The influence of ocean anoxia on conditions for the Domanik deposits formation
Abstract
The article considers one of conditions for the Domanik facies formation on the example of Tatarstan and Bashkortostan. The main emphasis is on the influence of anoxic paleobasin conditions on the high-carbon strata formation. A detailed study of the hydrocarbon composition of Domanik deposits made it possible to find characteristic biomarkers in their composition. They are based on the composition and structure of diagenetic products of biological compounds composing the sulphur bacteria living in anoxic/euxinic paleobasin conditions. Such compounds include C40 diaryl isoprenoids – isorenieratane and paleorenieratane. C10 tetramethylbenzenes also occupy a special place in the Domanik deposits study. Their appearance in the composition of organic matter of these deposits results from the transformation of sulphur bacteria compounds. Diaryl isoprenoids and tetramethylbenzenes are a reliable indicator of anoxic conditions of the Domanik deposits formation. The thermodynamic state of the hydrocarbon environment can be determined from the ratio of tetramethylbenzene isomers.
None
Introduction
The current stage of the country’s energy complex development is characterized by a significant contribution to the overall balance of hydrocarbon raw materials from the so-called “unconventional” resources [1], which include hydrocarbons from tight reservoirs, heavy high-viscosity oils, etc. Currently, their resources, according to various estimates, exceed those of conventional analogues and continue to grow. These accumulations are difficult to exploit due to peculiar formation and occurrence conditions, well drilling and testing technology, methods for identifying reservoirs and determining permeability and porosity, etc. One of the promising sources for replenishing oil and gas accumulations are the Upper Devonian Domanik facies, which are widespread throughout almost the entire area of Tatarstan and the Volga-Urals.
A large number of works are devoted to the Domanik formations, describing their main properties. Domanik deposits are dark bituminous shales interbedded with dark bituminous limestones; sometimes silicified areas and interbeds with a high organic carbon content Corg to 25 % are observed. They are distributed from the Frasnian of the Upper Devonian (D3dm) to the Famennian (D3fm) at depths of 1-4 thousand m. The rocks are dense, extremely low permeable, and are characterized by the presence of large zones of lithological replacement of reservoirs with impermeable dense areas. To characterize rocks enriched with organic matter (OM) from the Domanik deposits, the geochemical classification of organic carbon content is widely used: domanikoids (Cnc – 0.5-5 %), domanikites (Cnc – 5-25 %). However, this approach to studying the Domanik deposits, according to the authors, is insufficient and requires new criteria that allow for a detailed description of the geological conditions of the Domanik strata formation.
Geochemical studies occupy one of the leading places in identifying promising sites with unconventional hydrocarbon resources and their assessment. The studies of Domanik formations encounter the complexity of predicting oil and gas zones associated with the structural features of these accumulations, as well as the lack of unambiguous criteria determining the accumulation prospects during drilling and geophysical studies in wells. Insufficient parameters indicating the presence of high-carbon strata in the section of commercial accumulations containing mobile hydrocarbons, the degree of catagenetic transformation of dispersed organic matter of rocks, etc. are noted.
Domanik formations have their own characteristics that allow them to be used to identify rocks confined to specific formation conditions. This is necessary in geochemical logging used to find promising areas. One of these indicators is the specific conditions of the Domanik deposits formation and their manifestation in the areas under consideration. Several foreign studies note that a considerable number of large oil and gas fields formed in the Late Devonian [2]. Analysis of the paleoconditions occurring during their formation showed the development of one of the five large anoxic conditions in the ocean. It is necessary to note the coincidence of the periodical appearance of large accumulations and anoxic zones, which indicates a direct connection between them [3].
The Late Devonian (383-359 Ma) was a time of prolonged climatic instability with catastrophic disruption of global marine ecosystems at the Frasnian and Famennian (F-F) [4] as well as the Devonian and Carboniferous (D-C) boundaries. The causes and mechanisms of anoxia (oxygenless environment) in sedimentation basins during these periods and, as a consequence, the extinction of marine organisms in the F-F interval are explained from various positions and are actively discussed. However, it is not denied that the mass extinction was associated with large-scale regional oceanic anoxic events [5], during which stagnation in the water column led to permanent stratification and widespread anoxia [6].
In many (but not all) locations, the F-F time interval is characterized by the formation of two dark layers enriched in dispersed organic matter (DOM): the lower and upper Kellwasser beds (originally described in Germany), which reflect the successive occurrence of anoxic oceanic environments that caused the active extinction. The upper and lower Kellwasser beds are often referred to as the Kellwasser event [7, 8]. In recent decade, new methodological approaches to the study of F-F boundary depositional paleoenvironments worldwide confirm the global scope of the Kellwasser event [9, 10], but with some modifications depending on its intensity and the specific paleoenvironments and paleogeography of different areas. Studying many different geochemical and lithologic manifestations of the Kellwasser event using a wide variety of paleoenvironments, a multi-proximation approach, and placing the results in the broader context of the Late Devonian marine biodiversity models is important for understanding the true extent of the ocean anoxia and determining the causes of the F-F marine biodiversity crisis.
