниже и равна 2,5 с. Экспериментально установлено, что параметр T1 в присутствии положительно-гидратирующих ионов снижается примерно в три раза по сравнению с полностью дегазированной водой, наименьшее снижение наблюдается в растворах перхлората натрия, наиболее существенное – в растворах магния.

Предположение об отсутствии свободной воды в глинистых грунтах различного состава и состояния впервые было выдвинуто и подтверждено работами Р.Э.Дашко, выполненными на установке ЯМР ЭХО-4 (1H частота составляла 20 МГц) при исследовании изменения структурных особенностей поровой воды в тонкодисперсных грунтах [24]. Опыты проводились с водонасыщенными глинистыми грунтами различного гранулометрического и минерального состава, а также физического состояния. Необходимо отметить, что глинистые грунты обладают наибольшим количеством активных центров не только в связи с особенностями кристаллохимического строения различных алюмосиликатов и силикатов, но и содержаниями живой компоненты и ее метаболитов (газы, белки, липиды, кислоты и др.) [25-27]. Не только живые, но и мертвые клетки имеют чаще всего положительный заряд [28]. Основными полиэдрами структуры глинистых слоистых алюмосиликатов выступают кремнекислородные тетраэдры, а также октаэдры с различными катионами (Al+3, Mg2+, Ca2+, Na+, K+).

Рис.2. Изменение времени спин-решетчатой релаксацииT1 поровой воды от содержания глинистой фракции в грунте Мс и влажности грунта на пределе текучести WL (а); минерального состава глинистых грунтов (б) [24]

1 – W = 1,1 WL; 2 – W = WL; 3 – Wp< W < WL; 4 – гидрослюдистые глины; 5 – бентонитовые глины

При проведении исследований на установке ЭХО-4 были изучены особенности структуры поровой воды дисперсных грунтов в зависимости от следующих факторов:

  • процентного содержания глинистой фракции Мс при неизменности ее минерального состава (группа гидрослюд) (рис.2, а);
  • изменения влажности грунтов W как показателя их состояния, WL – влажность грунтов на пределе текучести (рис.2, а)[29];
  • влияния активности минерального состава глинистой фракции на величину Т1 – группы монтмориллонита (бентонит) и гидрослюды (рис.2, б);
  • варьирования минерализации поровых вод различного химического состава (рис.3).

Проведенные исследования показали, что свободная вода при такой вариации состава и состояния глинистых грунтов полностью отсутствует, так как усредненный параметр T1 составляет n·10–3 с по сравнению со свободной водой (Т1= 2,5 с). При этом наибольшее снижение T1 наблюдается при наименьших влажностях (при постоянстве минерального состава) и наличии более активных глинистых минералов группы монтмориллонита (бентонита) даже при весьма высоких влажностях W> 70 %.

Рис.3. Изменение времени спин-решетчатой релаксацииT1 протонов воды: a – в растворах от их концентрации C; б – поровых растворов глинистых гидрослюдистых грунтов концентрации C; Мс = 54 %, W = WL[24]

Изучение влияния минерализации и ионного состава поровых растворов на структуру воды показало, что основное воздействие оказывают активные центры глинистых частиц, что подтверждается показателем Т1, измеренным в присутствии отрицательно (K+) и положительно-гидратирующих ионов (Na+, Mg2+, Ca2+, Al3+), при этом значения T1 остаются в пределах n·10–3 с.

Исследования структуры поровой воды в водонасыщенных глинистых грунтах были продолжены на современных установках ЯМР (релаксометр ЭХО-12 с 1H частотой 20 МГц был сконструирован на кафедре радиофизики Санкт-Петербургского государственного университета). Времена спин-решетчатой релаксации измерялись при стандартной последовательности импульсов инверсии-восстановления. Длительность 90° РЧ-импульса составляет 3,8 мкс, «мертвое» время – 32 мкс, отношение сигнал/шум ~ 900. В качестве синтезатора последовательностей используется импульсный генератор Spin Core с тактовой частотой 100 МГц. Программно-аппаратный интерфейс «ЭхоСкан» для всего комплекса написан на объектно-ориентированном языке программирования LabVIEW. Интервал между импульсами составлял от 0,2 до 400 мкс, разделен на 60 отдельных значений. Все исследования проводились при нормальных условиях. Экспериментальные исследования выполнены на оборудовании кафедры ядерно-физических методов исследования и ресурсного центра «Магнитно-резонансные методы исследования» Санкт-Петербургского государственного университета.

