Submit an Article
Become a reviewer
Vol 272
Pages:
145-158
Download volume:
RUS ENG

Public-private partnership in the mineral resources sector of Russia: how to implement the classical model?

Authors:
Sergei M. Lavlinskii1
Artem A. Panin2
Aleksandr V. Plyasunov3
About authors
  • 1 — Ph.D., Dr.Sci. Leading Researcher Sobolev Institute of Mathematics, Siberian Branch of the RAS ▪ Orcid
  • 2 — Ph.D. Senior Researcher Sobolev Institute of Mathematics, Siberian Branch of the RAS ▪ Orcid
  • 3 — Ph.D., Dr.Sci. Leading Researcher Sobolev Institute of Mathematics, Siberian Branch of the RAS ▪ Orcid
Date submitted:
2024-03-18
Date accepted:
2024-11-07
Online publication date:
2025-01-14
Date published:
2025-04-25

Abstract

A comparative financial and economic analysis is conducted of different public-private partnership (PPP) models for industrial infrastructure construction projects in an underdeveloped resource-rich region. The Stackelberg game theory-based model is used to build a parametrized family of bilevel mathematical programming models that describe an entire spectrum of partnership schemes. This approach enables a comparison of different strategies for the distribution of infrastructure investments between the government and the subsoil user and hence a scenario of transformation of Russia’s current PPP scheme into the classical partnership model, which is practiced in developed economies. To this end, a database is created on fifty polymetallic deposits in Transbaikalia, and a comparative analysis is conducted of Stackelberg equilibrium development programs that implement different PPP models. The numerical experiment results show the classical PPP model to be most effective in the case of a budget deficit. The analysis helps assess the economic consequences of a gradual transformation of the partnership institution in industrial infrastructure construction from investor support in the Russian model to government support in the classical scheme. Intermediate partnership models, which act as a transitional institution, help reduce the budget burden. These models can be implemented by clustering the deposits, developing subsoil user consortia, and practicing shared construction of necessary transport and energy infrastructure. The intensification of horizontal connections between subsoil users creates favorable conditions for additional effects from the consolidation of resources and can serve as a foundation for a practical partnership scheme within the framework of the classical model.

Область исследования:
Economic Geology
Keywords:
mineral resource base development program industrial infrastructure projects public-private partnership subsoil user consortium Stackelberg model bilevel mathematical programming problems
Go to volume 272

Funding

This work was supported by the Russian Science Foundation, project N 23-28-00849, https://rscf.ru/project/23-28-00849.

Introduction

The public-private partnership (PPP) scheme is widely used in many sectors of economy to coordinate the interests of the government and those of the private investor [1-3]. World experience demonstrates the efficiency of PPP, primarily, in the provision of new and maintenance of existing public sector infrastructure. In the mineral resources sector, PPP is practiced mostly in the construction of new industrial infrastructure; it allows one to considerably expand project funding sources and encourages subsoil users to develop new deposits in hard-to-reach areas. The partnership institution in developed economies has been evolving for two hundred years, starting in the 19th century with the concession, a model traditionally referred to as BOT (Built, Own, Transfer). This model involves the transfer of certain projects from the government to the private sector and was used to provide transport infrastructure [4].

The Australian BOOT (Built, Own, Operate, Transfer) model [5] largely expanded the functiona-lity of partnerships. The private investor constructs, finances, manages, and operates the facility but owns it only until the end of the contract, after which the ownership passes to the government [6]. This model prevailed in infrastructure projects at the end of the 20th century.

The next stage in the evolution of PPP is associated with the DBFO (Design, Built, Finance, Operate) model [7] and the adoption of a new strategy – Private Finance Initiative – for government projects in the United Kingdom [8]. A private investor sets up for a long term (30 to 60 years) a special management company that constructs, finances, and manages the facility and provides services specified by the government in the contract.

This evolution of the partnership institution in developed economies [9-11] explains why a PPP model [12-14] that can be called classical gained here a foothold. Its idea lies with the construction of a publicly owned facility by a private company with the subsequent transfer of the facility to the government when the terms of the contract and the scenario of mutual settlements are fulfilled [15, 16]. In the mineral resources sector, this PPP scheme allows one to diversify project funding sources, reduce risks [17-19], and encourage subsoil users to reach out into undeveloped areas with promising deposits [20-22].

The development of the PPP institution in the Russian raw materials sector is now in an early stage, and the government has so far no clear understanding on how the starting model should transform [23-25]. Unlike, for example, road construction projects in a developed industrial region, where a concession may be profitable for the investor because of the paid use of the public road, with the profitability guaranteed by the budget [26], industrial infrastructure construction projects in an underdeveloped resource-rich area do not attract private investors for several reasons, even in oil and gas regions [27, 28]. The government, which is interested in the development of the mineral resource base (MRB), seeks to attract private investors to these regions by providing large-scale support to subsoil users in creating infrastructure and implementing some of the necessary environmental protection activities [29-31]. The Russian government used this strategy of cooperation with private investors in the Comprehensive Development Program for the Lower Angara Region [32, 33], Transport Infrastructure Project for the Development of Mineral Resources in the Southeast of the Chita Region [34, 35], and South Yakutia Comprehensive Development Project [36]. In the above cases the government used funds from the Russian Direct Investment Fund for the design and construction of transport and power grid infrastructure for the Kankunskaya Hydroelectric Power Station in Yakutia and the construction of the Naryn – Lugokan Railway in Transbaikalia; in the Krasnoyarsk region, the government financed not only large infrastructure projects but also the costs associated with preparing the reservoir bed for the Boguchanskaya Hydroelectric Power Station and the resettlement of the population.