In the initial stages of studying high-carbon strata, black shale deposits formation was based on the “conservation” model of dying organic matter. At present, resting on the interdependent roles of environmental conditions of sedimentation and microbial metabolism, the model is accepted in favour of the “productivity” [11, 12]. Periodic changes in the intensity and predominant influence of each of these factors probably led to the observed diversity of black shale types. It should be noted that these issues are complicated by a number of the following contradictory observations: most organic-rich sediments apparently accumulated at low rates of volume sedimentation, although modern data indicate that the organic matter concentration increases with sedimentation; many sediments of epicontinental basins show periodic or frequent oxygenation events, although persistent anoxia outweighs the modulation of concentration under the influence of sedimentation; primary production is often considered as a control for the burial of ancient organic matter, although this is based on modern observations at continental margins [11, 13, 14]. These complexities highlight another principal issue: Devonian black shales were deposited primarily in back-arc and epicontinental seas, which have no equivalents today.
As is known, biological components of marine ecosystems are extremely sensitive to environmental conditions, in particular to the oxygen level changes in the bottom water. Increased accumulation of organic-rich marine sediments and the black shales formation occur in anoxic (oxygenless) conditions. This draws attention to the redox conditions of the aquatic environment and bottom sediments [15]. In many aquatic environments, anoxia developed into euxinia, a condition in which hydrogen sulphide concentration in deep waters increased to toxic levels [16], which had a detrimental effect on marine organisms. This is why euxinic conditions (EC) of a sedimentary basin are an obligatory and key prerequisite for black shales formation, and anoxia of the water column itself acts as a dominant factor in the organic matter accumulation.
For the occurrence of EC, both anoxic and sulphide environments are necessary. Therefore, water bodies in which these conditions occur are strongly stratified, having an oxygen-rich, thin surface layer and an anoxic, sulphide bottom zone. EC are determined in a paleobasin mainly based on the geochemical indices. For these purposes, the V/(V + Ni) ratio is mainly used to stratify anoxic conditions (Dysoxic, Suboxic, Anoxic, and Euxinic) [14] of the water column. The causes of the EC formation in a water basin and their duration, in particular, are associated with geodynamic situations when ophiolite, island-arc, and trap magmatism were activated [17]. Large events of this type led to the rapid destruction of shallow-water marine benthos during the mass extinction at the end of the Devonian.
Many studies note that ocean euxinia was one of the main factors in the change of biota and the emergence of its new species. From the standpoint of biochemistry, under anoxic conditions, the biota using oxygen in its life cycle was replaced by biota using hydrogen sulphide and other compounds (possibly methane). The volume of biomass formed under these conditions could increase sharply against the background of nutrients abundance and ensured a high carbon content in the rocks of future shale deposits, as well as the formation of large shale strata. This confirms the connection between EC and the formation of large shale oil and gas fields [18].
The change in the biota of the sedimentation basin and the periodic appearance of another type of biota capable of adapting to EC and a sharply reducing environment determined the need to use a new set of biological compounds and products of their diagenetic transformation in geochemical studies of the Domanik deposits.
Methods
Geochemical methods used to find anoxic/euxinic conditions are based on the study of hydrocarbon compounds that have retained the basic structural elements of biological organisms living under these conditions, and on the products of their transformation in the subsurface.
Organisms present in living nature belong to one of three life domains: Bacteria, Eukarya, and Archaea [19]. Some of them have clear taxonomic associations and can be assigned to a certain group of organisms with high taxonomic accuracy [20]. To determine EC, it is necessary to use reliable geochemical indicators that indicate the presence of those groups of organisms that lived exclusively under these conditions. The most noteworthy is the group of organisms that live exclusively in the photic zone of an aquatic environment with hydrogen sulphide contamination and belong to the Bacteria domain. This group includes brown- and green-coloured sulphur bacteria Chlorobium and purple sulphur bacterium Pseudomonadota. They produce a number of aromatic compounds that can be used as reliable geochemical indicators of the EC presence [21]. The main ones are diagenetic derivatives of natural carotenoid pigments:
The role of natural carotenoids in a living organism is important, since they participate in the absorption of light energy [22, 23], its filtration [24, 25], colour fixation [26], and adaptation to extreme environmental conditions [27]. Currently, more than 700 compounds with a carotenoid structure with various functional substituents have been identified in living nature. However, most of them are produced by organisms living in an oxygenic environment and dying under EC, leaving no reliable biomarkers. The formation of aromatic carotenoids occurs differently by changing bacteria at the gene level. For example, isorenieratane is formed from biological carotenoids with the participation of a special crtU gene, which is activated when the environmental conditions of bacterial life change, when they get in conditions of hydrogen sulphide contamination of a water basin [28]. When EC occur, bacteria adapt to new harsh oxygenless conditions due to their changes at the genetic level. The crtU gene is contained only in a certain type of sulphur bacteria Chlorobiaceae, which live in EC. Okenane, which is a derivative of the pigment of the Chromatiaceae family purple sulphur bacterium [29], has not yet been found in the composition of DOM from the Domanik deposits.