Результаты выполненных экспериментальных исследований позволили оценить изменение структуры поровой воды в водонасыщенных глинистых грунтах послойно по мере удаления от активных центров твердых частиц.

Серия исследований была выполнена для изучения влияния различного содержания глинистой фракции в грунтах, имеющих постоянное физическое состояние, которое отвечает условно текучему, согласно нормативным положениям в механике грунтов и инженерной геологии. Такое состояние глинистых грунтов соответствует влажности почв на границе начала загнивания корневой системы растений WL в условиях их избыточного увлажнения. Все исследованные грунты имели одинаковый минеральный состав (группа гидрослюды).

Практика механики грунтов и инженерной геологии показывает, что грунты в условно текучем состоянии (W близка к WL) содержат в поровом пространстве свободную воду, способную воспринимать самые малые давления и удаляться из грунта согласно закону Дарси.

Изменения содержания глинистой фракции и параметров физического состояния исследованных грунтов приведены в табл.1.

Таблица 1

Гранулометрический состав и некоторые физические свойства исследуемых глинистых грунтов

Номеробразца

Тип грунта

Размер фракций и содержание в образцах, %

Влажность W, %

Пределы пластичности, %

Число пластичности, IР, %

Глинистая (<0,002 мм)

Пылеватая

(0,002-0,05 мм)

Влажность на пределе текучести WL

Влажность на пределе раскатки WP

1

Суглинок средний пылеватый

16

84

26,7

26,7

15,8

10,9

2

Суглинок тяжелый пылеватый

28

72

34,2

34,2

19,5

14,7

3

Глина пылеватая

40

60

45,0

45,0

24,0

21,0

Наименования грунтов даются согласно широко используемой в инженерной геологии трехчленной классификации грунтов В.В.Охотина по содержанию песчаных, пылеватых и глинистых фракций. Количество глинистой фракции определяет величины характерных влажностей WL и WP (табл.1).

Обсуждение результатов

В ходе проведения экспериментальных исследований образцов фиксированного состояния и влажности (табл.1) на установке ЭХО-12 (частота 20 МГц) были получены значения параметра T1, которые характеризуют степень структурирования поровой воды по мере удаления ее протонов от активных центров на поверхности твердых частиц. Обработка результатов осуществлялась с помощью программно-аппаратного интерфейса «ЭхоСкан» при поиске наилучшей аппроксимации по методу Левенберга – Марквардта (табл.2).

Таблица 2

Значения времени спин-решетчатой релаксации T1 для грунтов текучей консистенции с различным содержанием глинистой фракции

Номер образца

Тип грунта

Содержание глинистой (<0,002 мм) фракции, %

W = WL, %

Время спин-решетчатой релаксации, мс

T1S

T1C

1

Суглинок средний пылеватый

16

26,7

0,4

17,6

2

Суглинок тяжелый пылеватый

28

34,2

0,7

11,9

3

Глина пылеватая

40

45,0

0,9

10,8

Примечание. T1S – характеризует структурированность поровой воды на твердой поверхности частиц, T1C – в центральной части поры.

Общая тенденция изменения T1 по мере роста глинистой фракции, определяющей наибольшее число активных центров в образце грунта, прослеживается в снижении максимальных величин T1, что связано с сокращением размера пор и, соответственно, наибольшего влияния тонкодисперсных частиц на структурированность поровой воды. Основной вывод согласно результатам проведенных исследований – отсутствие свободной воды в порах водонасыщенных глинистых грунтов в наиболее неустойчивом текучем состоянии. Отметим, что даже максимальное полученное значение T1С = 17,62 мс более чем на два порядка ниже значения свободной воды T1= 2,5 с.