The current results of these projects do not meet budget expectations and raise fair criticism on the part of expert community. Experience has shown that the current PPP scheme requires not only excessive budget expenditures but also an evidence-based evaluation whether a balance is indeed achieved between the interests of society and entrepreneurs. This is confirmed by the current experience of implementing the Yenisei Siberia Megaproject. There is not enough evidence to confirm public efficiency of the strategy to construct the Elegest – Kyzyl – Kuragino Railway and the Beya transport infrastructure using budget funds. The feasibility studies of these projects focus on efficiency assessments from the standpoint of the private investor; thus, the key question of achieving a compromise between the interests of the partnership participants remains unanswered [37-39]. Under what conditions will the classical PPP model be efficient in today’s mineral resources sector of Russia? How to transform the Russian version of partnership and make a transition from investor support to government support? How to build a PPP scheme that will be efficient in a particular resource-rich region?

The aim of this work is to conduct a comparative financial and economic analysis of different partnership schemes within the Stackelberg game theory-based model. By leaving aside the issues of legal regulation of PPP and focusing on the economic efficiency assessment of specific partnership models, we can answer the key questions in terms of achieving a compromise between the interests of the government and business and suggesting transitional forms of the partnership institution, which could open, in the long run, the possibility of transformation into the classical model. The corresponding economic and mathematical models complement the strategic planning toolkit and can be incorporated into digital technologies of subsoil use management.

Methods

The process of forming a particular partnership scheme can be described by a variety of mathematical models, whose solutions enable us to a priori assess the efficiency of a given managerial decision [40-43]. However, we are faced with a much broader problem, i.e., how to link the nomenclature and launch times of mineral deposit development projects with plans for providing the necessary yet currently nonexistent industrial infrastructure; the latter is to be built within a partnership scheme that remains to be determined [44]. This problem is relevant for most resource-rich territories in Russia; i.e., an investor cannot launch deposit development projects due to the lack of roads and power lines, and the government is not ready to build infrastructure facilities unless it is sure that their capacity is utilized. In most regions of Siberia and the Far East, this factor hinders the development of regional economies and encourages the search for ways to achieve a compromise between the interests of the participating parties.

The process of forming a subsoil use program in a resource-rich region with underdeveloped transport and energy infrastructure is defined by a hierarchy of interactions between the government and the private investor. This is why we find it appropriate to propose the Stackelberg game as a partnership model [45-47]. Two players with individual objective functions – the leader and the follower – take turns in making decisions. The effectiveness of each player’s decisions depends on the decision made by the other player. The leader makes the decision first; the follower does so second, constructing its decision in an optimal way with respect to the leader’s actions. The aim is to find equilibrium solutions that provide the leader with the maximum value of the objective function on the entire set of alternatives. In our case, the role of the leader belongs to the government, which makes the first move by selling a license and determining the scope of infrastructure construction on the territory. Without this step, the investor cannot make a decision on implementing a deposit development project; therefore, it acts as a follower.

We consider three basic partnership models. The first one is the classical PPP model. Since there is no industrial infrastructure available for the implementation of deposit development projects, the investor coordinates with the authorities a nomenclature of infrastructure objects that “open up” resource base objects it is interested in and builds these roads, power lines, etc. at its own expense. The government pays the investor at a later point in time, e.g., from the moment of receiving the first rent payments. Two reimbursement mechanisms are used to compensate for the infrastructure costs borne by the investor. The first alternative is that the investor receives compensation payments with the investor discount according to a government-defined schedule, which does not depend on the overall results of the partnership (model C1). The second algorithm of mutual settlements builds upon an integral assessment of the investor’s NPV in the implemented subsoil development program, taking into account the investor’s incidental infrastructure costs, compensation payments, and the share of the rent it received while developing the deposits (model C2).

Unlike the classical models C1 and C2, the second model, R, captures the Russian practices of recent years and assumes that the government itself builds infrastructure in an underdeveloped territory.

The third – transitional – model assumes that both the government and the investor build the infrastructure using two types of reimbursement mechanisms to compensate for the investor’s infrastructure costs (models T1 and T2).

The investor’s objective function in all the models is its net present value. The government’s target is to maximize budget revenues, taking into account the compensations paid and its own construction costs. We introduce the binary parameters α and β, which define the participation of the government and private investor in infrastructure construction. This way we are able to parameterize the entire family of the above-described PPP models. Thus, in the first, classical PPP model, α = 0 and β = 1. In the Russian model R, α = 1 and β = 0. The transition model uses unity values of α and β.

We introduce the following notation: NP – the number of deposit development projects; NI – the number of industrial infrastructure construction projects; T – the time horizon.

Deposit development (mining) project i: CFPit – the operating cash flow; DBPit – the budget tax revenues from the project in year t.

Infrastructure construction project j: ZIjt – the required investment volume in year t; VDIjt – additional budget revenues associated with the multiplicative impact of the infrastructure on the local economy.

The connection between infrastructure and mining projects is represented by the indicator μij. If mining project i cannot be launched without infrastructure facility j, then μij = 1; otherwise μij = 0.

The budget constraints: BudIt for the investor and BudGt for the government.

The partner discounts: DI for the investor and DG for the government.

The Boolean variables of the model: if the government offers in the leader – follower dialogue to undertake infrastructure project j, then x‾j = 1; otherwise x‾j = 0 If the government itself implements infrastructure project j, then xj = 1; otherwise xj = 0. If the investor implements mining project i, then zi = 1; otherwise zi = 0. If the investor implement infrastructure project j, then vj = 1; otherwise vj = 0.

The real variables: W t ¯ is the schedule of compensation payments to the investor, which is offered by the government; Wt is the actual schedule of payments from the government to the investor for the infrastructure.