Thus, lipid biomarkers based on aromatic carotenoids can be used to characterize the composition of microbial communities and to track the evolutionary origins of the main groups of organisms inhabiting the marine basin during the Domanik deposits formation. An example of this is sulphur bacteria, which require both light and H2S for normal habitation in the aquatic environment. The presence of light indicates the shallow depths of the marine basin (shelf zone), and H2S is a direct indicator of the photic zone euxinia. It is worth noting that green sulphur bacteria designated GSB1 were found near “black smokers” at depths greater than 2 km and existed due to the dim light of the hydrothermal vent. Green sulphur bacteria can use organic compounds only in the presence of H2S, CO2 in the environment, and are also capable of nitrogen fixation.
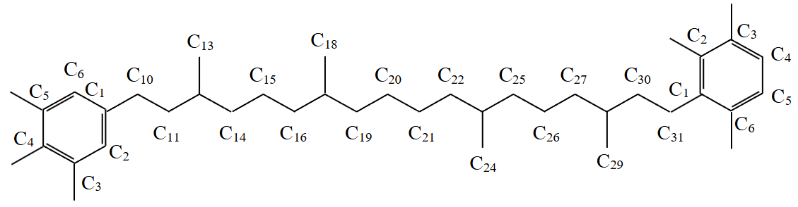
Fig.1. Characteristic composition of aromatic carotenoids for oil from the Domanik deposits C10, …, C40 – number of carbon atoms in a molecule; ∇ – 3,4,5-trimethyl-1-isoalkylbenzenes; Δ – 2,3,6-trimethyl-1-isoalkylbenzenes; I – durene; II – isodurene; III – prehnitene; IV – 3,4,5/2,3,6-paleorenieratane; V – 2,3,6/2,3,6-isorenieratane; VI – 4,5,6/2,3,6-renieratane
Diagenetic and catagenetic processes in the natural environment subsequently transform biolipids into fossil lipids or hydrocarbon biomarkers via complex pathways including oxidation, reduction, and cyclization. These transformations are usually associated with environmental conditions at the early stage of diagenesis, in which organic geochemical reactions proceed most rapidly. For example, in an anoxic environment, in contrast to an oxygenic one, many initial compounds are reduced to the fossil lipid state with the preservation of the initial composition and structure. The euxinic environment, as a rule, promotes the preservation of lipid biomarkers due to the restoration of H2S double bonds, or incorporation into macromolecules via reactions between functional groups and H2S. This also applies to aromatic carotenoids, which are well preserved during the burial of DOM and its occurrence in the Domanik deposits.
Discussion of the results
Fig.1 shows a mass fragmentogram identifying a group of aromatic carotenoids and their derivatives in the composition of oil from the Domanik deposits in the Republic of Tatarstan. Isorenieratane, as well as its digenetic and catalytic products, were first identified in this area in the Semilukian deposits in 2013-2014 [30-32] and described in [30-33]. Similar compounds are also observed in Domanik deposits in the adjacent areas of Tatarstan [34-36]. This indicates the large-scale manifestation of common facial geological conditions of sedimentation, contributing to the active biota development during this period.
In practice, the presence of aromatic carotenoids in oils is determined based on the mass fragmentogram scanned for the m/z 133+134 ions [37]. As an example, Fig. 1 shows a group of C14-C22 aryl isoprenoids with the designation ∆, which have a methyl substitution of the benzene ring in position 2,3,6 in relation to the alkyl chain and an individual C40 diaryl isoprenoid V (isorenieratane) with a methyl substitution of two benzene rings in position 2,3,6-/2,3,6 [38], which are derivatives of natural C40 isorenieratane.