Сопоставление результатов современных исследований структуры поровой воды на установке ЭХО-12 с ранее полученными закономерностями (ЭХО-4) дает возможность убедиться в их численной идентичности. Средневзвешенные значения T1 (по процентному соотношению наиболее вероятностных значений T1) совпадают с величинами T1, полученными для глинистых грунтов различного гранулометрического состава в текучем состоянии (W= WL) (табл.3).

Таблица 3

Сравнение значений T1, полученных на установках ЭХО-4 и ЭХО-12

Содержание глинистой (<0,002 мм) фракции, %

Время спин-решетчатой релаксации T1, мс

Примечание

ЭХО-4

ЭХО-12

16

13,22

Экспериментальные исследования выполнены на грунтах одного и того же минерального, гранулометрического составов и физического состояния

28

12,10

9,36

40

11,10

8,60

Для образцов с различным содержанием глинистой фракции были записаны спектры сигналов спада магнитной индукции FID (free induction decay) после быстрого преобразования Фурье на установке ЭХО-12 (рис.4, а-в). Так как приемник релаксометра использует синхронный фазовый детектор и не имеет возможности квадратурного обнаружения, все спектры были записаны со смещением от резонансной частоты на 47,5 кГц с разрешением спектра 500 Гц. На рис.4, г показан совмещенный спектр сигналов с нормировкой по оси амплитуды.

Трактовка спектров сигналов протонов поровой воды для трех образцов глинистых грунтов при W= WL позволяет объяснить ее структурированность на различном удалении от активных центров твердых частиц, которые обозначены как 1-я и 2-я компоненты в табл.4. Спектр изменения строения поровой воды сравнивается со спектром сигнала объемной воды.

Компонента 1 устанавливает закономерности увеличения структурированности поровой воды различных глинистых грунтов при росте содержания глинистой фракции в наибольшем удалении от твердой поверхности – в центральной области поры (действие поляризующих центровпо Г.И.Дистлеру); 2-я компонента позволяет проследить те же закономерности вблизи твердой поверхности (эпитаксиальные центры). Значение HWHM 1-й компоненты в наиболее удаленных слоях воды в 4-6 раз выше того же параметра для свободной воды (0,2 кГц).

Постоянство значения 3-й компоненты, вероятно, характеризует кристаллизационную воду глинистого минерала, которая входит в его структуру. Такая вода обычно удаляется при температуре обжига глин выше 300-600 °C.

Рис.4. Спектры сигнала FID, записанные для водонасыщенных глинистых грунтов различного гранулометрического состава постоянного физического состояния (W = WL): aMс = 16 %; бMс = 28 %; вMс = 40 %; г – совмещенный спектр трех испытанных образцов

Таблица 4

Значения HWHM (half width at half maximum), полученные при обработке спектров сигналов

Компоненты

HWHM, кГц

Мс = 16 %

Мс = 28 %

Мс = 40 %

Объемная вода

1

0,86

1,17

1,29

0,2

2

3,0

3,9

4,7

3

19,0

19,0

19,0

Примечание. Параметр HWHM применяется при анализе спектров и обозначает половинную ширину на уровне половинной амплитуды.

Кроме исследований степени структурирования поровой воды водонасыщенных глинистых грунтов, находящихся в условиях квазитекучего состояния, были выполнены эксперименты на образце грунта при W = WP. Согласно действующей классификации грунтов в механике грунтов и инженерной геологии такое состояние рассматривается как квазитвердое и WP характеризуется как влажность на пределе пластичности. Показатель WP в почвоведении соответствует влажности начала увядания корневой системы растений, вакуумные насосы которых не способны «откачивать» почвенную влагу. Этот показатель фиксирует максимальное количество физически связанной воды в глинистых грунтах и определяется как параметр максимальной молекулярной влагоемкости Wм max, который близок по величине к влажности WP. Значение Wм max получают путем удаления воды из образцов глинистых грунтов толщиной 2 мм под давлением 6,55 МПа.