The Stackelberg model. The upper-level problem (the government)

t = 1 T i = 1 N P D B P i t z i + j = 1 N I V D I j t ( α x j + β v j ) α j = 1 N I Z I j t x j β W t / (1 + D G ) t max ( 1 )

subject to

β W ¯ t +α j=1 NI Z I jt x ¯ j BudG t t= 1, ,T;(2) W t ¯ β0,t= 1, ,T;(3) W t ¯ β=0,t= 1, , T 0 ; (3) (v,z,x) Q * x ¯ ,β W ¯ );(5) x ¯ j 0,1 ,j= 1, ,NI,(6)

where Q * x ¯ ,β W ¯ ) – the set of optimal solutions for the investor’s problem.

The lower-level problem (the investor)

t=1 T i=1 NI CF P it z i β j=1 NI Z I jt v j +β W t / (DI+1) t max (7)

subject to

t=1 T β j=1 NI Z I jt v j +β W t / (1+DI) t 0 ;(8) t=1 T i=1 NP DB P it z i β W t / (1+DG) t 0 ;(9) i=1 NP CF P it z i +β j=1 NI Z I jt v j β W t Bud I t ,t = 1, ,T;(10) a x j +b v j ³ z i μ ij , i= 1, ,NP, j= 1, ,NI;(11) a x j +b v j £1, j= 1, ,NI;(12) a x j £a j= 1, ,NI;(13) β W t β W t ¯ ,t= 1, ,T;(14) x j , z i , v j 0;1 ,i= 1, ,NP, j= 1, ,NI.(15)

The government’s objective function is the part of the natural resource rent it receives in the form of taxes, taking into account the government’s own infrastructure costs and its compensation payments to the investor. Budget constraints (10) and (2) limit the number of projects implemented by the partners. The connection between the mining and infrastructure projects is defined by constraints (11). Constraint (9) blocks those mining programs that do not guarantee a positive balance between the budget revenues and compensation payments, taking into account the government discount, which formalizes the degree of liberality of the investment policy pursued by the government. Condition (8) plays an important role in choosing the mechanism for generating compensation payments to the investor. Problem (1)-(15) realizes the investor’s requirement to compensate for its incidental costs without taking into account that it receives a share of the resource rent directly in the process of developing the deposit.

An alternative principle of mutual settlements is realized in the models C2 and T2. It is based on assessing the investor’s overall effect obtained in the process of developing the deposits, building the necessary infrastructure facilities, and receiving compensations from the government, which ensures a positive NPV of program (7) implemented by the investor. Such a scheme assumes a higher level of trust in the partnership and the presence of institutions for monitoring the investor’s effect. Formally, such a partnership scheme is described by the same bilevel problem but without constraint (8): {(1)-(7), (9)-(15)}.

The solution to problem (1)-(15) ({(1)-(7), (9)-(15)}) defines the MRB development program: an infrastructure construction front opened by the government; a list of infrastructure and mining projects to be implemented by the private investor; a schedule of budgetary compensations for the investor’s infrastructure costs. Filling the bilevel mathematical programming problem (1)-(15) with practical data requires a fairly extensive information base. The initial data for the government’s problem include schedules of investment costs for infrastructure projects and expert assessments of their multipliers. As far as mining projects are concerned, one assumes there are forecasts of the corresponding tax revenues of the budget. In practice, the government obtains these data on infrastructure from design organizations and on deposits from the subsoil user’s feasibility studies in the section on expected payments to employees and budget revenues. The database of the investor’s problem also includes CFP, which is derived from estimates for the necessary investments and from details of the production technology applied at the deposit. What is required here is a forecast of changes in market prices for raw materials and a detailed analysis of the development project.

To solve the bilevel mathematical programming problems (1)-(15), ({(1)-(7), (9)-(15)}), which belong to the class of 2 p - hard problems, we used stochastic algorithms of local search and coordinate descent [48-50]. For a comparative analysis of the effectiveness of the classical and Russian partnership model, we used a model database on fifty polymetallic deposits and ten transport and energy infrastructure construction projects in Transbaikalia. Some of the model infrastructure projects describe the construction (currently underway) of the Naryn – Lugokan Railway and four power transmission lines. Other model infrastructure projects generate an additional road network, currently nonexistent yet necessary for some deposits. The database is arranged in such a way that the implementation of all infrastructure projects opens up the possibility of developing the entire set of deposits.

The initial information for the database of model (1)-(15) in the calculations was sourced from the feasibility studies of the mining and infrastructure projects. We possessed information on nine deposits; two road construction projects; one power line; and design documentation for the Naryn – Lugokan Railway, which included mostly the cost sections. The feasibility studies themselves were conducted in different years of the period 2006-2017, so we had to convert the data to the baseline year of 2010 using regional deflators. For the remaining deposits, we used resource estimates and constructed the cost characteristics of the development technologies on the expert basis by choosing a prototype with the closest parameters from among nine options. The planning period in the calculations was 20 years, from 2010 to 2030. The inflation and national currency exchange rate scenarios for the period 2020-2030 followed the existing trends.

For the mining projects, we used a special modeling toolkit [51] that allowed us to make long-term forecasts for metal prices and generate a cash flow in the forecast prices on the basis of a simulation model of the ore deposit development process. The processes of building transport and energy infrastructure were described by the graphs of the partners’ infrastructure costs with respect to the PPP model and inflation. For each deposit, we made a forecast of tax payments and cash flow, after which we applied the deflation procedure to generate a total database of the bilevel planning model (1)-(15) in comparable prices. The solution of this model determined the MRB development program in the region.

The resulting information base is largely consistent with the management technologies in the subsoil use sector and is configured for investment processes with a long time horizon and nonstationary market prices. This approach takes into account the features of the object being modeled, i.e., the process of forming a MRB development program in a territory rich in raw materials yet lacking production infrastructure. Since such a program rests upon the Stackelberg equilibrium, our primary interest lies with understanding how the solution of problems (1)-(15) ({(1)-(7), (9)-(15)}) changes with variations in the main parameters of the model. This is especially important for the partner discounts, whose working ranges can only be estimated approximately by experts.