Mass fragmentograms clearly show the presence of the second homologous series of aryl isoprenoids ∇ and the individual C40 diaryl isoprenoid IV called paleorenieratane. In its composition and distribution pattern, the homologous series of aryl isoprenoids ∇ is similar to that of aryl isoprenoids ∆. The difference is that a biological analogue for aryl isoprenoid compounds ∇ has not yet been identified in nature. The structure of the ∇ series compounds was accepted upon the results of studies described in [39-41]. According to these studies, the compounds designated ∇ have a methyl substitution of the benzene ring at position 3,4,5. Compound IV (paleorenieratane) with methyl substitution of the benzene rings at position 3,4,5-/2,3,6 has the following structure:

It should be noted that compounds of carotenoid structure with methyl substitution at 3,4,5-/2,3,6 in the ring were not found in the composition of more than 700 identified natural compounds [28]. Nevertheless, aryl isoprenoids of the ∇ series, despite the absence of their biological precursor in nature, are present in significant quantities in the late Devonian deposits [42] (Fig.2, A). These compounds are also widely represented in the composition of all studied oils and DOM from the Domanik deposits in Russia (Fig.2, B). This arouses a certain interest both in their origin and in their confinement to the Domanik-type deposits.
Fig. 2. Stratigraphic distribution of C40 aromatic carotenoids in different geological periods: A – according to [42]; B – according to the authors’ results for Domanik deposits; Is – isorenieratane; Ch – chlorobactane; Pa – paleorenieratane; Ok – okenane
The observed regularities in the structure and composition of the paleorenieratane transformation products are identical to the isorenieratane transformation products, which suggests its formation also under the EC in the sea basin. Consequently, paleorenieratane can also be used as an additional indicator for the existence of anoxic conditions during sedimentation, including formation of the Domanik-type deposits.
Along with aryl- and diaryl isoprenoids, C10 tetramethylbenzenes (TeMB) can be used when identifying the EC [43-45]. In oils, they are represented by three isomers: durene, isodurene, and prehnitene. The conditions that facilitate their formation are reduced to the destruction of high-molecular natural compounds at the stage of catagenetic transformation in the subsoil. Analysis of existing assumptions about their genetic relationship with natural polycyclic aromatic compounds (organic matter of terrigenous rocks) is not confirmed. High content of these isomers is noted exclusively in the composition of oils and DOM from the Domanik-type deposits. In addition, they are well identified in the composition of oil together with aryl isoprenoids using a mass fragmentogram for the m/z 134 ion (see Fig.1).
Knowing the genetic relationship between aryl isoprenoids and aromatic carotenoids, we can assume a similar relationship with TeMB. This can be confirmed by the thermolysis of the aromatic fraction with a high content of isorenieratane and C40 paleorenieratane from the DOM of the Domanik facies rocks [31]. Two TeMB isomers dominated in the composition of the aromatic products formed as a result of thermolysis. Their formation can be traced using the example of the C40 paleorenieratane destruction:

The composition of the aryl isoprenoids initially present in the DOM remained unchanged, which indicates that, compared to diaryl isoprenoids, aryl isoprenoids are more stable and much more resistant to changes in sedimentation conditions. Based on this, TeMB, along with aryl isoprenoids, are indicators of the appearance of phototrophic sulphur bacteria in seawater due to the development of a reducing environment corresponding to EC. This allows us to use TeMB and aryl isoprenoids as one of the EC indicators influencing the formation of the Domanik deposits composition.
Figures 3-5 show chromatograms of oils and organic matter from the Domanik deposits in different regions of Bashkiria as an example. Their composition indicates the characteristic presence of TeMB, localized in the region of C11-C12 n-paraffins. The high TeMB content and the absence of joint elution with other compounds facilitate their reliable identification in chromatograms of unfractionated oils and DOM extracted from rocks.
Fig.3. Chromatogram of deep oil from the Kayumovskoe field (Bashkortostan) from the D3fm2.1, D3fm2 deposits C11, C12 – number of carbon atoms of n-alkanes; DAI40 – C40 diaryl isoprenoid; I, II, III – see Fig.1
Fig.4. Chromatogram of the chloroform extract obtained from DOM from the D3dm deposits in well N 1 of the Yugomashevskoe field (Bashkortostan) C11, C12 – number of carbon atoms of n-alkanes; DAI40 – C40 diaryl isoprenoid, I, II, III – see Fig.1
Fig.5. Chromatogram of the chloroform extract from DOM from the D3dm deposits in well N 2 of the Krasnousolskoe field (Bashkortostan) C11, C12 – number of carbon atoms of n-alkanes; Pr – pristane; Ph – phytane; I, II, III – see Fig.1
The relationship between oil and DOM of rocks from the Domanik deposits with EC formation can be traced on the triangular diagram (Fig.6) with coordinates in the position of paraffin, C11 – prehnitene – isodurene. The main products of isorenieratane and paleorenieratane destruction, as well as C11 paraffin eluting before them on the chromatogram, are used as coordinates. These compounds accepted for comparative analysis allow us to determine the nature of TeMB and to evaluate their role in comparison with paraffins. As follows from Fig. 6, oils from the Domanik facies rocks formed in EC are located in a fairly narrow interval of region II. The small region I contains oils that have no connection with EC.