Рис.5. Спектр сигнала FID, полученный для образца водонасыщенного глинистого грунта при W = WP и содержании глинистой фракции 40 %

Структура воды для водонасыщенного глинистого образца (Mс = 40 %) определялась при влажности, близкой к W = WP = 26 %. Значения параметра T1, определенного на установке ЭХО-12, варьировали от 4,76 до 9,62 мс. Более узкий диапазон изменения T1 может быть объяснен наименьшим диаметром пор и большим влиянием эпитаксиальных центров на структурированность поровой воды по сравнению с поляризующими. При анализе полученного спектра сигнала выделяются лишь две компоненты, в том числе кристаллизационная вода в структуре глинистого минерала (19 кГц) и единая компонента, характеризующая адекватность структуры поровой воды в грунте (рис.5).

Анализируя рис.5, можно отметить, что значение HWHM для данного типа водонасыщенного глинистого грунта в условно твердом состоянии в 12,5 раз отличается от того же параметра, характерного для свободной воды, что отвечает наиболее упрочненной структуре поровой воды из всех исследованных образцов.

При передаче давления от сооружения на водонасыщенные грунты наблюдается его перераспределение между твердыми частицами и поровой водой. Исследователи по-разному подходили к вопросам фильтрационной консолидации водонасыщенных глинистых грунтов, интенсивность развития которой зависит от динамики изменения порового давления.

Согласно самым первым теоретическим моделям одномерного сжатия К.Терцаги и В.А.Флорина значение порового давления постепенно снижается от 100 % (по К.Терцаги) и от 80 % (по В.А.Флорину) во времени до нулевых значений. Согласно Н.А.Цытовичу, развитие порового давления рассматривается как процесс, характеризующийся постепенным повышением порового давления, а затем его рассеиванием до остаточных значений, которые зависят от состояния глинистых грунтов и прочности структурных связей.

Экспериментальные исследования относительных величин поровых давлений pв/p при одномерной задаче уплотнения с различным содержанием глинистой фракции Mс и близким физическим состоянием показали идентичность снижения pв/p по мере увеличения степени структурированности поровой воды и, соответственно, степени ее инертности по отношению к давлению p (рис.6).

Рис.6. Закономерность изменения структурированности воды по значению Т1 (а) и относительной величины порового давления pв/p (б) от содержания глинистой фракции в грунтах Mс и показателя текучести IL

1 – лабораторные исследования; 2 – полевые замеры; 3 – ЭХО-4; 4 – ЭХО-12

Как известно, одномерная задача уплотнения (без возможности бокового расширения) относится к теоретическим. В условиях одновременного развития вертикальных и боковых деформаций значения поровых давлений снижаются до нулевых значений.

Деформации развиваются за счет ползучести скелета грунтов, т.е. структурированная поровая вода проявляет себя как инертная составляющая. Следовательно, основная физическая модель водо- и водогазонасыщенных глинистых грунтов должна трактоваться законами реологии, которые отвечают реальной работе грунтов оснований.

Заключение

В настоящее время назрела необходимость пересмотра модели фильтрационной консолидации К.Терцаги, которая широко используется в практике проектирования сооружений различного назначения, в том числе капитальных и уникальных на водо- и водогазонасыщенных глинистых грунтах различного генезиса и возраста [30-32]. Такие грунты составляют от 60 до 80 % в строении осадочного чехла не только России, но и всего мира.

Пересмотр модели К.Терцаги должен базироваться на позициях оценки степени структурированности поровой воды в тонкодисперсных грунтах, что предопределяет особенности взаимодействия сооружений с глинистыми грунтами.

Наиболее достоверные результаты по изменению структуры воды под действием различных энергетических центров могут быть получены на основе применения ЯМР. Обзор ранее выполненных исследований структуры воды с использованием других методов показывает ограниченность воздействия активных центров твердых поверхностей силикатов и алюмосиликатов на преобразование воды в порах грунтов.