This circumstance determines the focus of attention in the numerical experiment, i.e., on analy-zing the dependence of the efficiency of the Stackelberg equilibrium program on the parameters DG and DI. The former parameter reflects the quality of investment climate from the point of view of the investor. In the calculations, a favorable investment climate corresponds to DI = 0.11 (the expert assessment for today’s Transbaikalia is DI = 0.15-0.17). The government discount reflects the level of liberality of the government’s investment policy. Operating with a discount of 0.01, a liberal government understands that on the long-term horizon, the most important role belongs to multiplier effects, which exceed the direct return from budget investments into the infrastructure projects (including compensation payments) in the form of subsoil users’ tax payments. A conservative government runs its investment policy with a tangibly larger discount, which reflects its aspirations to materialize the expectations of the subsoil owner [52].

Results and Discussion

Numerical experiments reveal a substantial dependence of the effectiveness of the development programs generated by the different partnership models on the investment climate and on the degree of liberality of the government.

We present some of the calculated results, which help quantify and compare the key characteristics of the deposit development programs generated under the assumption of unlimited budgets of the partners with the different algorithms of compensating the investor’s infrastructure costs, α and β.

Within the Russian model (Fig.1), the government spends, given a favorable investment climate, 125 billion rub. and implements the entire program of infrastructure construction. This outcome does not depend on the government discount and enables the investor to launch the maximum number of mining projects. If the investment climate worsens (DI grows), the government is forced to reduce the amounts of infrastructure construction, which naturally compels the investor to curtail the mining program and leads to a decrease in the values of the partners’ objective functions. Outside the favorable investment climate, the government discount, too, tangibly affects the results; i.e., the transition to a conservative investment policy narrows the range of infrastructure projects that are effective for the government.

Fig.1. PPP model based on the Investment Fund of Russia (the R model: a = 1 and b = 0): values of the objective functions of the government (a) and the investor (b); government costs (c); and number of implemented infrastructure projects (d)

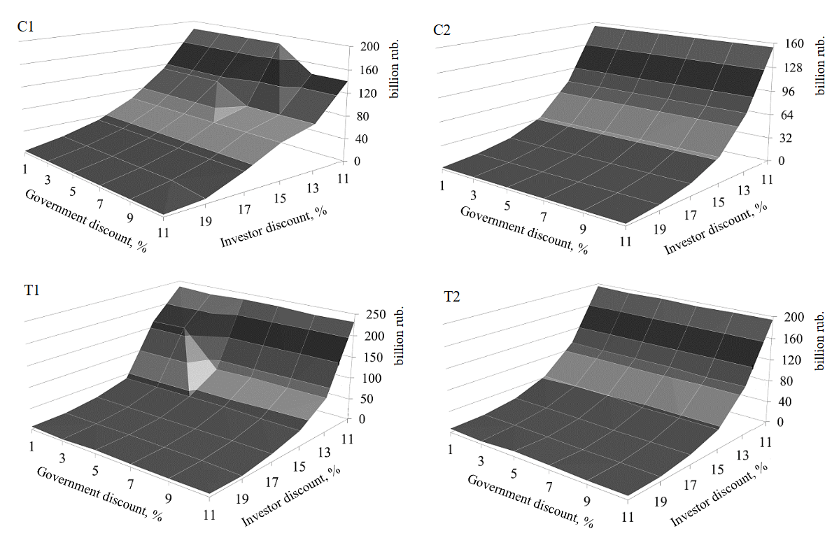
The transition to the classical partnership model markedly changes the territorial development program. In the case of a low investor discount, the C1 model generates a program in which five or six infrastructure projects are implemented out of the ten possible ones, depending on the level of the government discount (Fig.2). Starting with DI = 0.19, the amounts of infrastructure construction and compensation payments to the investor drop sharply. The C2 model starts with eight projects, and this number falls quickly with the deterioration of the investment climate. It is important that the level of compensation payments is much lower here than in the option with the investor demanding immediate compensation for its infrastructure costs. The reason is that in the process of mutual settlements, the government takes into account the rent obtained from the mining projects and adjusts the payments accordingly.

Fig.2. Classical PPP model: number of infrastructure projects implemented by the investor (above); amount of compensations payments received (below)

In the transition model, the total number of infrastructure projects is less depends on the investor costs compensation algorithm (Fig.3) and the government discount. The government ceases to participate in infrastructure construction depending on the level of liberality as early as at DI = 0.13 within a conservative investment policy, shifting the boundary with the decrease in DG.

Fig.3. Transitional PPP model: number of infrastructure projects implemented by the partners together (above); including by the government (below)

The government’s costs on paying the compensations (Fig.4) behave in a rather complex manner. In a favorable investment climate, the T2 model requires noticeably smaller payments to the investor than T1, with the payments growing as the investment climate worsens. In the T1 model, on the contrary, the compensation payments reach a peak at small DI values and largely depend on the degree of conservatism of the government’s investment policy. As in the classical model, a government faced with a budget deficit prefers an investor who fully trusts it and consents to the second-type procedure of mutual settlements.