Note the large scatter of values and the lack of complete coincidence of the fields of values for oils and DOM samples. This can be explained: firstly, hydrocarbon systems from various generation sources are present in the Domanik deposits, which has already been noted many times [32]; secondly, the limited range of values for DOM extracted from the rock may be associated with a partial loss of C11 hydrocarbons during sample extraction, which shifts the field of values to the left. Despite the ambiguous interpretation of the results, the information obtained is quite important for characterizing DOM during the formation of high-carbon strata in the aquatic environment of the paleobasin.
The presence of three TeMB isomers in oil allows us to estimate its thermodynamic state. This is based on the tendency of isomers to reach an equilibrium state during their occurrence from the formation moment. The composition of oil and DOM from the Domanik deposits is always dominated by two of the three isomers: isodurene (II) and prehnitene (III). The high prehnitene content indicates the prevalence of terminal benzenes with 1,2,3,4 substitution in diaryl isoprenoids. The presence of isodurene characterizes exclusively paleorenieratane, in which one of the two benzene rings has 1,2,3,5 substitution. It is necessary to note the extremely low content of the most stable isomer, durene (I), in the composition of TeMB isomers. The 1,2,4,5 substitution of the benzene ring characteristic of it is not observed in natural compounds. It is also not formed during the OM thermolysis, which gives grounds to associate its origin with the isodurene and prehnitene isomerization. This can be used as the main indicator of the TeMB isomerization effectiveness.
Fig.7 shows a triangular diagram in the coordinates of the prehnitene – durene – isodurene position with the values of the TeMB isomer groups plotted. The TeMB group with the equilibrium state is grouped in a narrow region on the left side of the diagram. All oils according to the TeMB isomers state are in the lower part of the diagram at a sufficient distance from the equilibrium values.
Fig.6. Diagram of the position of oils (1) and organic matter (2) from the Domanik deposit rocks
Formation zones: I – not associated with anoxic conditions; II – associated with anoxic conditions
Fig.7. Diagram evaluating the thermodynamic state of TeMB groups in oils from the Domanik deposits
I – low isomerization; II – medium isomerization; III – high isomerization; IV – equilibrium values; 1 – samples; 2 – equilibrium values
The location of the TeMB groups on it can be conditionally divided into four main regions. Region I is the largest in practice, which includes the bulk of the studied Domanik-type oils. Durene in their composition is at the background values level, not exceeding 5 %, which indicates the absence of isomerization or its initial stage. Under such conditions, the isodurene and prehnitene content is not subject to isomerization and corresponds to the initial state.
Region II is not as numerous as region I. It includes oils from the Domanik deposits with a low degree of isomerization (transformation). This is indicated by the durene content, reaching 25 %, which is formed due to the isodurene and prehnitene isomerization, which cease to reflect the original state.
Oils included in region III are extremely rare. The high durene content observed in them indicates a high degree of thermal transformation of syngenetic DOM, biomarkers of which are present in the oil.
The equilibrium state of IV TeMB isomers in oils and DOM from the Domanik deposits was not observed.
Thus, the durene content in the organic matter of the rocks can serve as a geochemical indicator indicating the impact of secondary superimposed processes (e.g., high-temperature hydrothermal systems) on the Domanik deposits, which can lead to local changes in the lithology and reservoir properties of high-carbon strata.
Conclusion
The conducted studies show that the Domanik facies formed in complex paleoclimatic conditions, the peculiarity of which was the periodic change in redox conditions of the sedimentation environment. In particular, stable anoxic conditions periodically arose in the sea basin, which were accompanied by an increase in the hydrogen sulphide concentration in the water to a toxic level, which led to a sharp extinction of some types of biota and the activation of the vital activity of others.
Considering the change of biotas and the surge in bioproductivity of sulphur bacteria against the background of periodic development of ocean anoxia are the basis for a new methodological approach to the geochemical study of the Domanik deposits. The periodic pulsating occurrence of anoxic conditions in the water column determined the lithological unevenness of the Domanik deposits section and the uneven distribution of organic matter and metallogenic orientation in it.
The exceptional conditions of the sulphur bacteria habitat during the Domanik formation and the surge in their bioproductivity make it possible to use C40 diaryl isoprenoids as one of the most reliable criteria for identifying the boundaries of the Domanik facies distribution in a geological section. Along with C40 diaryl isoprenoids, it is also advisable to use tetramethylbenzenes, which are present in the composition of oils and OM from the Domanik deposits, to determine the sedimentation EC and the presence of anoxia.