Практика механики грунтов и инженерной геологии показывает, что глинистые грунты в квазитекучем и близком к нему состоянии содержат в достаточном количестве свободную воду, которая, принимая на себя часть внешнего давления, удаляется из глинистых отложений, способствуя снижению их влажности, повышению плотности и прочности. Использование некорректных характеристик сопротивления сдвигу глинистых грунтов создает условие для перехода сооружений в аварийное либо предаварийное состояние при необоснованном завышении несущей способности грунтов в основании.

Экспертные заключения по таким ситуациям обычно ограничиваются формально выполненным анализом и поиском ошибок в инженерных изысканиях, или нарушением регламента строительства. При этом полностью отсутствует критический анализ достоверности параметров сопротивления сдвигу водонасыщенных глинистых грунтов, используемых в расчетах несущей способности оснований сооружений, которые проектируются по второму предельному состоянию.

В настоящей статье анализируются результаты исследований структурирования поровой воды в различных глинистых грунтах в зависимости от их физического состояния, гранулометрического и минерального состава, а также состава поровых вод на установках ЯМР различного поколения (ЭХО-4 и ЭХО-12). Сравнительная оценка результатов показала, что в глинистых грунтах даже текучей консистенции отсутствует свободная вода. Поровая вода характеризуется различной степенью структурированности по мере удаления от активных центров твердых частиц. Такой вывод сделан на основе полученных данных по значениям времени спин-решетчатой релаксации T1 и ширине спектральных линий HWHM.

Структурированность поровой воды в тонкодисперсных грунтах предопределяет ее инертность к восприятию давления в условиях нового напряженного состояния в зонах взаимодействия системы сооружение – глинистый грунт [33, 34]. Такое положение диктует необходимость применять реологические принципы, характеризующие поведение глинистых грунтов как квазиоднородной среды.