Fig.4. Transitional PPP model: the government’s costs: compensation payments (above); costs of implementing infrastructure projects (below)

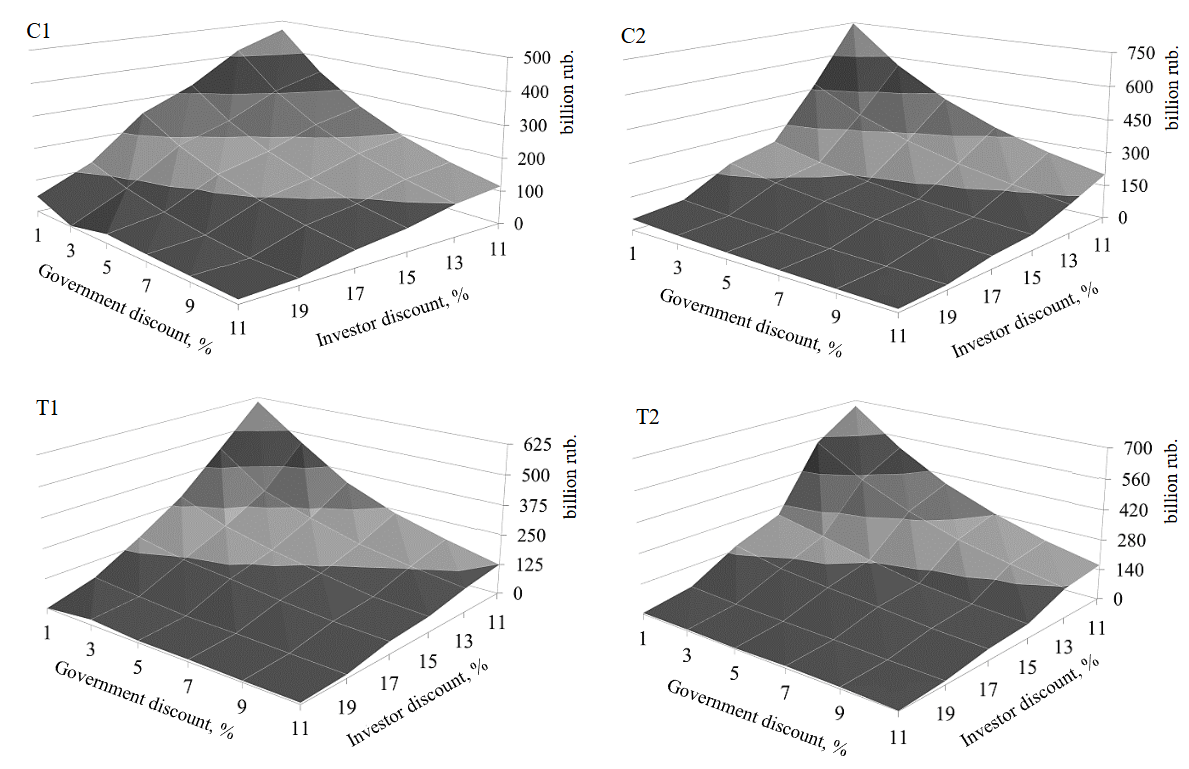
Figures 5 and 6 show the resulting dependences of the values of the government and investor’s objective functions under all possible combinations of the partner discounts in the different models. Based on these data, we can rank the entire spectrum of the partnership models in accordance with the government’s interests. If we attempt, while analyzing Fig.1 and 5, to rank all the five models according to the value of the government’s objective function, we see that at any degree of favorableness of the investment climate, the Russian model, under the assumption of an unlimited budget, formally provides the best result. However, today it seems unlikely that the government would decide to finance on a large scale the construction of industrial infrastructure for the needs of the mineral resources sector.

Fig.5. Values of the government’s objective function in different models

Fig.6. Values of the investor’s objective function in different models

Under budget deficit, the priority shifts to the classical PPP model. Direct budget investments start from the time of launching the construction of the necessary infrastructure, while the compensation payments are deferred until the time of receiving the first taxes from subsoil users. This approach allows for a considerable decrease in the budget funds needed to fulfill the partnership obligations on the part of the government.

That is why, when choosing a PPP model, we should consider only the models C1, C2, T1, and T2. By analyzing the calculation results presented in Fig.5, we can rank them according to the value of the government’s objective function (1) for each value of DI. For a favorable investment climate (DI = 0.11), the desired sequence has the form (C2, T2, T1, C1); for DI = 0.13 – (T2, C2, T1, C1); and for DI > 0.13 – (C1, C2, T2, T1).

Considering the models T1 and T2 as a transition to the classical scheme and taking into account that they assume partial participation of the government in direct infrastructure investments, we can leave only the classical models C1 and C2. We choose from this pair by analyzing the balance between the resulting infrastructure and the compensations paid to the investor, i.e., the difference between the total cost of the provided infrastructure facilities and the total amount of compensation payments to the investor (Fig.7). The C2 model turns out to be preferable since it ensures a positive balance across the entire range of DI values. This choice is further confirmed by the fact that the C2 model requires compensations that are an order of magnitude smaller than C1 (see Fig.2), which is the most powerful argument in the case of a budget deficit.

Fig.7. Balance of the infrastructure costs and compensation payments to the investor

Thus, faced with today’s severe budget deficit, the government has a clear goal to implement the classical PPP model in the C2 modification. The methodological foundation of this scheme lies with an integral assessment of the investor’s NPV in the implemented subsoil development program. This approach requires a higher level of trust in the partnership and the presence of institutions for monitoring the investor’s effects.

One of the possible institutions of this kind could be a consortium headed by a public-owned management company, aimed to organize, coordinate, and establish an effective territorial development program based on horizontal interactions of private investors. In the case of a budget deficit, this partnership scheme can generate effects from the consolidation of investors’ resources, open up the possibility of harmonizing their goals, and, in the long term, adapt the classical scheme to the Russian realities. A similar model, in which the classical partnership is supplemented by a consortium, was examined in [53]. It was shown that under certain conditions, i.e., the possibility of clustering the territory or the presence and proximity of highly profitable deposits, setting up a consortium is economically feasible. The participation of Russian Railways in the implementation of such projects expands the possibilities of this approach and increases the stability of this institution.