The emergence of a sharply reducing environment and euxinic conditions of sedimentation in the studied areas occurred with the dominant participation of the endogenous component. Deep gas emanations entering the sedimentation basin had a reduced character, and their source were areas (channels) of cooling mafic magmas, the melting of which in the Middle Devonian occurred from a depleted mantle reservoir. This explains the mass extinction at the F-F boundary and the creation of unique conditions for a rapid burst of anaerobic bacteria development, which led to the formation of high-carbon strata in the Late Devonian.
References
- Prishchepa O.M., Averyanova O.Yu. The notion base and the paramount objects of unconventional raw hydrocarbons supply. Georesursy, geoehnergetika, geopolitika. 2014. N 2 (10), p. 11 (in Russian).
- Klemme H.D., Ulmishek G.F. Effective Petroleum Source Rocks of the World: Stratigraphic Distribution and Controlling Depositional Factors. American Association of Petroleum Geologists Bulletin. 1991. Vol. 75. Iss. 12, p. 1809-1851. DOI: 10.1306/0c9b2a47-1710-11d7-8645000102c1865d
- Takashima R., Nishi H., Huber B.T., Leckie R.M. Greenhouse World and the Mesozoic Ocean. Oceanography. 2006. Vol. 19. № 4, p. 82-92. DOI: 10.5670/oceanog.2006.07
- Telnova O.P. Abiotic and biotic events at the turn of the Frasnian and Famennian. Vestnik Instituta geologii Komi nauchnogo tsentra Uralskogo otdeleniya RAN. 2008. N 6 (162), p. 2-6 (in Russian).
- Meyer K.M., Kump L.R. Oceanic Euxinia in Earth History: Causes and Consequences. Annual Review of Earth and Planetary Sciences. 2008. Vol. 36, p. 251-288. DOI: 10.1146/annurev.earth.36.031207.124256
- Tyson R.V., Pearson Т.Н. Modern and ancient continental shelf anoxia: an overview. Geological Society, London, Special Publications. 1991. Vol. 58, p. 1-24. DOI: 10.1144/GSL.SP.1991.058.01.01
- Buggisch W. The global Frasnian-Famennian “Kellwasser Event”. Geologische Rundschau. 1991. Vol. 80. Iss. 1, p. 49-72. DOI: 10.1007/BF01828767
- Carmichael S.K., Waters J.A., Königshof P. et al. Paleogeography and paleoenvironments of the Late Devonian Kellwasser event: A review of its sedimentological and geochemical expression. Global and Planetary Change. 2019. Vol. 183. N 102984. DOI: 10.1016/j.gloplacha.2019.102984
- Zhuravlev A.V., Sokiran E.V. Frasnian-Famennian (Upper Devonian) transition in the northern hemisphere (NE Laurussia and NE Siberia) – an overview. Bulletin of Geosciences. 2020. Vol. 95. Iss. 4, p. 419-439. DOI: 10.3140/bull.geosci.1791
- Kotik I.S., Zhuravlev A.V., Maydl T.V. et al. Early-Middle Frasnian (Late Devonian) carbon isotope Event in the Timan-Pechora Basin (Chernyshev Swell, Pymvashor River section, North Cis-Urals, Russia). Geologica Acta. 2021. Vol. 19, p. 17. DOI: 10.1344/geologicaacta2021.19.3
- Sageman В.В., Murphy А.Е., Werne J.P. et al. A tale of shales: the relative roles of production, decomposition, and dilution in the accumulation of organic-rich strata, Middle–Upper Devonian, Appalachian basin. Chemical Geology. 2003. Vol. 195. Iss. 1-4, p. 229-273. DOI: 10.1016/S0009-2541(02)00397-2
- Murphy A.E., Sageman В.В., Hollander D.J. et al. Black shale deposition and faunal overturn in the Devonian Appalachian basin: Clastic starvation, seasonal water-column mixing, and efficient biolimiting nutrient recycling. Paleoceanography. 2000. Vol. 15. Iss. 3, p. 280-291. DOI: 10.1029/1999PA000445
- Prishchepa O.M., Sinitsa N.V., Ibatullin A.Kh. Assessment of the influence of lithofacies conditions on the distribution of organic carbon in the Upper Devonian “Domanik” deposits of the Timan-Pechora Province. Journal of Mining Institute. 2024. Vol. 268, p. 535-551.