Литература

  1. Powrie W. Soil mechanics. Concepts and applications. CRC Press, 2014. 682 p.
  2. Мироненко В.А., Сердюков Л.И., Котов Й.Г. О влиянии сжимаемости «водоупорных» пород на процесс фильтрации в водоносных пластах // Записки Горного института. 1971. Т. 62. № 2. С. 39.
  3. Флорин В.А. Основы механики. В 2 т. Л.; М.: Госстройиздат, 1959-1961.
  4. Зарецкий Ю.К. Теория консолидации грунтов. М.: Наука, 1967. 270 с.
  5. Bernal J.D., Fowler R.H. A Theory of Water and Ionic Solution, with Particular Reference to Hydrogen and Hydroxyl Ions // The Journal of Chemical Physics. 1933. Vol. 1. № 8. P. 515-548. DOI: 10.1063/1.1749327
  6. Мустафин М.Г., Нгуен Хыу Вьет. Оценка вертикальных смещений оснований зданий и сооружений на основе анализа элементов деформационной сети // Геодезия и картография. 2019. № 3. С. 11-19. DOI: 10.22389/0016-7126-2019-945-3-11-19
  7. Шулятьев О.А., Исаев О.Н., Наятов Д.В., Шарафутдинов Р.Ф. Прогноз развития деформаций основания многофункционального жилого комплекса // Геотехника. 2017. № 2. С. 4-15.
  8. Травуш В.И., Шулятьев О.А., Шулятьев С.О. и др. Анализ результатов геотехнического мониторинга башни «Лахта Центр» // Основания, фундаменты и механика грунтов. 2019. № 2. С. 15-21.
  9. Васенин В.А., Шашкин А.Г. Вековые осадки зданий Санкт-Петербурга. СПб: Изд-во Института «Геореконструкция», 2022. 440 с.
  10. Шашкин А.Г., Зенцов В.Н., Улицкий В.М. Развитие подземного пространства мегаполиса // Жилищное строительство. 2018. № 9. С. 30-36.
  11. Корнилов Ю.Н., Царева О.С. Совершенствование методики наблюдений за деформациями зданий и сооружений // Геодезия и картография. 2020. № 4. С. 9-18. DOI: 10.22389/0016-7126-2020-958-4-9-18
  12. Дерягин Б.В., Чураев Н.В. Новые свойства жидкостей. М.: Наука, 1971. 176 с.
  13. Metsik M.S. Splitting of Mica Crystals and Surface Energy // The Journal of Adhesion. 1972. Vol. 3. Iss. 4. P. 307-314. DOI: 10.1080/00218467208072201
  14. Gudkov O.I., Metsik M.S. Dielectric properties of mica at shf // Soviet Physics Journal. 1973. Vol. 16. № 5. Р. 664-667. DOI: 10.1007/BF00898805
  15. Jacobsen N.E. NMR Data Interpretation Explained: Understanding 1D and 2D NMR Spectra of Organic Compounds and Natural Products. Wiley, 2017. 656 p.
  16. Meyer M., Buchmann C., Schaumann G.E. Determination of quantitative pore-size distribution of soils with 1H NMR relaxometry // European Journal of Soil Science. 2018. Vol. 69. Iss. 3. P. 393-406. DOI: 10.1111/ejss.12548
  17. Jäger A., Bertmer M., Schaumann G.E. The relation of structural mobility and water sorption of soil organic matter studied by 1H and 13C solid-state NMR // Geoderma. 2016. Vol. 284. P. 144-151. DOI: 10.1016/j.geoderma.2016.08.024
  18. Brax M., Köhne M., Kroener E., Schaumann G.E. Potential of NMR relaxometry to unravel the properties of mucilage in several pore sizes // Geoderma. 2019. Vol. 340. P. 269-278. DOI: 10.1016/j.geoderma.2019.01.013
  19. Moritsugu N., Nara T., Koda S. et al. Molecular Mechanism of Acceleration and Retardation of Collective Orientation Relaxation of Water Molecules in Aqueous Solutions // The Journal of Physical Chemistry B. 2020. Vol. 124. Iss. 51. P. 11730-11737. DOI: 10.1021/acs.jpcb.0c10036
  20. Барях А.А., Андрейко С.С., Федосеев А.К. Газодинамическое обрушение кровли при разработке месторождений калийных солей // Записки Горного института. 2020. Т. 246. С. 601-609. DOI: 10.31897/PMI.2020.6.1
  21. Shuangbiao Han, Zhiyuan Tang, Chengshan Wang et al. Hydrogen-rich gas discovery in continental scientific drilling project of Songliao Basin, Northeast China: new insights into deep Earth exploration // Science Bulletin. 2022. Vol. 67. Iss. 10. P. 1003-1006. DOI: 10.1016/j.scib.2022.02.008
  22. Mukhopadhyay S., Parai R. Noble Gases: A Record of Earth’s Evolution and Mantle Dynamics // Annual Review of Earth and Planetary Sciences. 2019. Vol. 47. P. 389-419. DOI: 10.1146/annurev-earth-053018-060238
  23. Chizhik V.I. NMR relaxation and microstructure of aqueous electrolyte solutions // Molecular Physics. 1997. Vol. 90. Iss. 4. P. 653-660.
  24. Дашко Р.Э. Инженерно-геологический анализ и оценка водонасыщенных глинистых пород как основания сооружений. СПб: Изд-во Института «Геореконструкция», 2015. 384 с.
  25. Pereiro I., Fomitcheva-Khartchenko A., Petrini L., Kaigala G.V. Nip the bubble in the bud: a guide to avoid gas nucleation in microfluidics // Lab on a Chip. 2019. Vol. 19. № 14. P. 2296-2314. DOI: 10.1039/C9LC00211A
  26. Cheremisina O., Litvinova T., Sergeev V. et al. Application of the Organic Waste-Based Sorbent for the Purification of Aqueous Solutions // Water. 2021. Vol. 13. Iss. 21. № 3101. DOI: 10.3390/w13213101
  27. Куликова Н.В., Данильев С.М., Ефимова Н.Н., Куликов А.И. Моделирование данных сейсмотомографии и электротомографии для песчано-глинистого разреза с наличием приповерхностных скоплений газа // Мониторинг. Наука и технологии. 2020. № 2 (44). С. 26-30. DOI: 10.25714/MNT.2020.44.004
  28. Бактериальная палеонтология / Под ред. А.Ю.Розанова. М.: Российская академия наук, 2021. 124 с.
  29. O’Kelly B.C. Review of Recent Developments and Understanding of Atterberg Limits Determinations // Geotechnics. 2021. Iss. 1. P. 59-75. DOI: 10.3390/geotechnics1010004
  30. Протосеня А.Г., Кумов В.В. Влияние структуры массива грунта в смешанном забое тоннеля на форму и размер мульды осадок земной поверхности // Горный информационно-аналитический бюллетень. 2024. № 4. С. 5-21. DOI: 10.25018/0236_1493_2024_4_0_5
  31. Karasev M., Astapenka T. Assessment of the Influence of Formation Conditions of Embankments and Spoil Heaps on Their Stability When Dumped on Clay-Salt Slurries // Eng. 2025. Vol. 6. Iss. 1. № 2. DOI: 10.3390/eng6010002
  32. Яковлева А.А., Мовчан И.Б., Мединская Д.К., Садыкова З.И. Количественные интерпретации потенциальных полей: от параметрических пересчетов к геоструктурным // Известия Томского политехнического университета. Инжиниринг георесурсов. 2023. Т. 334. № 11. С. 198-215. DOI: 10.18799/24131830/2023/11/4152
  33. Морозов К.В., Демехин Д.Н., Бахтин Е.В. Многокомпонентные датчики деформаций для оценки напряженно-деформированного состояния массива горных пород // Горный информационно-аналитический бюллетень. 2022. № 6-2. С. 80-97. DOI: 10.25018/0236_1493_2022_62_0_80
  34. Деменков П.А., Романова Е.Л., Котиков Д.А. Исследование формирования напряженно-деформированного состояния крепи вертикального ствола и вмещающего массива горных пород в условиях неравномерности его контура // Горный информационно-аналитический бюллетень. 2023. № 11. С. 33-48. DOI: 10.25018/0236_1493_2023_11_0_33