Conclusions

Our analysis of the PPP models allows us to give an economic assessment of consequences following a gradual transformation of the partnership institution in industrial infrastructure construction from investor support (model R) to government support in the classical model. The results of numerical experiments based on actual information for a typical resource-rich region, in our case, Transbaikalia, lead us to the following conclusions:

  • Under a severe budget deficit, the partnership scheme in which the government itself builds the necessary infrastructure (model R) has no economic prospects.
  • The intermediate partnership models, T1 and T2, serve as a transitional institution, allowing one to reduce the budget burden and increase the level of trust of the private investor to the government. These schemes can be useful for the introduction and development of the PPP institution in Russia and, after a thorough model analysis, can be recommended for practical use in some regions. In most cases, the T2 model is preferable for the government.
  • Under budget deficit, the classical PPP model in the C2 modification best meets the interests of the government. This model ensures the minimum possible amount of compensation payments to the investor and a positive balance between the cost of the provided infrastructure and the amount of compensations.
  • A necessary condition for the feasibility of the C2 model is the presence of an institution for a coordinated assessment of the investor’s NPV in a given subsoil development program, i.e., an assessment that takes into account the investor’s incidental infrastructure costs, the compensation payments it receives, and the share of the rent it has obtained.
  • One of the possible forms of this institution is a collaboration based on clustering the deposits and setting up a consortium to implement the construction of the necessary industrial infrastructure. This approach allows one not only to construct the necessary industrial infrastructure but also to establish a practical foundation for the transformation of the Russian PPP institution towards the classical forms.