- Prischepa O., Xu R., Martynov A. et al. Potential of High-Carbon Domanik (Upper Devonian) Shale Deposits: Timan-Pechora Oil and Gas Province Assessment. International Journal of Engineering. 2024. Vol. 37. N 8, p. 1639-1657. DOI: 10.5829/ije.2024.37.08b.16
- Formolo M.J., Riedinger N., Gill B.C. Geochemical evidence for euxinia during the Late Devonian extinction events in the Michigan Basin (U.S.A.). Palaeogeography, Palaeoclimatology, Palaeoecology. 2014. Vol. 414, p. 146-154. DOI: 10.1016/j.palaeo.2014.08.024
- Jones B., Manning D.A.C. Comparison of geochemical indices used for the interpretation of palaeoredox conditions in ancient mudstones. Chemical Geology. 1994. Vol. 111. Iss. 1-4, p. 111-129. DOI: 10.1016/0009-2541(94)90085-X
- Khain V.E., Polyakova I.D. Carbonaceous metalliferous sediments and oceanic anoxic events in the Earth’s Phanerozoic history. Oceanology. 2012. Vol. 52. N 3, p. 397-410. DOI: 10.1134/S0001437012020063
- 18. Lukin A. Black shale formations of euxinic type – megatraps of natural gas. Geology and Mineral Resources of World Ocean. 2013. N 4, P. 5-28 (in Russian).
- Briggs D.E.G., Summons R.E. Ancient biomolecules: Their origins, fossilization, and role in revealing the history of life. BioEssays. 2014. Vol. 36. Iss. 5, p. 482-490. DOI: 10.1002/bies.201400010
- Brocks J.J., Grice K. Biomarkers (Molecular Fossils). Encyclopedia of Geobiology. Springer, 2011, p. 147-167. DOI: 10.1007/978-1-4020-9212-1_30
- Jian Ma, Xingqian Cui. Aromatic carotenoids: Biological sources and geological implications. Geosystems and Geoenvironment. 2022. Vol. 1. Iss. 2. N 100045. DOI: 10.1016/j.geogeo.2022.100045
- Vogl К., Bryant D.A. Biosynthesis of the biomarker okenone: χ-ring formation. Geobiology. 2012. Vol. 10. Iss. 3, p. 205-215. DOI: 10.1111/j.1472-4669.2011.00297.x
- Vogl K., Bryant D.A. Elucidation of the Biosynthetic Pathway for Okenone in Thiodictyon sp. CAD16 Leads to the Discovery of Two Novel Carotene Ketolases. Journal of Biological Chemistry. 2011. Vol. 286. N 44, p. 38521-38532. DOI: 10.1074/jbc.M111.280131
- Hirabayashi H., Ishii T., Takaichi S. et al. The role of the carotenoids in the photoadaptation of the brown-colored sulfur bacterium Chlorobium phaerobacteroides. Photochemistry and Photobiology. 2004. Vol. 79. Iss. 3, p. 280-285. DOI: 10.1111/j.1751-1097.2004.tb00396.x
- Overmann J., Cypionka H., Pfennig N. An extremely low-light adapted phototrophic sulfur bacterium from the Black Sea. Limnology and Oceanography. 1992. Vol. 37. Iss. 1, p. 150-155. DOI: 10.4319/lo.1992.37.1.0150
- Niedzwiedzki D.M., Cranston L. Excited state lifetimes and energies of okenone and chlorobactene, exemplary keto and non-keto aryl carotenoids. Physical Chemistry Chemical Physics. 2015. Vol. 17. Iss. 20, p. 13245-13256. DOI: 10.1039/C5CP00836K
- Edge R., McGarvey D.J., Truscott T.G. The carotenoids as anti-oxidants – a review. Journal of Photochemistry and Photobiology B: Biology. 1997. Vol. 41. Iss. 3, p. 189-200. DOI: 10.1016/S1011-1344(97)00092-4
- Maresca J.A., Graham J.E., Bryant D.A. The biochemical basis for structural diversity in the carotenoids of chlorophototrophic bacteria. Photosynthesis Research. 2008. Vol. 97. Iss. 2, p. 121-140. DOI: 10.1007/s11120-008-9312-3
- Brocks J.J., Schaeffer P. Okenane, a biomarker for purple sulfur bacteria (Chromatiaceae), and other new carotenoid derivatives from the 1640 Ma Barney Creek Formation. Geochimica et Cosmochimica Acta. 2008. Vol. 72. Iss. 5, p. 1396-1414. DOI: 10.1016/j.gca.2007.12.006
- Ostroukhov S.B., Plotnikova I.N., Nosova F.F., Pronin N.V. Geochemical Criteria for Facies Conditions in the Formation of Shale Deposits. Georesources. 2015. N 3-1 (62), p. 42-47 (in Russian).