Похожие статьи

Сравнительный анализ влияния различных нанодобавок на характеристики буровых растворов на основе дизельного топлива
2025 Е. И. Лысакова, А. В. Минаков, А. Д. Скоробогатова, М. И. Пряжников
Оценка эффектов взаимодействия фундамента и основания методами численного моделирования для условий подработки здания Мариинского театра в Санкт-Петербурге
2025 Е. М. Волохов, В. К. Кожухарова, С. Н. Зеленцов, Д. З. Мукминова, А. А. Исаев
Ранне-среднедевонские рудовмещающие вулканогенные формации Змеиногорского рудного района северо-западной части Рудного Алтая
2025 М. Л. Куйбида, И. В. Викентьев, Н. Н. Крук, О. В. Мурзин, Н. М. Мурзина, А. В. Чугаев, В. А. Яковлев, Я. Ю. Шелепов, А. В. Нарыжнова, П. А. Фоминых, Е. Д. Зюков, Г. Ф. Карманов
Роль сдвиговых дислокаций в формировании нефтегазоперспективных структур северного фланга Охотской нефтегазоносной провинции
2025 А. С. Егоров, Н. В. Большакова, Д. Ф. Калинин
Гидрохимическая эволюция подземных вод в результате десятилетней разработки месторождения апатит-нефелиновых руд в юго-восточной части Хибинского щелочного массива
2025 В. А. Даувальтер, М. В. Даувальтер, З. И. Слуковский
Теоретическое и экспериментальное обоснование использования редокс-системы Fe0-C для очистки карьерных вод от нитрат-ионов
2025 Е. Н. Бессонова, И. С. Глушанкова