References

  1. Addink H. Good Governance: Concept and Context. Oxford: Oxford University Press, 2019, p. 352. DOI: 10.1093/oso/9780198841159.001.0001
  2. Ivanov O., Inshakova A.O. Public-Private Partnerships in Russia. Institutional Frameworks and Best Practices. Springer, 2020, p. 312.
  3. Yescombe E.R., Farquharson E. Public-Private Partnerships for Infrastructure. Principles of Policy and Finance. Butterworth-Heinemann, 2018, p. 548.
  4. Reznichenko N.V. Public-Private Partnership Models. Vestnik of Saint Petersburg University. Management. 2010. Iss. 4, p. 58-83 (in Russian).
  5. Quiggin J. Risk, PPPs and the Public Sector Comparator. Australian Accounting Review. 2004. Vol. 14. Iss. 33, p. 51-61. DOI: 10.1111/j.1835-2561.2004.tb00229.x
  6. Grimsey D., Levis M.K. Public Private Partnerships: The Worldwide Revolution in Infrastructure Provision and Project Finance. Edward Elgar, 2004, p. 288.
  7. Mayston D.J. The Private Finance Initiative in the National Health Service: An Unhealthy Development in New Public Management? Financial Accountability & Management. 1999. Vol. 15. Iss. 3-4, p. 249-274. DOI: 10.1111/1468-0408.00084
  8. Grout P.A. The economics of the private finance initiative. Oxford review of economic policy. 1997. Vol. 13. Iss. 4, p. 53-66. DOI: 10.1093/oxrep/13.4.53
  9. Adamou M., Kyriakidou N., Connolly J. Evolution of public-private partnership: the UK perspective through a case study approach. International Journal of Organizational Analysis. 2021. Vol. 29. Iss. 6, p. 1455-1466. DOI: 10.1108/IJOA-08-2020-2397
  10. Zhe Cheng, Yongjian Ke, Zhenshan Yang et al. Diversification or convergence: An international comparison of PPP policy and management between the UK, India, and China. Engineering, Construction and Architectural Management. 2020. Vol. 27. Iss. 6, p. 1315-1335. DOI: 10.1108/ECAM-06-2019-0290
  11. Gleeson T.P., Grimsey D., Lewis M.K. How Successful Has the PPP Model Been in Australia? Public Private Partnerships. Cham: Springer, 2019, p. 167-192. DOI: 10.1007/978-3-030-24600-6_9
  12. Dao N.H., Marisetty V.B., Jing Shi, Tan M. Institutional quality, investment efficiency, and the choice of public–private partnerships. Accounting & Finance. 2020. Vol. 60. Iss. 2, p. 1801-1834. DOI: 10.1111/acfi.12514
  13. Grimsey D., Lewis M.K. Are Public Private Partnerships value for money? Evaluating alternative approaches and comparing academic and practitioner views. Accounting Forum. 2005. Vol. 29. Iss. 4, p. 345-378. DOI: 10.1016/j.accfor.2005.01.001
  14. Karnes Y. Are There Optimal Forms of Public-Private Partnerships? Journal of Behavioral and Applied Management. 2020. Vol. 20. Iss. 2, p. 51-68. DOI: 10.21818/001c.14178
  15. Nannan Wang, Minxun Ma. Public–private partnership as a tool for sustainable development – What literatures say? Sustainable Development. 2021. Vol. 29. Iss. 1. P. 243-258. DOI: 10.1002/sd.2127
  16. Petersen O.H. Evaluating the costs, quality, and value for money of infrastructure public-private partnerships: A systematic literature review. Annals of Public and Cooperative Economics. 2019. Vol. 90. Iss. 2, p. 227-244. DOI: 10.1111/apce.12243
  17. Rybnicek R., Plakolm J., Baumgartner L. Risks in Public–Private Partnerships: A Systematic Literature Review of Risk Factors, Their Impact and Risk Mitigation Strategies. Public Performance & Management Review. 2020. Vol. 43. Iss. 5, p. 1174-1208. DOI: 10.1080/15309576.2020.1741406
  18. Hongyu Jin, Shijing Liu, Chunlu Liu, Udawatta N. Optimizing the concession period of PPP projects for fair allocation of financial risk. Engineering, Construction and Architectural Management. 2019. Vol. 26. Iss. 10, p. 2347-2363. DOI: 10.1108/ECAM-05-2018-0201
  19. Carbonara N., Pellegrino R. Revenue guarantee in public–private partnerships: a win–win model. Construction Management and Economics. 2018. Vol. 36. Iss. 10, p. 584-598. DOI: 10.1080/01446193.2018.1467028
  20. Cheng Chen, Caixia Man. Are good governance principles institutionalised with policy transfer? An examination of public–private partnerships policy promotion in China. Australian Journal of Social Issues. 2020. Vol. 55. Iss. 2, p. 162-181. DOI: 10.1002/ajs4.99
  21. Hueskes M., Verhoest K., Block T. Governing public–private partnerships for sustainability: An analysis of procurement and governance practices of PPP infrastructure projects. International Journal of Project Management. 2017. Vol. 35. Iss. 6, p. 1184-1195. DOI: 10.1016/j.ijproman.2017.02.020
  22. Jie Tan, Jerry Zhirong Zhao. The Rise of Public–Private Partnerships in China: An Effective Financing Approach for Infrastructure Investment? Public Administration Review. 2019. Vol. 79. Iss. 4, p. 514-518. DOI: 10.1111/puar.13046
  23. Litvinenko V.S., Petrov E.I., Vasilevskaya D.V. et al. Assessment of the role of the state in the management of mineral resources. Journal of Mining Institute. 2023. Vol. 259, p. 95-111. DOI: 10.31897/PMI.2022.100
  24. Zaernyuk V.M., Anisimov P.F., Zabaikin Yu.V. Assessment of the status and development prospects of public-private partnerships in mineral extraction industry. Economics: Yesterday, Today and Tomorrow. 2019. Vol. 9. N 6А, p. 85-94 (in Russian).
  25. Vasilchikov A.V. Ways to realize the potential of the region through the public-private partnerships mechanism. Izvestiâ Sankt-Peterburgskogo gosudarstvennogo èkonomičeskogo universiteta. 2019. N 6, p. 68-73 (in Russian).
  26. Chung D., Hensher D.A. Public private partnerships in the provision of tolled roads: Shared value creation, trust and control. Transportation Research Part A: Policy and Practice. 2018. Vol. 118, p. 341-359. DOI: 10.1016/j.tra.2018.08.038
  27. Yudin S.S., Cherepovitsyn A.E. Partnership between government and business to ensure the economic sustainability of complex industrial oil and gas systems in the Arctic. The North and the Market: Forming the Economic Order. 2022. N 2, p. 7-18 (in Russian). DOI: 10.37614/2220-802X.2.2022.76.001
  28. Filatova I., Nikolaichuk L., Zakaev D., Ilin I. Public-Private Partnership as a Tool of Sustainable Development in the Oil-Refining Sector: Russian Case. Sustainability. 2021. Vol. 13. Iss. 9. N 5153. DOI: 10.3390/su13095153
  29. Agarchand N., Laishram B. Sustainable infrastructure development challenges through PPP procurement process: Indian perspective. International Journal of Managing Projects in Business. 2017. Vol. 10. Iss. 3, p. 642-662. DOI: 10.1108/IJMPB-10-2016-0078
  30. Vaslavskiy Ya. Public-Private Partnership: Prospects for the Development of Socially Significant Infrastructure. Federalism. 2019. N 4, p. 75-94 (in Russian). DOI: 10.21686/2073-1051-2019-4-75-94