- Ostroukhov S.B., Pronin N.V., Plotnikova I.N., Khairtdinov R.K. A new method of “geochemical logging” for studying Domanic deposits. Georesources. 2020. Vol. 22. N 3, p. 28-37 (in Russian). DOI: 10.18599/grs.2020.3.28-37
- Ostroukhov S.B., Plotnikova I.N., Nosova F.F. et al. Characteristic Features of the Composition and Structure of Crude Oils From the Pervomai and Romashkino Fields in Tatarstan. Chemistry and Technology of Fuels and Oils. 2015. Vol. 50. Iss. 6, p. 561-568. DOI: 10.1007/s10553-015-0564-2
- Smirnov M.B., Poludetkina E.N., Fadeeva N.P. Anoxia in the Photic Layer of the Sedimentation Basin: Markers in the Oils of Tatarstan. Geochemistry International. 2019. Vol. 57. N 6, p. 635-644. DOI: 10.31857/S0016-7525646594-604
- Bushnev D.A. Anoxic basins organic matter geochemistry. Vestnik of Geosciences. 2022. N 2 (326), p. 3-11 (in Russian). DOI: 10.19110/geov.2022.2.1
- Bushnev D.A., Burdel’naya N.S., Ponomarenko E.S., Zubova (Kiryukhina) T.A. Anoxia in the Domanik basin of the Timan–Pechora region. Lithology and Mineral Resources. 2016. Vol. 51. N 4, p. 283-289. DOI: 10.7868/S0024497X16040029
- Smirnov M.B., Fadeeva N.P., Poludetkina E.N. Distribution of Anoxic Conditions in the Photic Layer of Sedimentation Basin during Formation of Organic Matter in the Domanik Sediments of the Northern and Central Areas of the Volga–Urals Petroleum Basin. Geochemistry International. 2020. Vol. 58. N 3, p. 321-331. DOI: 10.31857/S0016752520030103
- Ostroukhov S.B., Arefyev O.A., Makushina V.M. et al. Monocyclic aromatic hydrocarbons with isoprenoid side chains. Neftehimia. 1982. Vol. 22, p. 723-728 (in Russian).
- Koopmans M.P., Schouten S., Kohnen M.E.L., Sinninghe Damsté J.S. Restricted utility of aryl isoprenoids as indicators for photic zone anoxia. Geochimica et Cosmochimica Acta. 1996. Vol. 60. Iss. 23, p. 4873-4876. DOI: 10.1016/S0016-7037(96)00303-1
- Hartgers W.A., Sinninghe Damsté J.S., Koopmans M.P., de Leeuw J.W. Sedimentary evidence for a diaromatic carotenoid with an unprecedented aromatic substitution pattern. Journal of the Chemical Society, Chemical Communications. 1993. Iss. 23, p. 1715-1716. DOI: 10.1039/C39930001715
- Hartgers W.A., Sinninghe Damsté J.S., Requejo A.G. et al. A molecular and carbon isotopic study towards the origin and diagenetic fate of diaromatic carotenoids. Organic Geochemistry. 1994. Vol. 22. Iss. 3-5, p. 703-725. DOI: 10.1016/0146-6380(94)90134-1
- Clifford D.J., Clayton J.L., Sinninghe Damsté J.S. 2,3,6-/3,4,5-Trimethyl substituted diaryl carotenoid derivatives (Chlorobiaceae) in petroleums of the Belarussian Pripyat River Basin. Organic Geochemistry. 1998. Vol. 29. Iss. 5-7, p. 1253-1267. DOI: 10.1016/S0146-6380(98)00086-2
- French K.L., Rocher D., Zumberge J.E., Summons R.E. Assessing the distribution of sedimentary C40 carotenoids through time. Geobiology. 2015. Vol. 13. Iss. 2, p. 139-151. DOI: 10.1111/gbi.12126
- Ostroukhov S.B., Pronin N.V. Tetramethylbenzenes in Oils as New Geochemical Indicators to Establish Anoxic Sedimentation Conditions. Chemistry and Technology of Fuels and Oils. 2023. Vol. 59. Iss. 1, p. 40-46. DOI: 10.1007/s10553-023-01500-0
- Zhao-Wen Zhan, Guo-Xiang Wang, Yankuan Tian et al. Determination and petroleum geochemical significance of short-chain alkylbenzenes in lacustrine source rocks. Organic Geochemistry. 2023. Vol. 185. N 104685. DOI: 10.1016/j.orggeochem.2023.104685
- Bin Cheng, Tieguan Wang, Haiping Huang et al. Ratios of low molecular weight alkylbenzenes (C0–C4) in Chinese crude oils as indicators of maturity and depositional environment. Organic Geochemistry. 2015. Vol. 88, p. 78-90. DOI: 10.1016/j.orggeochem.2015.08.008