  31. Bednyakov A.S. Public-Private Partnership as a Model of Public Infrastructure Development. MGIMO Review of International Relations. 2022. Vol. 15. N 1, p. 143-176 (in Russian). DOI: 10.24833/2071-8160-2022-1-82-143-173
  32. Malov V.Yu., Tarasova O.V., Ionova V.D. Lower Angara Region as a Link between the North and South of Siberia. ECO. 2018. Vol. 48. N 6, p. 50-74 (in Russian). DOI: 10.30680/ECO0131-7652-2018-6-50-74.
  33. Popodko G.I., Nagaeva O.S., Bukharova E.B. Application of the project approach in the territorial development of the eastern regions of Russia. Journal of Siberian Federal University. Humanities & Social Sciences. 2021. Vol. 14. Iss. 12, p. 1851-1862 (in Russian). DOI: 10.17516/1997-1370-0864
  34. Glazyrina I.P., Faleychik L.M., Faleychik A.A. Investments and the Growth Potential of the Quality of Life in the Russian Far East. Journal of Siberian Federal University. Humanities & Social Sciences. 2022. Vol. 15. Iss. 7, p. 921-929. DOI: 10.17516/1997-1370-0897
  35. Glazyrina I.P., Faleychik L.M., Faleychik A.A. “Far Eastern” Investment Policy and Income of Citizens by Major Industries: An Empirical Analysis. 2022. ECO. Vol. 52. N 7, p. 80-98 (in Russian). DOI: 10.30680/ECO0131-7652-2022-7-80-98
  36. Mestnikov N.A., Nikolaeva I.V., Pavlova S.N. Investment project “South Yakutia complex development”: perspectives, problems, solutions. National Interests: Priorities and Security. 2012. Vol. 8. N 20 (161), p. 24-33 (in Russian).
  37. Samarukha V.I., Krasnova T.G., Trusova S.V. The model of creation and implementation of the interregional project “Yenisei Siberia”. Bulletin of Baikal State University. 2019. Vol. 29. N 2, p. 324-331 (in Russian). DOI: 10.17150/2500-2759.2019.29(2).324-331
  38. Bryukhanova E.A., Efimov V.S., Shishatsky N.G. Research on the Issues of Economic Growth Centres’ Establishment in the South of the Angara-Yenisei Macroregion. Journal of Siberian Federal University. Humanities & Social Sciences. 2020. Vol. 13. Iss. 11, p. 1736-1745. DOI: 10.17516/1997-1370-0679
  39. Bryukhanova E.A., Shishatsky N.G., Efimov V.S. Strategic Analysis of the Prospects for the Sayano-Yenisei Mesoregion Using the Balance Model. Journal of Siberian Federal University. Humanities & Social Sciences. 2021. Vol. 14. Iss. 12, p. 1760-1769 (in Russian). DOI: 10.17516/1997-1370-0856
  40. Hong Zhang, Lu Yu, Wenyu Zhang. Dynamic performance incentive model with supervision mechanism for PPP projects. Engineering, Construction and Architectural Management. 2020. Vol. 27. Iss. 9, p. 2643-2659. DOI: 10.1108/ECAM-09-2019-0472
  41. Xiangtian Nie, Kai Feng, Guoxiang Zhao et al. The Evolutionary Game of Trust in Public-Private Partnership Project Networks. Mathematical Problems in Engineering. 2021. Vol. Iss. 1. N 5514708. DOI: 10.1155/2021/5514708
  42. Lavlinskii S.M., Panin A.A., Plyasunov A.V. A Bilevel Planning Model for Public–Private Partnership. Automation and Remote Control. 2015. Vol. 76. N 11, p. 1976-1987. DOI: 10.1134/S0005117915110077
  43. Lei Shi, Lu Zhang, Onishi M. et al. Contractual Efficiency of PPP Infrastructure Projects: An Incomplete Contract Model. Mathematical Problems in Engineering. 2018. Vol. 2018. Iss. 1. N 3631270. DOI: 10.1155/2018/3631270
  44. Kalgina I.S. Models for Assessment of Public-Private Partnership Projects in Sub-surface Management. Journal of Mining Institute. 2017. Vol. 224, p. 247-254. DOI: 10.18454/PMI.2017.2.247
  45. Lavlinskii S.M., Panin A.A., Plyasunov A.V. Comparison of Models of Planning Public-Private Partnership. Journal of Applied and Industrial Mathematics. 2016. Vol. 10. N 3, p. 356-369. DOI: 10.1134/S1990478916030066
  46. Lavlinskii S.M., Panin A.A., Plyasunov A.V. The Stackelberg Model in Territorial Planning. Automation and Remote Control. 2019. Vol. 80. N 2, p. 286-296. DOI: 10.1134/S0005117919020073
  47. Luming Shang, Aziz A.M.A. Stackelberg Game Theory-Based Optimization Model for Design of Payment Mechanism in Performance-Based PPPs. Journal of Construction Engineering and Management. 2020. Vol. 146. Iss. 4. N 04020029. DOI: 10.1061/(ASCE)CO.1943-7862.0001806
  48. Alekseeva E., Kochetov Y., Talbi E.-G. A matheuristic for the discrete bilevel problem with multiple objectives at the lower level. International Transactions in Operational Research. 2017. Vol. 24. Iss. 5, p. 959-981. DOI: 10.1111/itor.12268
  49. Dempe S., Khamisov O., Kochetov Yu. A special three-level optimization problem. Journal of Global Optimization. 2020. Vol. 76. Iss. 3, p. 519-531. DOI: 10.1007/s10898-019-00822-w
  50. Davydov I., Kochetov Y., Dempe S. Local Search Approach for the Competitive Facility Location Problem in Mobile Networks. International Journal of Artificial Intelligence. 2018. Vol. 16. Iss. 1, p. 130-143.
  51. Lavlinskii S.М. Indicative Planning Models for Socioeconomic Development of a Resource-Rich Region Novosibirsk: Izd-vo SO RAN, 2008, p. 247 (in Russian).
  52. Lapinskas A.A. Influence of mining rent on the efficiency of using natural potential: the paradox of plenty and its Russian specifics. Journal of Mining Institute. 2023. Vol. 259, p. 79-94. DOI: 10.31897/PMI.2023.13
  53. Lavlinskii S., Zyryanov A. Model for Long-Term Partnerships Between the Government and Subsoil Users in Production and Infrastructure Construction. 19th International Asian School-Seminar on Optimization Problems of Complex Systems (OPCS), 14-22 August 2023, Novosibirsk, Moscow, Russia. IEEE, 2023, p. 53-58. DOI: 10.1109/OPCS59592.2023.10275768

Similar articles

Analysis of the stress state of rocks transformation near a horizontal well during acid treatment based on numerical simulation
2025 Sergei N. Popov, Sergei E. Chernyshov, Xiaopu Wang
Mercury contamination of sediments at Indonesia Ciujung watershed: contribution of artisanal small-scale gold mining
2025 Willy C. Nugraha, Huiho Jeong, Phan Dinh Quang, Randy Novirsa, Tomohiro Komorita, Ishibashi Yasuhiro, Jun Kobayashi, Koji Arizono, Asep Bayu Dani Nandiyanto
Justification on the safe exploitation of closed coal warehouse by gas factor
2025 Semen G. Gendler, Anastasiya Yu. Stepantsova, Mikhail M. Popov
Methodology for managing energy development of production facilities in the gas industry
2025 Anatolii A. Shapovalo
Determination of the tangential component of cutting resistance during frozen sedimentary rock cutting using blocked, deeply blocked and cell cutting methods
2025 Stanislav A. Shemyakin, Evgenii A. Shishkin
The effect of mechanical and thermal treatment on the characteristics of saponite-containing material
2025 Tatyana N. Orekhova, Mariana N. Sivalneva, Mariya A. Frolova, Valeriya V. Strokova, Diana O. Bondarenko